Shin-Moo
Park*, Do-Won Kim*, Gyu Jeong*, Jae Hyuk
Lim*†, Sun-Won Kim**
* Department of Mechanical Engineering, Jeonbuk National University
*† Department of Mechanical Engineering, Jeonbuk National University
박신무* · 김도원* · 정규* · 임재혁*† · 김선원**
In this study, the transverse mechanical properties of
the unidirectional fiber reinforced composite modeled with fiber, matrix, and
interphase is predicted with the representative volume elements and is
calibrated by adjusting the properties and thickness of the interphase by
referring to the test results. While the conventional representative volume
elements modeled with fiber and matrix shows high predictive accuracy for the
longitudinal mechanical properties, but it shows some deviations in the transverse
mechanical properties. In order to compensate such gaps, the interphase region
is employed, and its mechanical properties are adjusted to improve the
prediction accuracy according to various elastic modulus, thickness, and
strength parameters. As a result, the deviation of the transverse elastic
modulus and strength is reduced significantly similar to the test results of
the unidirectional composites with the accuracy of the longitudinal mechanical
properties preserved.
본 연구에서는 섬유, 기지 및 계면으로 구성된 단방향 복합재료의
대표체적요소를 이용해서 가로방향 기계적 물성을 계면 특성 변화에 따라 예측하고 시험결과에 맞춰 계면의 특성의 보정을 실시하였다. 섬유와 기지로 모델링 된 기존의 대표체적요소는 섬유 길이방향 기계적 물성에 대해 예측 정확도가 높으나 가로방향에
대하여 어느 정도의 편차를 보인다. 따라서, 이런 차이를
보완하기 위해 계면 영역을 도입하였고, 계면의 두께, 탄성
물성과 강도 파라미터에 따라 기계적 물성을 보정하여 복합재료 대표체적요소를 통한 예측의 정확도를 향상시켰다. 그
결과, 복합재료 대표체적요소의 길이방향 물성의 정확도는 유지한 채 가로방향 강성 및 강도의 정확도가
향상됨을 확인하였다.
Keywords: 단방향 복합재(Unidirectional composite), 등가 탄성 물성(Effective elastic properties), 가로방향 파손강도(Transverse failure strength), 대표체적요소(Representative volume element)
현재 항공우주, 해양선박 및 자동차 제조 등의 다양한 산업분야에서 복합재료에 대한 수요가 증가하고 있다. 이에 따라, 새로운 복합재료의
개발 및 연구가 필요하며 복합재료에 첨가되는 강화재의 부피비 혹은 무게비에 따른 복합재료의 물성 변화를 확인할 필요가 있다. 하지만 시편 제작
및 반복시험을 통한 복합재료의 물성 측정은 많은 인적, 물적 자원을 소모한다는 한계가 있다. 이러한 이유는 복합재료가 방향에 따라 물성이 다르고,
시험결과의 편차가 상대적으로 크기 때문에 통계적으로 판단하기 위해서는 다수의 시험결과가 있어야 하기 때문이다. 이를 보완하기 위해 이론식 또는
경험식을 사용하거나 유한요소해석을 이용한 복합재료의 물성 예측 관련 연구가 활발히 수행되어 왔다[1,2].
유한요소기법을 이용한 복합재료 등가물성 예측을 위해서는 실제 복합재료의 미시구조와 유사한 대표체적요소(representative
volume element: RVE)를 사용한다. 단방향 복합재료의 경우에는 섬유를 원형으로 가정하고 섬유의 위치를 무작위(random)하게 생성하는
것이 일반적이다. 대표적인 방법으로 RSA(random sequential adsorption, 1997) [3],
NNA(nearest neighbor algorithm, 2010)[4], MNNA (modified NNA,
2016)[5], RSE(random
sequential expansion, 2013)[6], RFR(random fiber removal, 2019)[7] 등과 같은 무작위 섬유 배치 알고리즘이 제안되었고, 이러한 방법을
이용하여 RVE를 생성하고 복합재료의 등가물성이 예측되었다. 이 중, RSA 알고리즘은 Fig. 1(a)와 같이 섬유의 위치를 무작위로 생성하는 널리 사용되는 알고리즘이다. 하지만, 섬유를 무작위로
배치하기 때문에 섬유 사이의 거리가 상대적으로 멀어 섬유체적비(fiber volume ratio, Vf)가 55%를 넘지 못하는 한계(jamming
limit)을 가지고 있다[3]. 그러나, 구조체에 주로 사용되는
단방향
복합재료의 섬유체적비는 60% 내외이며 이를 구현하기 위한 NNA, MNNA, RSE, RFR 알고리즘 등이 제안되어 왔다. 이 중 RSE 알고리즘은
Fig. 1(d), (e)와 같이 비교적 높은 섬유체적비(55%)인 경우에는 양호하나 Fig. 1(b)와 같이 섬유체적비가 낮은 경우(35%)에는 섬유배치가 무작위성을 띄지 못하고 국부적으로 뭉침이
일어나는 형상을 보여주는 한계가 있다.
이러한 문제를 해결하기 위해 2019년 Park[7]은 다양한 섬유체적비를 갖는 RVE를 얻기 위해 가장 높은 섬유체적비를 갖는 RVE에서 무작위로
섬유를 제거해 다양한 범위의 섬유체적비를 갖는 RVE를 도출하는 기법을 만들어 random fiber removal(RFR) 기법이라 명명하였다.
이 방법의 가장 큰 장점은 Fig. 1(c), (e)처럼 그 어떤 섬유 체적비의 RVE도 국부적인 뭉침 없이 효율적으로 생성할 수 있다는 것이다.
아울러 RVE의 유한요소모델을 단 한번만 생성하면 되기 때문에 알고리즘이 매우 단순하고 RVE 생성시간이 기존의 방법보다 훨씬 빠르다.
Park의 연구에서 보고된 대로 Table 1에 나타나듯 RFR의 가로방향
등가물성(Ex, Gxz, Gxy)의 예측 정확도가 기존의
다른 방법(RSE)보다 우수하다. 그러나, 여전히 가로방향 물성이 시험결과보다 최대 15% 낮게 평가되는 한계가 있으며, 이는 섬유와 기지 사이에
존재하는 계면의 영향에 의한 효과로 판단된다.
이 계면은 복합재료 제작 시 섬유와 기지 사이의 결합력을 좋게 하기 위한 처리로 인해 주로 발생하며, 섬유와 기지 사이에 전단 지연(shear
lag), 미끄럼(slipping interface) 등의 현상을 일으킨다고 보고되었다[8]. 계면이 복합재료의 가로방향 기계적 강도와 강성에 끼치는 영향에 대해 미시역학 모델을 이용한
수치해석으로 연구가 수행되었다. 그러나 그 두께와 기계적 물성치에 관해서는 여러 경험에 의존한 추정만 있을 뿐 명확히 보고된 바가 없다. 최근
Riano[9]의 연구에 따르면 나노인덴터를
이용한 압입 시험을 통해 물성에 따라 압입 특성이 달라지는 점을 이용하여, 계면의 두께를 유추하고 탄성계수를 도출하였다. 이를 바탕으로 해석모델을
보정하여 시험결과와 일치하는 예측결과를 얻었다. 그리고 Na[10]는 단방향 탄소섬유 복합재의 인장시험결과로 얻은 인장강도와 계면의 전단강도 간의 상관관계를 도출해냈다.
따라서 본 연구에서는 섬유, 기지 및 계면으로 구성된 무작위 RVE를 생성하고 섬유강화복합재의 가로방향 기계적 강성 및 강도를 예측한다.
또한 시험결과를 참고하여 계면의 두께 및 물성을 보정하여 예측 정확도를 향상시키려 한다.
|
Fig. 1 RVE configuration of Vf= 35%: (a) RSA, (b) RSE, (c) RFR,Vf= 55%: (d) RSE, (e) RFR |
2.1 구성재료의 물성 및 검증
본 연구에서 물성 예측 및 검증에 사용된 복합재료는 World Wide Failure Exercise(WWFE)에 보고된
E-Glass /MY750으로 각각의 물성은 Table 2와 같다(참고문헌[11]의 Table1~3및 Fig. 4).
복합재료 RVE의 가로방향 등가물성 예측에 앞서 예측 정확도 향상을 위해 복합재료의 구성재료에 대해 몇 가지 가정 및 검증을 하였다.
섬유 E-Glass는 강도가 매우 크므로 선형거동을 하고 파손이 발생하지 않는다고 가정하였고, 기지 MY750는 시험결과[11]와 같이 인장 하중하에서 탄소성 과정을 거쳐 낮은 강도에서 파손되는 거동을 표현하기 위해 식
(1)과 같은
Drucker-Prager 항복 이론을 사용하였다[12].
여기서 p는 정수압(hydrostatic
stress), β는 p - t 평면에서의 선형 포락선의 기울기, d는 응집력(cohesion), q는 Von-Mises 응력, k는 삼축 압축 항복응력에 대한 삼축 인장 항복응력의 비율, r은 편차응력의 3차 불변량이다. k = 1이라 가정한 식 (1)에 일축 인장 및 압축 항복응력을 대입하여 Table 2와 같이 β와 d를 유도하였다. 그리고
기지의 파손은 Jeong[13]이 사용한 손상 개시(damage
initiation) 및 진화(damage evolution) 이론들을 사용하였다.
Table 2의 유도된
Drucker-Prager 상수를 이용한 해석결과와 시험결과를 비교 검증하였다. 기지의 물성 표현이 잘 적용되는지 확인하기 위해 1개의 유한요소와
Fig. 2와 같이 가로방향 인장
해석에 사용할 3차원 RVE 전체를 기지요소로 변환한 모델의 단순 인장 및 압축해석의 응력-변형률 곡선을 시험결과와 비교하여 Fig. 3과 같이 나타냈다. 해석 및 시험결과가 본 연구에서 다루고자 하는 인장 및 압축 방향에서 잘
일치하는 것을 확인하여 기지재료의 물성 모사 검증을 수행하였다.
2.2 단방향 복합재료의 RVE
생성
본 연구에서는 RFR 알고리즘을 이용하여 3차원 RVE에 섬유를 배치했고, 그 중 하나의 형상을 Fig. 2에 나타내었다. RVE 생성과정에서 섬유배치 시 경계에 걸쳐지는 섬유는 RVE를 이탈한
나머지를 반대편에 배치하여 형상의 주기성을 확보하였다. RVE 내의 섬유 개수는 93개이며 각 섬유 반경은 8 mm, RVE의 섬유체적비는 60%이다. 복합재료 RVE 유한요소 모델은 두께가 요소 두 층이 되도록
생성하였으며, 3차원 8절점요소(C3D8)로 만든 섬유와 기지의 요소 개수는 각각 27,790개 및 16,208개, 절점의 수는 총
66,762개이다.
2.3 가로방향 등가물성 예측 및
검증
복합재료의 등가강성을 전산균질화기법(computational homogenization scheme)을 적용하여 예측하였다. 전산균질화기법은
비균질 재료를 균질 재료로 가정하여 등가강성을 도출하는 기법이다. 3차원 RVE에 대해 Fig. 4와 같은 6가지 경계조건을 적용한 구조해석을 수행해 해석결과의 응력으로 식 (2)와 같이 체적평균화를 시킨 뒤 식 (3~4) 과정을 거쳐 유연도 행렬을 구하여 등가강성을 도출한다. RVE에 경계조건을 적용할 때 주기적인
경계조건(periodic boundary condition)을 구현하기 위해 ABAQUS의 *EQUATION 명령어를 사용하였다[12].

식 (2~4)의 si, ei, W, Sij는 각각 i 방향 응력과 변형률, RVE의 전체 체적, 유연도 행렬을 의미한다.
2.2절에서 생성한 복합재료 RVE 유한요소모델을 ABAQUS/Standard를 이용해 구조해석 수행 및 등가강성을 예측하였다. Table 1의 결과와 같이 길이 방향 물성은 시험결과와 매우 비슷한 양상을 보였지만 가로방향 물성은 최대
15%가량 작게 예측되었다.
복합재료 RVE의 등가강도예측에는 강성 예측과 동일한 RVE 모델을 사용하였고, 150oC에서 25oC에 이르는 경화(curing)과정을
모사하여 압축잔류응력을 고려하였다. 그리고 Fig. 2의 경계조건을 적용. ABAQUS/Explicit를 이용하여 강도해석을 수행했다. 이때 복합재료의
섬유와 기지가 완전결합(perfect bonding)돼있다 가정하였다. 강도 및 변형률은 식 (5, 6)을 이용해 도출하였다.

여기서, Ar, 는 하중경계조건 부분의 면적, 절점 i에서 작용하는 반력을 각각 의미한다. 또한, dright, dleft은 RVE의 오른쪽 면과
왼쪽 면의 변위, L은 RVE의 가로방향 길이를 의미한다.
Fig. 5에 복합재료 RVE의 가로방향
인장시험 및 해석결과를 나타냈다. 시험결과의 가로방향 강성은 16.2 GPa, 파손강도는
40 MPa인데 반해, 등가강성은 13.541 GPa로 여전히 시험결과보다
약 16.4% 낮았고 등가강도는 47.08 MPa로 약 17.7%
높게 나타났다. 강성이 낮은 이유는 1장에서 언급하였듯이 랜덤생성기로 도출한 RVE기반 미시역학모델이 섬유간의 응력집중을 잘 모사하지 못하기 때문으로
판단되며, 3.2절에서 계면물성 보정을 통해 등가강성 개선을 시도한다. 등가강도가 높게 나온 이유는 실제 복합재료의 섬유와 기지 사이 계면에 기공
및 각종 결함이 존재하나, 본 연구에서는 결함을 고려하지 않았기에 과도하게 예측된 것으로 판단된다. 3.5절에서 응집요소이론을 통한 등가강도 개선을
시도한다.
|
Fig. 2 Configuration and boundary conditions of 3D RVE model under transverse tension simulation (Vf= 60%) |
|
Fig. 3 Comparison of the stress-strain curve of MY750 matrix under tensile and compressive loads between analysis and test |
|
Fig. 4 Boundary conditions of unit cell problems |
|
Fig. 5 Comparison of the stress-strain curve between FE analysis without interphase and test of E-glass/MY750 |
3.1 계면의 유한요소
모델링
섬유와 기지의 완전결합 가정을 통한 예측 결과 실제보다 작은 등가강성 및 큰 등가강도가 예측됨을 2.3절에서 확인하였다. 따라서, 섬유와
기지 사이의 이를 보완해 주는 계면을 Fig. 6과 같이 생성하였다.
계면요소를 섬유 주변에 한 층으로 구성하고, 요소의 절점 연결정보를 Fig. 6과 같이 조정하여 계면의 normal vector가 섬유 방향을 항상 가리키게 하였다. 이러한
이유는 추후 응집영역요소 이용을 고려하였기 때문이다. 응집영역요소는 요소 자체의 응력관찰보다 이 요소와 연결된 타 요소들 간의 상호작용을 중점적으로
보는데, ABAQUS manual[12]에서는 두 층 이상의 요소망을
구성할 경우 해석결과를 신뢰할 수 없다 경고하며 참고문헌 [13,14]에서도 한층으로 구성한 것을 확인할 수 있다.
이때 계면의 두께는 섬유 반지름의 1/70 수준을 사용하였고[14], 계면의 물성은 가로등방성으로써 5개의 변수(Ez, Ex,νxz,νxy,Gzx)interphase로 구성된다 가정되었다. 이중 RVE의 길이방향 등가강성을 위해 Ezinterphase=3.35 GPa, νxyinterphase= 0.35로 기지의 물성과 동일하다고 가정하였고Exinterphas ,νxzinterphase 및 Gzxinterphase는 독립변수로 설정하였다. 이때 RVE 유한요소 모델의 섬유 및 기지의 요소 개수는
2.2절과 동일하며, 3차원 8절점요소(C3D8)로 만들어진 계면은 6,712개, 절점은 총 76,932개이다.
3.2 계면 강성 변화에
따른 등가강성 변화 예측
2.3절과 동일한 방법을 통해 예측된 계면의 물성 변화에 따른 복합재료 RVE의 등가강성은 Table 3과 같다. 독립변수로 설정한 계면의 가로방향 물성 , Exinterphas ,νxzinterphase 및 Gzxinterphase를 3가지 경우로 나누어 해석하였다. 계면을 고려한 해석모델의 등가강성은 계면의 가로방향
물성 Exinterphas와 Gzxinterphase가 커질수록 시험결과에 근접함을 확인할 수 있다. 하지만 Table 3의 case 3처럼 계면의 강성 Exinterphas를 1000 GPa만큼 극단적으로 높여도
여전히 시험결과보다 낮게 예측되는 한계를 확인하였다.
3.3 계면 두께 변화에
따른 강성 변화 예측 결과
계면의 물성 변화만으로 실제 복합재료의 물성에 도달할 수 없는 한계를 3.2절에서 확인하였다. 따라서, 계면의 두께의 변화에 따른
RVE의 등가물성의 변화를 확인하였다. 이때 사용한 계면의 물성은 실제 복합재료의 물성과 가장 근접한 결과를 보이면서도 섬유의 물성보다 크지 않은
Table 3의 case 1과 2의
경우를 고려하였다.
계면의 두께는 초기 가정인 섬유 반지름의 1/70, 초기가정의 1.5배인 1/46.67 및 초기 가정의 2배인 1/35로, 계면의 물성
2가지와 계면의 두께 3가지 경우가 조합된 총 6가지의 경우를 고려하였다. 계면 물성 및 두께의 변화에 따른 복합재료 RVE의 등가강성 예측결과는
Table 4와 같이 나타났다.
초기 가정보다 계면의 두께가 두꺼워지는 1-2, 1-3, 2-2, 2-3 경우 RVE의 길이방향 등가물성은 편차의 크기가 0.2%로
크게 변하지 않았으나, 가로방향 등가물성의 오차가 최소 0.31%까지 크게 감소하였다. 이를 통하여 계면의 물성 및 두께 변화가 복합재료
RVE의 등가강성에 큰 영향을 끼침을 확인하였고, 가장 작은 오차를 보인 2-2 경우를 계면의 적절한 두께와 물성으로 선정하였다.
Table 4에서 계면 두께가 두꺼워질수록 Gxz의 오차가 증가하는데,
독립 변수 Gzxinterphase를 가로등방성으로 가정하여 도출했기 때문으로 추정된다. 추후 연구에서 가로등방성을
유지하지 않는다 가정하여 계면의 물성을 6개의 독립변수로 가정하고, 다양한 물성에 대한 해석을 통해 보완하여야 할 것이다.
계면이 있는 RVE와 없는 RVE의 Von-Mises 응력분포를 Fig. 7에 나타냈다. Table 4의 2-2 경우의 보정된 계면 물성 값이 기지재료의 탄성계수대비 약 22배정도 높으므로 더 강한
응력집중이 나타남을 볼 수 있다.
3.4 응집영역요소를 이용한 계면의
파손모델링
실제 복합재료의 가로방향 인장 시험에서는 서로 결합되어 있던 섬유와 기지가 분리되는 탈착(debonding) 현상이 발생하고 이로 인해
가로방향 강도에 영향을 미치게 된다. 이러한 현상을 표현하기 위해 Fig. 8과 같이 traction-separation law를 따르는 응집영역요소(cohesive
zone element)를 사용하여 계면 영역을 모델링 하였다. 응집영역요소의 중요한 파라미터인 손상량(damage, D)은 식 (7)과 같이 정의된다[12].

응집영역요소에 가해지는 응력(t)이 최대응집응력(t0)에 도달할 때 손상이
시작(damage initiation, D = 0)되어, 이후 하중을 가할수록 손상이 점차 진행되고(0 < D
< 1) 강성이 로 약해진다. 응집영역요소의 변위가 δ f가 되면 손상량은 D = 1이 되고, 강성
는 0이 되어 더 이상 응집영역요소에 응력이 발생하지 않게 된다. 이와 동시에 응집영역요소는
삭제(element deletion)되어 섬유와 기지의 탈착 현상을 구현하게 된다[12].
본 연구에서는 응집영역요소의 손상 시작을 판단하기 위해서 식 (8)와 같이 QUADS 기준식을 사용하였다.
(8)
(9)
식 (8)와 (9)에서 Ι는 Fig. 6에 보이는 수직 방향(모드 Ι), ΙΙ 및 ΙIΙ는 전단 1, 2방향(모드 ΙΙ, ΙIΙ)을
의미한다. QUADS 기준식은 각 방향 최대응집응력에 대한 각 수직 및 전단 1, 2방향의 응력 비율들의 제곱의 합이 1의 값에 도달했을 때 손상이
시작된다고 정의한다. 또한 식 (9)에 의하여 응집영역요소는
수직 방향 압축응력으로는 손상이 시작되지 않음을 구현한다.
K에 해당하는 초기 강성은
계면의 탄성계수를 계면 두께로 나누어 도출한다. 본 연구는 선행 연구를 참고하여 초기강성과 최대응집응력을 모드 I~ΙIΙ 모두 방향에 관계없이
서로 같다고 가정하였다[13]. 손상 진화(damage
evolution)를 정의하기 위해서 식 (10)의 power law 기준식을
사용하였다[12].
(10)
여기서 GC는 Fig. 8의 삼각형 그래프의 넓이에 해당하는 파괴인성이다. 식 (10)에서 a 값은 지수(power)로
응력-변위 곡선의 형태를 결정하며 본 연구에서는 1을 사용하였다. 이는 GC에 값이 같다면 응력-변위 곡선의 형태는 해석 결과와 무관하다는 선행연구[13]를 참고하였다.
3.5 가로방향 등가강도 예측 및
계면 물성 조정
계면영역을 3차원 8절점 응집영역요소(COH3D8)로 모델링한 RVE로 경화 및 가로방향 인장해석을 실시하여 등가강도를 예측하였다.
해석에 사용한 섬유와 기지의 물성은 Table 2와 동일하며, 계면은 Table 4의 2-2 case의 보정된 계면 물성을 선택하여 응집영역요소의 초기강성을 4.3167 × 1017 Pa/m로 도출하였고,
최대응집응력은 40 MPa, 파괴인성은 작은 값인 2, 3, 4 J/m2로 다양하게 가정하였다.
2.3절의 강도 예측과 동일하게 인장 해석을 수행하였으며, 해석결과를 시험결과 및 계면이 없는 모델의 예측결과와 함께 Fig. 9에 비교하였다. 계면이 추가된 복합재료 RVE의 등가강성이 14.376 GPa로 계면이 없는 경우의
등가강성 13.541 GPa보다 증가하여 오차가 16.41%에서 11.26%로 감소함을 확인할 수 있다. 그러나 Table 4의 2-2 경우의 보정된 계면 물성을 사용한 등가강성이 15.512 GPa이었으나, 계면이
응집영역요소로 모델링 된 RVE 모델의 등가강성은 약간 낮은 14.376 GPa로 예측된다. 이러한
이유는 응집영역요소가 일반적인 유한요소와 달리 요소의 가로 방향의 응력을 전달하지 못하기 때문으로 판단된다. 그리고 계면이 없는 경우 예측된 등가강도가
47.07 MPa이었으나, 계면이 고려된 결과가 각각 30.16, 32.63 및 34.56 MPa로 파괴인성이 증가할수록
등가강도가 증가하지만 여전히 시험결과보다 낮게 예측된다. 이는 낮은 강도에서 계면이 파손되고 이어서 응력집중에 의해 기지가 파손됐기 때문이다.
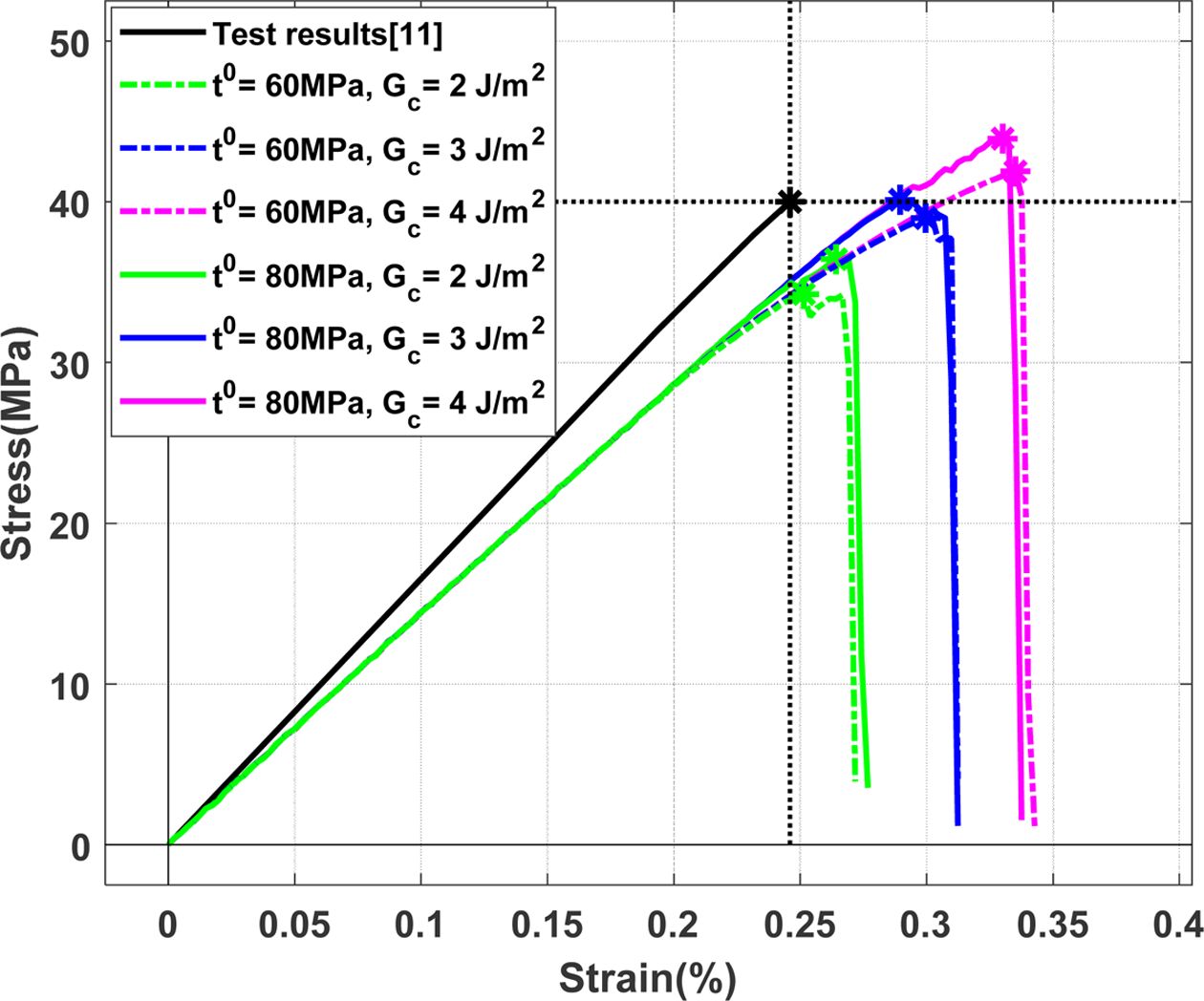
계면과 기지의 파단을 늦춰 등가강도가 시험결과와 비슷하도록 계면의 최대응집응력을 60, 80 MPa로 증가시켜 해석을
수행하였고, 그 결과를 Fig. 10에 나타냈다. 해석결과
등가강성은 모두 14.376 GPa로 동일하였다. 계면의 물성이 최대응집응력 80 MPa, 파괴인성 3 J/m2일 때 시험결과와 매우 비슷한 40.129 MPa(오차
0.32%)의 등가강도가 예측되었다. 그러나 파단변형률은 시험결과 0.246%보다 큰 변형률 0.290%(오차 17.68%)이 예측되었다. 모든
해석 경우에 사용한 계면 물성과 등가강성, 등가강도를 Table 5에 정리하였다.
Fig. 9와 10을 통하여 계면의 최대응집응력과 파괴인성이 등가물성에 미치는 영향을 확인할 수 있다. 계면의
최대응집응력이 증가할수록 복합재료 RVE의 강성저하가 적어진다. 계면의 초기 강성은 일정하므로 최대응집응력이 커질수록 손상 개시가 일어나는 변위(δ 0)가 증가해 계면의 손상 개시가 늦게 일어나 탄성구간이 늘어나기 때문이다.
그리고 계면의 파괴인성이 클수록 복합재료 RVE가 긴 소성변형을 거친다. 요소가 완전히 손상되는 변위(δ f)가 증가한 계면에 의해 응력 완화가 일어나고 기지에 응력이 고루
분포되기 때문이다.
Fig. 11에 E-glass/MY750 복합재료의 시험결과와 계면이
없는 복합재료 RVE, 계면 물성이 보정된 복합재료 RVE의
응력-변형률 선도를 나타냈다. 계면의 최대응집응력이 t0 = 80 MPa, 파괴인성이 GC = 3 J/m2일 때 시험결과와 일치하는 40.129 MPa(오차 0.32%)의 등가강도가 예측되어 적절한 계면의 물성으로 판단된다. 따라서, 이때의 계면 물성을 정확한 예측결과를 보이는 보정된 계면 물성으로 선정하였다.
그러나, 등가강성이 여전히 시험결과보다 11.26% 작게
나오며 이로 인해 파단변형률에 17.68%의 큰 오차가 존재함을 확인하였다. 이는 랜덤생성기로 도출된 섬유의 간격이 여전히 넓어 응력집중이 모사되지 못하기 때문으로 판단된다. 이를 개선하기 위해 Liu[15]의 연구처럼 섬유가 직접 인접하거나 중첩된 형태가 모사되어 응력집중을 정밀히 표현할 수 있는 개선된
미시역학 모델이 필요하다고 판단된다
|
Fig. 6 FE mesh generation of the interphase element |
|
Fig. 7 Von-Mises stress (Pa) contours of (a) the RVE and (b) the RVE with interphase layer(2-2 case) at 0.1% strain |
|
Fig. 8 Traction-separation curve of cohesive zone element[12] |
|
Fig. 9 Effect of the interphase fracture energy on the stress-strain curve of E-Glass/MY750 RVE (t0 = 40 MPa) |
|
Fig. 10 Effect of the interphase strength and fracture energy on the stress-strain curve of E-Glass/MY750 RVE |
|
Fig. 11 Comparison of the stress-strain curve of E-Glass/MY750 RVE with and without interphase |
|
Table 3 Effective modulus of E-glass/MY750 RVE according to the interphase elastic modulus and Poisson’s ratio |
|
Table 4 |
Effective modulus of E-glass/MY750 RVE according to the interphase elastic modulus and thickness |
|
Table 5 Effective transverse stiffness and strength of E-Glass/MY750 RVE according to interphase properties |
본 연구에서는 섬유, 기지 및 계면으로 구성된 복합재료 RVE 계면의 물성 및 두께를 변화시키며 복합재료의 등가강성과 등가강도를 예측
및 보정을 시도하였다. 실제 시험을 통해 얻은 복합재료의 물성과 유사한 예측결과를 도출하도록 계면의 물성을 조정하였다.
보정결과로부터 복합재료 RVE의 등가강도는 적절히 보정되었으나 등가강성이 여전히 시험결과보다 작게 나오며 이로 인해 파단변형률에 큰
차이가 존재함을 확인하였다. 이는 랜덤생성기로 도출된 섬유의 간격이 여전히 넓어 응력집중이 모사되지 못해 등가강성을 정확히 예측하기 못하기 때문으로
판단된다. 따라서 이를 보완할 수 있는 좀더 정밀한 미시역학모델의 개발이 필요하다. 아울러, 연구 수행 시 정보의 한계로 인해 계면의 물성 및
두께를 예측결과가 시험결과와 유사하도록 시도하였으나, 향후 Riano[9]와 같이 나노 인덴터 시험을 통한 계면의 물성과 두께를 측정하여 복합재료의 기계적 물성 예측
및 계면의 물성 보정을 시도하여 연구의 신뢰성을 높일 예정이다.
본 연구는 한국항공우주연구원의 위탁과제 “실제 미시구조를 고려한 복합재 모델링 기법 및 파손거동 변동성 연구”의 지원을 받아 수행된
연구입니다. 이에 관계자 여러분께 감사드립니다(NRF-2018M1A3A4A04047087).
This Article2019; 32(5): 270-278
Published on Oct 31, 2019
Services
Correspondence toDepartment of Mechanical Engineering, Jeonbuk National University
** Satellite Bus Development Division, Korea Aerospace Research Institute