Donghyun Yoon*, Sangdeok Kim*, Jaehoon
Kim*†, Youngdae Doh**
* Department of Mechanical Engineering, Chungnam National University
*† Department of Mechanical Engineering, Chungnam National University
윤동현* · 김상덕* · 김재훈*† · 도영대**
In this paper, a progressive failure analysis method
was developed using the Hashin failure criterion and crack band model. Using
the failure criterion, the failure initiation was evaluated. If the failure
initiation is occurred, the damage variables at each failure modes (fiber
tension & compression, matrix tension & compression) was calculated
according to linear softening degradation behavior and the variables are used
to derive the damaged stiffness matrix. The damaged stiffness matrix is
reflected to damaged material and the progressive failure analysis is continued
until the damage variables to be 1 that complete failure of material. A series
of processes were performed using FE commercial code ABAQUS with user defined
material subroutine (UMAT). To evaluate the proposed progressive failure model,
the experimental results of open hole composite laminate tests was compared
with numerical result. Using digital image correlation system, the strain
behavior also was compared. The proposed numerical results were coincided well
with the experimental results.
본 논문에서는 Hashin 파손 기준식과 crack band 모델이 접목된 손상변수를 이용하여 점진적파손해석 방법이 개발되었다. 파손기준식을 이용하여 파손의 개시 유무가 판단된다. 파손이 개시된
경우에는 각 파손모드(섬유 인장/압축, 기지 인장/압축)에서
손상변수가 선형 열화 거동에 따라 계산되고, 손상강성행렬을 계산하는데 사용된다. 손상강성행렬은 손상된 재료에 반영되고, 계산된 손상강성행렬을 이용하여
재료의 완전한 파괴를 의미하는 손상변수가 1인 시점이 되기까지 점진적 파손해석이 계속해서 반복적으로
수행된다. 일련의 과정들은 상용해석프로그램인 ABAQUS에
사용자 정의 부프로그램을 이용하여 수행되었다. 제안된 점진적파손해석 도구의 검증을 위하여, 원공을 가진 복합재료 적층판의 시험 결과와 비교를 수행하였으며, 시험
중 디지털 이미지 상관법을 이용하여 획득한 변형률 거동과 해석을 통해 획득한 변형률 거동을 비교하였다. 제안된
해석결과는 시험 결과와 비교하여 유효한 일치를 보였다.
Keywords: 복합재료(Composite materials), 점진적파손해석(Progressive failure analysis), 디지털이미지상관법(Digital image correlation), 손상변수(Damage variable)
탄소섬유강화 복합재료는 기존 금속 소재들과 비교하여 높은 비강성과 비강도를 갖는 소재로써 자동차, 항공우주, 선박해양 분야 등에서 경량화
설계의 목적과 함께 수요가 증가하고 있다. 복합재료는 구조에 적용하는데, 각 적층의 방향을 달리하여 강성이나 강도를 다르게 유도할 수 있는 이점이
있다. 복합재료 적층판은 다수의 적층들을 포함하며, 그에 따라 각 적층들은 같은 변형률에서 다른 응력상태에 놓이게 된다. 다른 응력상태에 놓이게
된 적층들은 각기 다른 시점에서 파손이 발생하게 되지만, 이러한 각 적층들의 파손은 곧바로 전체 적층판의 최종 파단 이어지지 않는 경우가 많다.
각 적층들이 손상을 받음에 따라 적층판의 강성은 저하되어도 최종 파단에 이르기 까지 수용할 수 있는 하중은 계속적으로 증가하는 거동을 보인다[1]. 이러한 거동을 점진적 파손 거동이라 한다. 점진적 파손 이론을 바탕으로 설계를 하면서, 기존의
첫 적층의 파손을 재료의 최종파단으로 보는 first ply failure theory의 설계 개념보다 경제적으로 더 효율적인 설계를 수행할 수
있다.
점진적 파손이론은 연속체 손상역학(continuum damage mechanics)을 바탕으로 많은 연구가 수행되었으며 현재도 진행
중이다. 점진적 파손 거동을 구현하기 위해 점진적 파손 해석(progressive failure analysis, PFA)을 수행한다. PFA는
재료의 파손 발생 후, 연화(softening) 거동을 손상변수
(damage variable)을 이용하여 구현한다. 손상변수는 손상의 정도가 커짐에 따라 최대 1의 값까지 커지게 되며, 이 변수는 재료의 강성행렬을
감소시킬 수 있도록 고려되어 점차 재료의 강성을 저하시키는 역할을 하게 된다. PFA를 수행함에 있어서 중요한 손상변수는 여러 이론들을 바탕으로
다양하게 제시되어 왔다.
대표적으로, Matzenmiller 등[2]은 손상변수가 0부터 1까지 변하는 과정을 연속체역학을 바탕으로 제시하였다. 제시된 손상변수는
지수함수의 형태로 제시되며, 손상이 커짐에 따라 그 값이 빠르게 1로 수렴하게 된다. 이 손상변수 모델은 저자들의 이름을 이용하여 MLT 손상변수
모델로 불리며, 현재까지 상용소프트웨어들에 내장되어 있기도 하며 PFA 분야에서 보편적으로 사용되고 있다. Maimi 등[3,4]은 LaRC04 파손기준식으로 이용하여 파손의 발생을 판단 후, 응력 성분들로부터 계산된 함수를
이용하여 유도된 손상변수를 이용하여 PFA를 수행하였다. 해당 모델은 섬유 인장/압축, ply 두께에 따른 파단 평면 등 다른 ply 레벨에서의
파손 메커니즘을 예측할 수 있었다. 이 외에도 PFA를 이용한 다양한 연구들이 수행되었다. Ha [5]은 일방향 탄소섬유강화 플라스틱 복합재료의 손상거동을 충격 후 압축(compression
after impact) 시험 및 해석 연구에서 확인하였다. 최대응력, 최대변형률, 및 Modified distortion energy 파손기준을
이용하여 손상의 발생을 확인하였고 상용 유한요소해석 소프트웨어 Genoa를 이용하여 PFA를 수행하였다. 해석 결과는 시험 결과와 작은 오차범위
내에서 유사하게 예측되었으며, C-scan 확인 결과 실제적인 손상 범위도 유사하게 예측되었다. Kim 등[6]은 복합재 이중-겹침 볼트
체결부 연구에 PFA를 이용하여 볼트 체결부의 강도 해석을 수행하였다. Hashin 파손기준식을 이용하여 파손의 발생을 판단하였고,
Ladeveze의 손상변수 모델[7]을 이용하여 재료 강성의
저하를 구현하였다. 손상변수를 구하기 위해 인장시편에 하중의 부가와 재부가를 반복하면서 하중 이력을 구한 후 선형 보간을 통해 필요한 상수들을
획득하였다. PFA는 상용 해석프로그램 ABAQUS에 사용자 코드를 작성하여 반복적인 과정을 통해 수행하였다. 해당 연구의 해석결과는 시험 결과와
최대 16%의 오차를 보였으며 이런 오차는 선형 강성행렬의 사용과 인장 모드의 손상변수를 압축 모드에 적용한 것에서 발생하는 것으로 판단되었다.
이러한 연구들 외에, PFA에서 mesh 민감도를 감소시키기 위하여 손상변수에 재료의 파괴에너지를 접목시킨 사례들이 있다. Lapczyk 등[8]은 손상변수에 crack band (CB) 모델[9]의 파괴에너지와 재료의 변위 관계를 이용하여 적은 mesh 민감도를 가지는 손상변수 모델을 제시하였다.
제안된 모델은 적은 mesh 민감도를 보였으며, 선형적인 거동을 하는 복합재료의 파손 거동을 예측하였다. Riccio 등[10]은 앞서 제안된 모델을 보강된 복합재료 패널의 파손 거동에 적용, 시험 결과와 비교하여 적절한
일치 범위를 확인하였다.
본 연구에서는 Lapczyk 등이 제안한 PFA 모델을 바탕으로 PFA 모델을 구현하였다. PFA 모델의 유효성을 판단하기 위해, 예측
결과를 원공이 포함된 복합재료 적층판의 인장시험결과와 비교하였다. 디지털이미지상관법(digital image correlation, DIC)을
이용하여 획득한 시험 시편의 변형률장과 PFA 해석결과를 통해 획득한 변형률장을 상호 비교, PFA 모델을 검증하였다.
PFA에서 강성 저하를 표현하는데 있어서 몇 가지 모델들이 제시되었다. 재료에 손상이 발생하면 바로 강성이 0이 되는 모델(instantaneous
unloading), 점진적으로 0으로 수렴하는 모델 (gradual unloading)이나 손상될 때의 재료물성치를 계속 유지하는 모델들이 있다(constant
stress at failure material point). 본 연구에서는 점진적 손상 모델(gradual degradation model)을
이용하여 PFA를 수행하였다. 점진적 손상모델에서 재료 거동은 파손 시작점까지는 선형적인 거동을 보이지만, 파손이 발생되면서 변형률이 증가함에
따라 응력이 점차 감소하게 된다. 복합재료가 손상을 받게 되면, 다음 해석 step에서 재료의 강성행렬은 손상강성행렬도 대체되며 계속적으로 해석이
수행된다. 식 (1)은 손상강성행렬을 보여준다.
각 행렬 성분 Cij에는 손상변수 ‘d ’가 (1-d)의 형태로 포함된다[10] 손상변수 ‘d’는 손상이 없는 경우 0, 완전히 파단의 경우 1의 값을 가지며 강성행렬에 반영되어 점진적으로 강성의 크기를
감소시킨다. 강성행렬에 손상변수를 고려해주기에 앞서, 재료의 파손 유무는 파손 기준식을 이용하여 판별한다. 본 연구에서는 섬유 인장/압축, 기지
인장/압축의 모드들을 고려하기 위해 Hashin 파손 기준식[11]을 이용하였다. 파손 기준식은 식 (2)와 같다.

ft, fc,mt,mc는 복합재료의 각 파손모드인 섬유인장, 섬유압축, 기지인장, 기지압축 파손모드를 의미한다.
σ와 τ는 각각 수직응력과 전단응력
성분을 의미하며 아래 첨자 11, 12, 13 등은 재료의 좌표계 방향을 의미한다. 또한 XT, XC는 복합재료의 섬유 길이 방향
인장 및 압축 강도를 의미하며, 는 섬유 직각 방향에서의 인장 및 압축 강도를 의미한다. S는 각 방향에서의 전단강도를 의미한다. 본 논문에서는 Lapczyk 등[8]이 제안한 CB 모델이 접목된 손상변수를 이용하여 PFA를 수행하였다. 손상변수를 계산하기 위해, FEM을 통해 계산된 각 모드(섬유 인장/압축, 기지 인장/압축)에서의 변형률 및 응력 값들을 이용하여 등가 변위, 등가 응력의 계산이 수행된다. 각
모드에서의 등가 변형률과 등가 응력성분들은 다음과 같이 각 파손모드에서 각 방향의 변형률 및 응력 성분들을 고려하여 계산된다. 수직 및 전단변형률은
각각 e과 g의 기호로, 수직 및 전단응력 성분은 각각 s, t의 기호로 나타내었다(식 (3)).
아래 첨자 ‘eq’는 ‘등가’를 의미한다. ‘< >’ 기호는 Macaulay 연산자로, 식 (4)와 같은 계산을 의미한다.

계산된 등가 변형률을 다음의 식 (5) 관계를 이용하여 각 파손모드에서의
등가변위를 획득할 수 있다.

δ는 변위를 의미하며 ‘I’는
각 파손모드(ft, fc, mt, mc)를 의미한다. Lc는 요소의 특성길이로
UMAT code를 통한 PFA 수행 중에 각 요소별로 획득할 수 있다. 등가 변위와 등가 응력에 파손 기준식의 파손 파라미터 ‘fI’를 고려하여 다음의 식 (6)과 같이 파손 시점의 등가 변위와 등가 응력을 계산한다.

식 (7)의 CB 모델을 이용하여 다음의 최종파손시점에서의 등가 변위를 획득할
수 있다(식 (8)).

여기서 G는 재료의 파괴에너지를
의미한다. 본 연구에서 이용된 재료의 bi-linear 손상거동은 Fig. 1에 응력-변위 관계로 보인다. 얻어진 등가변위들을 바탕으로, 각 손상모드에서의 손상변수(damage
variable)를 다음 식 (9)와 같이 유도한다.

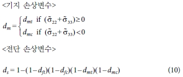
Lapczyk은 CB 모델을 이용하여, 파괴 시점에서의 등가 변위를 재료의 파괴에너지 값에 대응, 손상변수에 접목시킴으로써 해석결과에서
mesh 의존성을 감소시킬 수 있는 것을 보였다. PFA는 각 파손모드에서 파손기준식에 따라 식 (10)으로 계산된 손상변수를
강성행렬에 반영하면서 강성을 감소시키면서 수행된다.

|
Fig. 1 Bi-linear damage behavior of material |
3.1 재료 및 시편
본 연구에서는 T700/epoxy 복합재료 적층판을 이용하여 제안된 PFA 도구의 검증을 수행하였다. 재료의 기계적 물성치와 파괴에너지
값들은 각 ASTM 규정[12-14] 및 기존문헌 등[15-17]을 참고하여 시험을 통해
획득하였고, Table 1을 통해 볼 수 있다.
PFA 결과의 유효성을 판단하기 위하여, 원공이 포함된 복합재료 시편을 제작하여 인장시험을 수행하였다. 복합재료 시편은
[0/+45/-45/90]s의 준등방성 적층을 이용하였고 치수 및 형상 정보는 Fig. 2에서 볼 수 있다. 해석결과를 통해 획득하게 되는 변형률 분포와 비교를 수행하기 위하여 시편의
원공 양쪽에 일축 스트레인 게이지를 부착하였다. 스트레인 게이지는 시편의 인장방향 변형률을 측정할 수 있도록 Fig. 2의 y축을 따라 부착되었다. 추가적으로, 디지털이미지상관법(DIC)을 이용하여 시편 표면에서 변형률
분포를 획득하기 위해 시편의 표면에 스패클패턴(spackle pattern)을 도포하였다.
3.2 시험 절차
원공 복합재료 시편의 인장시험은 MTS810 유압시험기를 통해서 수행되었다. 시험은 1 mm/min의 변위제어를 통해 수행되었으며,
시편의 최종 파단까지 시험이 진행되었다. 시험의 진행과 함께 CCD 카메라를 이용하여 시편 표면의 이미지를 일정 주기로 획득하였고, 이 이미지들은
DIC 분석을 수행하기 위해 사용되었다. MTS810 시험기의 하중-변위 데이터, 스트레인 측정, 그리고 이미지 획득 샘플링 속도는 모두
100 Hz로 통일되었다.
3.3 해석 절차
3D 유한요소해석이 상용 해석프로그램인 ABAQUS를 이용하여 수행되었다. PFA를 수행하기 위해 기존 유한요소해석 과정에 사용자 정의
부프로그램(user defined subroutine)이 포함되었다. 해석 모델은 Fig. 3을 통해 볼 수 있다. 모델의 왼쪽 끝 단은 고정 조건, 오른쪽 끝 단에는 2 mm의 변위 조건을
주었다. 해석 모델은 C3D8요소를 이용하여 구성되었다. 또한 메쉬 의존성이 적은 CB 모델의 이점을 확인하기 위해 동일 모델에서 요소 개수를
달리하면서 해석을 반복적으로 수행하여 메쉬 의존성을 확인하였고, 그 결과는 MLT 모델[2]을 통해 수행된 해석결과와 비교되었다.
|
Fig. 2 Open-hole composite specimen |
|
Fig. 3 FEM model with boundary conditions |
4.1 메쉬 의존성 확인
Fig. 4는 복합재료 모델의 요소
수를 변화시키며 수행한 PFA를 통해 계산된 최대 하중 결과를 보여준다. CB 모델의 메쉬 의존성을 확인하기 위해 요소 수를 변경하며 해석을 수행한
결과, 모델의 전체 요소 수는 최소와 최대경우에서 각각 1037개, 11436개로 11배 정도 차이를 보이지만 계산된 하중 결과는 8.5%의 차이만을
보여주었다. 요소수가 가장 적은 경우를 시험 결과와 비교하여도, 8.7%의 오차가 관찰되었다. 또한 메쉬 의존성의 정량적인 분석을 위해 기존 상용
소프트웨어의 MLT 모델을 이용하여 획득한 결과와 CB 모델의 결과를 비교하였다. MLT 모델은 비교적 적은 요소 수로 해석된 결과에서, CB
모델과 유사한 요소 수임에도 불구하고 CB 모델보다 10%까지 큰 오차를 보였다. 또한 MLT 모델 결과는 실험 결과값에 수렴하기까지 계속적으로
CB 모델보다 큰 오차를 보였다. 이를 통해 CB 모델의 메쉬 의존성이 상대적으로 작은 것을 확인할 수 있다. 이러한 CB 모델의 작은 메쉬 의존성은
PFA에서 사용된 손상변수가 CB 모델을 바탕으로 계산된 것에서 비롯된다. CB 모델 관계 식에서 최종 파단 시의 등가변위는 재료의 파괴에너지를
고려하여 계산되며, 이에따라 Fig. 1의 bi-linear한
손상 거동에서 삼각형 내부 면적은 파괴에너지량으로 고정된다. 파괴에너지 값은 실험적으로 구해지는 재료 상수이기 때문에 일정하며, 해석 시 각 요소에서는
각 모드의 파괴에너지량을 바탕으로 손상 거동을 하게 된다. 따라서 각 요소는 요소 크기에 관계없이 동일한 파괴에너지를 고려하여 파손되기 때문에
본 연구의 PFA 도구는 적은 메쉬 의존성을 보여준다. 결과값의 10%내의 오차는 요소의 aspect ratio 차이에 의해 발생할 수 있다[8,10].
4.2 인장거동 비교
Fig. 5는 PFA를 통해 얻어진
원공을 포함하는 복합재료 시편의 인장 해석결과와 시험결과로부터 획득한 하중-변위 선도 결과를 보여준다. Fig. 4의 결과를 참고하여, 인장거동의
예측은 보다 정확한 강도 예측을 위해 11,000개 이상의 요소로 구성된 모델을 이용하여 해석을 수행하였다. PFA 결과는 시험 결과와 비교하여,
강성 및 강도가 유사하게 예측되었다. 해석을 통해 획득한 최대 인장강도 값은 시험 결과와 비교하여 3%의 차이를 보였다. Fig. 5를 바탕으로 본 연구에서 사용된 PFA 모델이 원공을 포함하는 T700/epoxy 소재의 인장
파손거동을 적절히 묘사할 수 있음을 확인할 수 있다.
4.3 변형률 비교를 통한
PFA 검증
Fig. 6은 각각 PFA와 디지털이미지상관법
결과로부터 획득한 파손 시작시점에서의 변형률 분포를 나타낸 것이다. 노치의 양쪽에서 응력집중으로 인해 발생하는 최대 변형률을 포함하여 전체적인
변형률 분포는 PFA와 DIC 결과에서 유사하게 나타났다. 각 지점의 값들을 서로 비교해 보면, 유사한 값들 임을 확인할
수 있다. 원공 양단에서 발생하는 최대 변형률 값은 해석결과와 시험결과에서 최대 3.66% 이내에서 일치하였다. 또한, 원공 복합재료 인장시편의
시험을 진행하며 스트레인 게이지를 통해 원공의 양쪽 끝 부분 근처에서 변형률을 측정하였다. PFA, DIC 그리고 스트레인 게이지를 통해 획득한
서로 대응되는 위치에서 변형률 값들의 비교는 Fig. 7을 통해 볼 수 있다. 스트레인 게이지를 통해 획득한 변형률과 비교하여 DIC 결과는
4.48%, PFA 결과는 7.03%의 차이를 보였다. PFA 결과와 실제적인 변형률 값들을 비교해 본 결과, 제안된 PFA 도구는
T700/Epoxy 복합재료의 파손거동을 훌륭히 묘사하는 것으로 확인되었다.
|
Fig. 4 Maximum load variation according to number of elements |
|
Fig. 5 Load-displacement curves for open-hole tensile test and PFA results |
|
Fig. 6 Strain contour obtained from (a) PFA, and (b) DIC |
|
Fig. 7 Strain (εyy) value comparison |
본 연구에서는 CB 모델이 접목된 손상변수를 이용하여 PFA 도구를 개발하였고, 이를 원공을 포함하는 복합재료 인장시편의 시험결과와
비교하여 검증하였다. 그 결과는 다음과 같다.
(1) 제안된 PFA는 기존 문헌들의
결과와 마찬가지로 메쉬 의존성이 10% 내외로 적게 나타났으며 이는 복잡한 구조를 설계할 때 큰 이점으로 판단된다.
(2) 해석 결과를 시험결과와
비교한 결과, 노치가 있는 시편에서 파손의 발생과 시편의 강성 및 강도를 유효한 범위에서 예측하였다.
(3) 시험에서 스트레인 게이지와
디지털이미지상관법을 통해 획득한 변형률, 그리고 PFA를 통해 획득한 변형률의 비교를 수행한 결과, 전체적인 변형률 분포나 비교한 값들에서 유사한
값을 확인할 수 있었다.
결과적으로, 제안된 PFA 모델은 연구된 복합재료의 파손거동을 충분히 구현할 수 있으며, 이 모델은 복잡한 구조물의 파손 예측에 유용하게
사용될 수 있다고 판단한다.
본 연구는 ㈜한국화이바가 지원하는 연구과제로 수행된 것이며, 지원에 대해 진심으로 감사드립니다
This Article2019; 32(5): 258-264
Published on Oct 31, 2019
Services
Correspondence toDepartment of Mechanical Engineering, Chungnam National University