Yeon Jin Ju*, Young-Chul
Kwon**, Heung
Soap Choi*†
* Department of Mechanical and Design Engineering, Hongik University
*† Department of Mechanical and Design Engineering, Hongik University, Corresponding author (E-mail: scheung@hongik.ac.kr)
주연진* · 권영철** · 최흥섭*†
In the present paper, the dynamic force-moment
equilibrium equations, driving power and energy equations are analyzed to
formulate the equation for fuel economy(km/liter) equivalent to the driving
distance (km) divided by the fuel volume (liter) of the vehicle, a selected
model of gasoline powered KIA K3 (1.6v). In addition, the effects of the dynamic parameters
such as speed of vehicle (V), vehicle total weight (M), rolling resistance (Cr)
between tires and road surface, inclined angle of road (θ), as well
as the aerodynamic parameters such as drag coefficient (Cd) of
vehicle, air density(ρ), cross-sectional area (A) of
vehicle, wind speed (Vw) have been analyzed. And the possibility of
alternative materials such as lightweight metal alloys, fiber reinforced
plastic composite materials to replace the conventional steel and casting iron
materials and to reduce the weight of the vehicle has been investigated by
Ashby’s material index method. Through studies, the
following results were obtained. The most influencing parameters on the fuel
economy at high speed zone (100 km/h) were V, the aerodynamic parameters such
as Cd, A, ρ, and Cr and M. While
at low speed zone (60 km/h), they are, in magnitude order, dynamic parameters
such as V, M, Cr and aerodynamic ones such as Cd, A, and ρ, respectively.
본 논문에서는 KIA K3 (1.6) 가솔린 자동차의 연비(km/liter)식을 동력학적 힘-모멘트 평형 방정식, 구동력 및 에너지 방정식을 구성하고 분석하여 유도하였다. 이를 통해
차량의 속도(V), 자동차 총 중량(M), 타이어-노면의 롤링저항계수(Cr), 도로 경사각(θ)과 항력계수(Cd),
차량의 횡단면적(A)과 같은 공기역학적 매개변수가 자동차의 연비에 미치는 영향을 분석하였다. 또한 경량금속합금, 섬유강화 플라스틱 복합재료와 같은 대체재료가
기존 자동차의 강재, 주철재를 대체하여 차량의 무게를 줄일 수 있는 가능성 등을 Ashby의 재료지수 방법으로 조사하였다. 본 연구를 통해 다음과
같은 결과를 얻었다. 고속(100 km/h)에서
연비에 가장 큰 영향을 미친 매개변수는 그 크기순으로 자동차의 속도 V와 공기역학적 매개변수인 Cd, A, ρ 및 동력학적 매개변수인 Cr,
M의 순서로 조사되었다. 반면에 저속(60 km/h)에서는
동력학적 매개변수로는 V, M, Cr의 순서로, 공기역학적
매개변수로는 Cd, A, ρ 순으로 영향을 미침을 확인하였다.
Keywords: 연비(Fuel economy), 복합재료(Composite materials), 자동차(Automotive), 경량화(Light weighting)
기술과 문명이 발전할수록 삶의 편리함에 대한 자원 소비의 증가로 환경오염 및 자원 고갈이라는 문제에 직면하고 있어 이를 해결하기 위한
친환경 대체 소재 개발에 대한 연구가 필요하다. 환경오염은 여러 가지 형태로 규제되고 있으나 그 실효성은 아직 미흡한 실정이다. 지속적으로 에너지
절약과 환경을 보호해야 하는 현재 시점에서, 일상생활과 산업에 가장 보편화된 자동차는 지구환경 보호를 위하여 내연기관 위주에서 전기자동차와 수소자동차로
대체되는 과도기적 과정에 있다[1-3]. 이는 화석연료의 보존과
환경오염
문제를 동시에 해결하고자 하는 노력이다. 또한, 자동차 산업에서 환경문제 해결을 위한 이산화탄소 온실가스 배출량 규제는 연비의 향상으로 나타나고
있다. 전기 및 수소 자동차와 같은 미래형 자동차는 에너지 차량의 편의성을 도모하면서 에너지 소비효율을 향상시키고자 하면 소형화보다는 경량화 전략이
적절하다. 자동차의 경량화를 위한 노력은 구조(설계)의 경량화, 공정의 경량화, 소재의 경량화 등 크게 세 가지로 나눌 수 있다. 경량화의 3가지
방안 중에 현재 시점에서 가장 효율적인 기술은 경량화 소재를 적용하는 것이다[4,5]. 공정 및 구조의 경량화 기술을 통한 경량화 수준은 많은 투자 비용에 비해 약 몇 %정도의
수준이지만, 경량화 소재를 이용한 기술은 기존 차량 하중 대비 최대 약 40~60% 정도까지도 가능한 것으로 추정하고 있다. 환경 문제와 연비
규제가 강화되고 있는 시점에 자동차 메이커들의 관심사 또한 경량화 소재의 개발에 많은 노력을 기울이고 있는 실정이다. Kim 등[6]은 차량 경량화를 위한 탄소섬유 강화복합재료의 동향을 조사하여 이들 소재가 차체와 부품의 경량화를
위해 다양하게 적용이 증가하고 있고, 자동차에 적용 시 차체 중량감소에 따른 제동, 조향, 내구 및 연비향상과 이에 따른 이산화탄소 배출을 최소화하는
장점을 갖고 있음을 제시하였다. Ahmad 등[7]은 자동차 산업에서의 천연섬유 복합재료의 특성 및 적용에 대한 조사를 통해 자동차 구조용 보(Beam)와
패널 구조물에 대한 재료 지수를 비교하여 기존재료 대신 천연섬유 복합재료의 적용 타당성을 제시하였다. Shin[8]은 자동차의 연비향상을 위한 탄소섬유 복합재료 구동 추진축(Propeller shaft)에 대한
연구를 박사논문으로 수행한바 있다. 본 연구에서는 차량의 경량화를 위해 자동차의 2차원 동력학적 접근을 통해 자동차의 연비식을 유도하고 연비식을
구성하는 다양한 인자(Parameter)가 연비에 미치는 영향을 분석하고자 한다. 자동차의 동력학적 모델링에 대한 연구는 현재 다양하게 출판되어
있으나 동력학적 모델링으로부터 연비까지 식을 유도하기보다는 대부분이 구동중인 자동차에 작용하는 하중을 많이 구하였다[9-11]. 또한 기존 강재 및 주물재 등의 고중량 소재를 복합재료, 경량합금 등으로의 대체를 통해 자동차
경량화가 자동차의 연비에 미치는 영향을 분석하여 대체 가능한 복합재료의 자동차 소재로의 적용 타당성을 조사하였다. 이는 차량의 경량화를 위한 대체
소재의 선정과정 및 대체 소재개발을 위한 로드맵 작성 등의 기초 자료로 활용이 가능할 것이다.
2.1 일반 차량의 재질 별 특성
Fig. 1은 일반적인 자동차에 사용되는
재질을 분류한 자료이다. 사용된 재질은 강재(Steel, 인장강도; 180 MPa, 밀도; 7,800 kg/m3)로 약 55%를 차지하고,
엔진블록이나 브레이크 및 서스펜션에 주로 적용되는 주철재(Cast iron, 인장강도; 275 MPa, 밀도; 7,200 kg/m3)는
약 9% 정도를 그리고 알루미늄(Aluminum, 인장강도; 186 MPa, 밀도;
2,760 kg/m3)은 약 8% 정도를 차지하고 있다.
Fig. 1에서 볼 수 있는 것처럼,
일반적인 자동차를 구성하는 여러 재질들 중에 상위 세가지 금속재료는 강재, 주철재, 알루미늄 합금 순이다. 이들
금속재의 구성 비율은 약 72%로 차량의 경량화를 위해서는 이들 금속재들을 보다 가벼운 경량재료로 대체할 필요가 있다. 기존 자동차의 구조용 소재로서
가장 많이 적용되고 있는 강재 및 주철재를 하중 및 강도요구조건을 만족하는 탄소섬유복합소재 등으로 대체하는 경우 대체재료의 상대적인 밀도차로 자동차의
중량이 감소되어 구동에너지의 감소 및 연비 향상의 효과를 얻을 수 있게 된다. 일반적으로 강재 및 주철재는 탄소섬유 복합재료로 또는 티타늄으로,
알루미늄 합금 등은 마그네슘 합금 또는 유리섬유 복합재료로, 플라스틱 등은 플라스틱을 기지로한 탄소섬유, 유리섬유 및 자연섬유 보강 복합재료로
대체되고 있다.
2.2 동역학적 해석 및 자동차
연비
자동차를 구성하는 주요 금속 및 플라스틱 소재를 기존의 탄소섬유를 중심으로 하는 합성섬유 및 자연섬유 기반 복합재료 등으로 대체하기
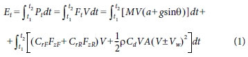
위해서는 우선 자동차의 동력학적 해석을 통해 자동차의 무게가 연비[12]에 미치는 영향을 해석적으로 이해할 필요가 있다. 식 (1)은 자동차의 구동에너지(Driving
energy) 식으로, Fig. 2에 제시된 x방향으로 직선 주행중인 차량의
x 및 z방향 동역학적 힘의 평형식, 무게중심(CG)에 대한 모멘트 평형식과 타이어-도로면과의 구름저항력 (Rolling resistance) 및
수직 항력 등을 구하고 주어진 자동차 속도를 이용하여 얻어진 구동 동력(Pt, Driving power)을 주행시간 t에 대해
적분하여 유도하였다.

여기서 구름저항계수 Cr은 자동차 속도 V의 함수로서 다음 경험식으로 주어진다[13].

식 (1)과 Fig. 2에서 상첨자 F, V, M, A는 각각 힘, 자동차의 속도, 총질량(자동차 공차중량 m, 탑승자
무게 mp, 연료무게 mf, 짐무게 mb의 합) 및 x방향 투영 단면적을 의미한다.
또한
a, ρ, g, θ, p, q는 자동차의 가속도, 공기의 밀도, 중력가속도, 도로 경사각,
구동방식 (전/후륜구동(p = 1, q = 0/ p = 0, q = 1), 사륜구동(p = q = 1))에 따라 달라지는 계수이다. 하첨자 t, rF, zF, rR, zR, d, w는 각각 총합,
앞바퀴 구름저항, 앞 바퀴 수직방향, 뒷바퀴 구름저항, 뒷바퀴 수직방향, 공기저항(Drag) 및 바람 (Wind)을 의미한다. 자동차의 주행 효율은
보통 연비(Fuel economy, FE= km/liter(KPL))로 주행거리(km)를 소요된 연료의 부피(liter)로 나눈 값으로 표시된다.
연료가 갖고 있는 단위 체적당 에너지 밀도(Volumetric energy density, ρed (MJ/liter))와 식 (1)을 사용하여 연비는 다음 식 (3)과 같이 만들어 진다.

여기서 주행거리(km) S는 자동차의 속도 V(t)를 시간 t에 대해 적분하여 얻어지며 ηTTW는 자동차의 연료 통(Tank)에서 바퀴(Wheel)까지의 자동차 효율(Tank-to-wheel
energy efficiency, ηTTW = Et/ET)이며, ET는 연료통에 주입된 연료에 저장되어 주행 중에 모두
사용된 총 에너지(KJ)이다. 즉 ET와 식 (1)의 구동에너지 Et의
차이가 자동차에서 마찰열, 소음, 진동 및 조명, 냉동조화장치, 전자장치 사용 등으로 소실된 에너지가 된다. 실제 자동차의 복합연비(Composite
fuel economy, CFE[14]) 측정에 적용되는 자동차의
실주행속도는 Fig. 3과 같이 고속도로 및 도심
주행모드를 사용한다.
식 (3)은 연료의 단위체적당 에너지밀도 ρed, 주행거리 S 에너지효율 ηTTW에 비례하고 구동에너지 Et에 반비례함에 따라 구동에너지를 감소시키면 연비는 향상되게 되므로, 이는 차량의 무게 경량화를 통해 연비의 향상이
가능하다는 것을 이론적으로 보여준다. 이를 검토하기 위해 기아자동차의 K3 1.6 모델의 온라인 데이터[15] 및 기타 주행환경조건을 Table 1에 반영하여 이를 기준조건으로 하는 자동차의 경량화와 연비 관계를 분석하고자 한다.
|
Fig. 1 Material distribution in typical vehicle[12] |
|
Fig. 2 Dynamic analysis of vehicle |
|
Fig. 3 Velocity of vehicle for FE measurement (EPA[14], USA) |
3.1 동역학적 접근에 따른 연비
분석
식 (1)은 차량의 동역학적 해석방법으로
유도된 구동 에너지 Et를 계산하는 식으로, 이를 통해
구동에너지를 결정하는 인자들의 연비에 미치는 영향을 확인할 수 있다. 구동에너지를 감소시키는 것은 차량의 연비를 증가시킨다. Fig. 4는 식 (1)에서 각 인자별로 연비를 향상시키는 방향으로 10%씩 돌아가면서 변화(단, 경사각 θ의 경우
연비를 감소시키는 상향각 θ = +1°을 부여하고 바람의
속도는 맞바람 크기를 10% 감소시킨 -0.9 m/s를 부여)를 준다.
이때 나머지 인자들은 Table 1의 값을 유지하는 경우로서
연비 증가율의 변화를 기준연비(Standard FE, SFE) 기준으로 상대값으로 나타낸 것이다. 여기서, Cr, Cd,
Vw는 각각 구름저항계수,
항력계수, 바람속도(-: 맞바람, +: 순방향)을 의미한다. 또한 100 km/h 속도로 주행시
얻어진 가솔린(디젤) 자동차의 기준연비는 21.74(24.54)km/liter이다. 자동차의 공차 중량 m = 1,235 kg이고 운전자 1명의 무게는 70 kg으로 가정하였다.
Fig. 4는 그 결과 값으로 이들
변수 인자들 중에 연비에 가장 큰 영향력이 있는 것은 속도(100 km/h에서 90 km/h로 10%감속시 연비 24.98% 증가), 바람속도(역방향 -1 m/sec에서 -0.9
m/sec로 감속 시 연비 8.34% 향상), 공기의 밀도(1.1839 kg/m3서
1.06551 kg/m3로 10% 감소 시 6.43% 향상), 자동차의 투영 단면적(2.19
m2에서 10% 감소한 1.971 m2로
감소 시 6.43% 향상), 공차중량(1,235 kg에서 1111.5 kg으로 10% 경량화시
연비 3.89% 향상, 운전사 70 kg), 구름저항계수(0.01625에서
0.01463으로 10% 감소시 연비 4.12% 향상)로 나타났다. 이들 중에
바람의 영향은 자연현상에, 속도는 엔진성능과 운전자의 운전습관에, 공기밀도와 투영 단면적 및 항력계수는 공기역학적 하중으로, 그리고 구름저항은
타이어 효율에 지배적인 인자이다. 또한 도로 경사각은 (0°에서 1°로 증가시킨 경우 연비는 100% 기준연비에서 가장 큰 감소폭인
32.69%나 감소하였다. 한편 자동차 공차중량을 10% 경량화 할 때 연비효과가 작은 것은 고속으로 운행시 공기역학적 하중이 부하로
크게 작용하기 때문으로 60 km/h 저속으로 주행 시 이들 부하가 크게 감소하여 연비증가 효과가 공기밀도와 항력계수의 연비감소
효과보다 높아짐을 Fig. 5에서 확인할 수 있다.
Fig. 5에서의 기준연비 대비 각
인자의 변화에 따라 얻어진 연비증가율(%)은 Table 1에서 V와 Cr이 각각 60 km/h와 식 (2)에서 얻어진 0.01375로 대체된 것 이외에 Fig. 4와 동일한 방법이 적용되었다.
저속 주행속도인 60 km/h에서의 가솔린(디젤)자동차의 기준연비는
37.47(42.29)km/liter가 얻어져서 Fig. 4의 고속에서의 기준연비보다 월등히 높은 연비를 보여주고 있다. 인터넷에서 검색한 2017년식
K3 자동차의 연비는 대략 12.6~18.4 km/liter이다. 동력학적
이론 연비식 인 식 (3)에 등속운동으로 구한 연비는
Fig. 3의 고속도로 주행연비와
도심주행 연비를 사용하여 구한 절대 복합연비 값과는 차이가 있지만 본 연구에서 수행한 인자 별 연비증가율과 같이 상대적인 연비증가율 영향을 보는
경우에는 영향이 적다고 판단된다. 또한 자동차의 경량화를 위해 자동차의 구성 재료별 경량소재로 교체하는 경우에도 교체전후의 연비를 비교하는 경우이므로
이경우에도 이론적 동역학 모델을 사용하는 것에 대한 오차는 절대연비를 구하여 비교하는 것이 아니기 때문에 타당성이 있다고 판단된다. 한편 연료를
가솔린에서 디젤로 교체하는 경우 엔진 및 동력전달 장치의 차이가 있어 자동차의 무게가 달라져서 자동차 연비증가율이 달라지게 되는데 본 연구에서는
기존 자동차의 무게는 변경이 없다고 가정하고 단지 연료의 에너지 밀도(ρed, MJ/liter)의 차이만 식 (3)에 반영하면 V = 10 km/h와 V = 60 km/h 주행하는 경우
얻어지는 절대 기준연비 값은 각각 24.54 km/liter와
42.29 km/liter으로 연비가 가솔린보다 높게 얻어졌다. 또한 디젤연료의 경우 식 (3)을 구성하는 각 인자 별
영향을 보기 위해 가솔린 사용 자동차에 적용하여 얻어진 방법을 적용하여도 Fig. 4와 5와 똑같은 연비증가율이 얻어진다.
3.2 재료지수를 적용한 자동차
연비향상
Table 2는 Fig. 1의 일반적인 자동차를 구성하는 주요 구조 소재로서 대표적인 소재의 밀도 및 항복강도(Yield
strength)(항복없이 파단되는 경우 인장강도(Tensile strength))를 제시한 것이다. Table 3은 기존 인장 하중을 받는 구조물을 강도설계(Strength based design)를 기반으로
하여 선정 적용한 구조재료를 경량화를 하기 위해 다른 재료로 대체하는 경우 얻어질 수 있는 무게 절감량(%)를 구한 것이다. Table 3의 1, 2번째 열에 있는
원형 숫자들은 Table 2에 제시된 자동차에 적용되는
해당 소재의 이름을 지칭한다.
즉, 본 연구에서 자동차의 경량화를 위해 선택한 구성소재는 ①,②,⑦,⑧의 4개의 소재이며 이들의 무게는 Fig. 1에 도시된 전체 자동차 무게의 구성비를 사용하여 각각 679.25, 111.15, 98.8 및
98.8 kg으로 그 합은 988 kg이다. Mild
steel인 ①은 각각 ③,④,⑥,⑧,⑪,⑫ 및 ⑬번호 소재로 대체될 수 있다. 각 번호로 대체되는 경우 각 재료의 재료지수인 비강도의 함수로
표시되는 무게절감비 WSR(%) (Weight saving ratio %)는 다음식[19]과 같이 표현될 수 있다.
여기서 하첨자 ‘o’은 대체하려는 기존 소재를 의미하고 하첨자 ‘1’은 경량 대체 재료를 의미한다. 또한 ρ와 σy는
소재의 밀도 및 항복강도이다.
Table 3에서 마지막 우측 열은
경량소재를 적용하여 기존 소재를 경량화 하려 할 경우 얻어지는 무게 감소량(kg)으로 ①번 강재 679.25 kg의 10 wt.%(즉,
67.925 kg)를 ⑪번 탄소섬유 복합재료로 교체하는 경우 약 -96.7%의 무게절감율을 보여주며 절감되는
무게 Dm은 679.25 kg*10%*(-0.967) = -65.69 kg 무게를 줄일 수 있다. 이때 경량화 된 자동차의 총중량을 M’라 하면 다음 식으로 표현된다. 
식 (5)의 자동차 총 중량 M'를 사용하여 Fig. 4와 5의 기준연비(V = 100 km/h)를 다시 구해보면 기존 21.74 km/liter에서 22.27 km/liter로 약 +2.45%가 향상되었다. 한편 V = 60km/h의 주행속도에서는 연비가 경량화 전 37.47 km/liter에서 38.81 km/liter로 약 +3.58% 향상되었다. Table 3에서 나머지
소재들에 대해서도 경량화 소재로 대체하는 경우 기존 자동차의 연비향상을 체계적으로 계산할 수 있어
주먹구구식의 경량화 시도에서 벗어나 공학적인 경량화를 이룰수 있다고 사료된다.
|
Fig. 4 Improvement of fuel efficiency ratio according to material change (vehicle velocity at standard data : 100 km/h) |
|
Fig. 5 Improvement of fuel efficiency ratio according to material change (vehicle velocity at standard data : 60 km/h) |
|
Table 3 Material index, specific strength (σf/ρ) for automotive materials and weight saved % |
본 논문에서는 차량의 동력학적 해석접근방법을 통해 자동차의 중량, 속도 및 공기역학 관련 인자(Parameter) 변화가 구동에너지와
연비에 미치는 영향을 분석하고 차량의 경량화를 위해 대체 가능한 자동차 경량화 소재를 비강도 (Specific strength)의 함수관계의 그래프로
분석하여 소재의 대체적용 가능성과 경량화 관계를 조사하여 다음과 같은 결론을 얻었다.
1) 차량의 동력학적 해석으로부터
구동에너지와 연비에 큰 영향을 미치는 주요 변수들의 영향을 분석하여 저속과 고속주행시 연비에 미치는 영향이 동력학적 인자(주행속도, 자동차 총
중량, 구름저항계수 등)와 공기역학적 인자 (공기밀도, 차량 단면적, 바람속도 등)로 미세하게 구분되어 영향을 미치고 있음을 확인하였다.
2) 자동차 무게의 50% 이상을 차지하는 강재의 10%를 경량화 하는 경우 CFRP, 티타늄, 기가 스틸(Giga steel, POSCO), 단조용 마그네슘합금,
AHSS강, HSS강의 순서로 경량화특성이 우수하였다.
반면에 주철재와 알루미늄 합금의 경우 경량화에 따른 연비향상 등의 효과가 강재의 경우보다 미미하였다.
3) 본 연구에서는 등속도 자동차
주행을 가정하여 연비식을 단순화하여 유도하였으나 향후 고속도로 주행 및 시내주행의 복잡한 속도를 부여하여 측정하는 복합연비와는 차이가 크므로 실제에
가까운 속도 프로필을 적용할 필요가 있다.
This Article2019; 32(5): 284-289
Published on Oct 31, 2019
Services
Correspondence toDepartment of Mechanical and Design Engineering, Hongik University
** Department of Mechanical Engineering, Sunmoon University