Haeun Shin*,**‡, Chae Bin
Kim***‡, Seokhoon
Ahn*, Doohun Kim*, Jong Kuk Lim**, Munju Goh****†
* Institute of Advanced Composite Materials, Korea Institute of Science and Technology, Wanju 55324, Korea
** Department of Chemistry, Chosun University, Gwangju 61452, Korea
*** Department of Polymer Science and Engineering, Pusan National University, Busan 46241, Korea
****† Department of Chemical Engineering, Konkuk University, Seoul 05029, Korea
‡ Equally contributed co-first authors.
신하은*,**‡ · 김채빈***‡ · 안석훈* · 김두헌* · 임종국** · 고문주****†
To address tremendous needs for developing efficiently
heat dissipating material with lightweights, a new class of polymer possessing
recyclable and malleable characteristics was synthesized for incorporating
model functional hexagonal boron nitride (h-BN) filler. A good
interfacial affinity between the polymer matrix and the filler along with shear
force generated upon manufacturing the composite yielded the final product
bearing highly aligned filler via simple hot pressing method. For this reason,
the composite exhibited a high thermal conductivity of 13.8 W/mK. Moreover, it
was possible to recover the h-BN from the composite without
physical/chemical denaturation of the filler by chemically depolymerizing the
matrix, thus the recovered filler can be re-used in the future. We believe this
polymer could be beneficial as matrix for incorporating many other functional
fillers, thus they may find applications in various polymeric composite related
fields.
본 연구에서는 재활용이 가능하며 열가소성 특성을 지닌 신규 고분자 수지를 개발하고 합성하였다. 이렇게 개발된 수지와 판상형 질화붕소(h-BN) 사이의
계면 친화성이 좋음을 계산과학을 통하여 확인하고 열압기(hot press)를 이용하여 복합소재를 제조하였다. 고분자 수지와 필러 사이의 계면 친화성과 함께 복합소재 제조시 발생되는 전단력(shear force) 만으로도 매우 높은 필러 정렬도를 지닌 복합소재를 제조할 수 있었고, 이러한 이유로 복합소재는 최대 13.8 W/mK의 높은 열전도도를
갖는 것을 확인하였다. 또한, 개발된 수지가 화학적으로 분해
가능한 장점을 이용하여 제조된 복합소재로부터 물리/화학적 변성 없이 필러를 회수할 수 있었고 이렇게
회수된 필러는 향후 다양한 신규 복합소재 제조에 재활용이 가능하다.
Keywords: 열전도도(Thermal conductivity), 고분자 수지(Polymer matrix), 육방정 질화붕소(Hexagonal boron nitride), 복합재료(Composite material)
지난 수십년 동안 전자기기 관련 산업들은 “무어의 법칙
(Moore’s law)”을 충족시키기 위해 더 큰 전력 및 기능성들을 더 작은
크기의 기기에 포함시키기 위해 끊임없이 노력하였다[1]. 현재까지 더 작은 전자기기를 제조하기 위한 다양한 최첨단 리소그래피 및 공정 전략이 개발되었으나[2-5], 이러한 고기능성 소형화 전자기기를 위한 효율적인 방열소재는 상대적으로 개발이 미비하다. 또한,
최근 전자기기의 경량화 및 유연소자 수요의 급증에 따라, 가벼우면서도 효율적인 고분자 방열소재 개발이 각광받고 있다. 이러한 전자기기에서 효율적으로
방열이 되지 않으면, 기기과열, 기기수명 단축, 신뢰성 및 효율성 저하, 심지어 기기의 폭발까지도 초래할 수 있다[6].
기존에는 3~8 W/mK 범위의 열전도도를 갖는 복합소재로 은과 같이 높은 열전도도를 지닌 금속 필러와 경화성 유기액체의 단순 혼합물들이
열 계면 재료(TIM)로써 사용되어왔다[7,8]. 그러나 전기전도성의
금속 기반 TIM은 일반적으로 고가이며 중량이 무겁고 외기에서 산화 작용을 겪기도 한다. 무엇보다 이러한 전기전도성 물질이 회로에 일부가 유입되면
회로의 오작동 및 손상을 유발할 수 있다. 이에 따른 해결책으로, 금속 산화물(알루미나) 또는 세라믹 (질화 붕소)과 같이 열전도성이지만 전기적으로
절연성인 필러를 포함한 고분자 복합소재들이 개발되어 TIM으로 사용되고있다[9-12]. 특히, 가소성을 지닌 고분자 복합소재는 열원과 방열체 사이의 계면을 빈 공극 없이 채울 수
있으며 따라서 가소성이 결여된 소재 대비 계면열저항을 최소화 할 수 있다[13].
고분자 복합소재의 열전도도는 고분자 매트릭스가 절연체라고 가정할 때 주로 열전도성 필러의 네트워크 형성에 의해 좌우된다[14-18]. 따라서, 높은 복합소재 열전도도는 복합소재 제조 중 필러들의 네트워크 형성이 상대적으로 불리한
구형 필러보다는 비표면적이 높은 판상형 혹은 섬유형 필러를 사용함으로써 얻어질 수 있다. 이러한 필러 네트워크를 더욱 극대화하고 복합소재의 열전도도를
증가시키기 위해, 다양한 외부 자극(예를들어, 전기장[19], 자기장[20,21] 및 중력장[22])을 적용하여 필러를 정렬하려는 시도들이 있었다. 그러나 상기 공정은 일반적으로 매우 많은 에너지가
소비되며 또한 외부자극에 반응하는 필러를 얻기 위해 추가적인 필러의 표면 개질이 필요하다[23,24]. 따라서 대량생산을 원칙으로 하는 산업환경에는 적용되기 어렵다는 단점이 있다. 복합소재 내에서
열전도성 필러를 정렬하기 위해 산업적으로 적용 가능한 접근법은 복합소재 제조시 발생하는 전단력(shear force)을 이용하는 것이다[25-28].
이를 위해 우리는 h-BN 필러를 갖는 열가소가 가능한 열전도성 복합소재를 제조하기 위한 고분자 수지로써 상대적으로 낮은
유리 전이 온도(Tg~110oC)를 갖는 신규 고분자를 개발하고 합성하였다[29]. 고분자는 산성/염기성 촉매 없이 비교적 온화한 조건에서 p-phenylenediamine
(PDA)과 formaldehyde 간의 축합 반응을 통해 성공적으로 합성되었고, 이는 대량 생산에 용이하다는 것을 의미한다. 전산모사에 기초하여,
개발된 고분자는 h-BN과 계면 친화성을 갖는 것을 확인하였다[29]. 따라서, 비교적 온화한 조건(120oC)에서 복합소재를 제조할
때 발생하는 전단력만을 이용하여 높은 정렬도를 지닌 h-BN을 갖는 복합소재를 제조하였고 또한 이렇게 개발된 복합소재는 매우 높은
열전도도 (~14 W/mK)를 갖는
것을 확인하였다. 그리고, 개발된 고분자 기지수지가 산성 용액에서 분해 가능한 장점을 이용하여, 복합소재로부터 h-BN 필러를 회수할
수 있었다. 회수된 h-BN은 시작 h-BN과 동일한 물리화학적 품질을 나타내는것을 확인하였다. 따라서 회수된 h-BN을
이용하여 향후 다양한 신규 복합소재 제조에 재활용이 가능하다.
2.1 신규 고분자 수지의 합성과
h-BN 복합소재의 제조
h-BN 필러를 갖는 열전도성 복합소재를 개발하기 위해 신규 열가소성 고분자 수지를 합성했다. 고분자는
산성/염기성 촉매 없이 비교적 온화한 조건에서 p-phenylenediamine (PDA)과 formaldehyde 간의 축합반응을
통해 합성되므로 대용량 합성이 가능하다. Formaldehyde (3.0 당량, 1.65 g, 0.055 mol), p-phenylenediamine
(PDA; 2 g, 0.018 mol), 물 (15 당량, 5 g, 5 mL), N-methylpyrrolidone (NMP, 30 mL)을 반응기에
넣고, 아르곤으로 30분 동안 치환하였다. 치환 후 반응 혼합물을 50oC에서 24시간 동안 가열하였다.
반응기를 실온으로 냉각 후 아세톤으로 세척 및 침전하여 60oC의 진공 오븐에서 24시간 건조를 통해 고체 상태의
poly(hexahydrotriazine) (PHT)를 얻었다. 합성된 고분자와 h-BN의 혼합물을 직경 2 cm의 디스크형 몰드를
사용하여 120oC, 5 MPa에서 30분 동안 압축하여 두께 2 mm의 복합소재를 제조하였다.
2.2 복합소재의 분석
합성된 고분자의 화학적 구조를 FT-IR (Thermo
Nicolet iN10 FTIR)을 통해 분석하였다. 복합소재의 등방성 및 이방성 열전도도는 transient plane source method (Hot-disk AB, TPS-2500s)에 의해 측정되었다. 이방성 열전도도를 측정하는 데 필요한 밀도와 비열은 각 시료의 무게와 부피 및 시차 주사 열량계(DSC, Q20, USA TA instrument)로 각각 측정되었다.
DMA(Dynamic Mechanical Thermal Analysis, TA Instruments Q 800, USA)를 사용하여
샘플의 유리전이 및 기계적 특성을 분석하였다. 샘플의 열적외선 이미지는 열 화상 카메라(Testo, 875-1i)에 의해 샘플 수직 방향의 1 M 상공에서
촬영되었다. h-BN의 초기 및 재활용 후 특성을 비교하기 위해 라만 분광법과 X-선 광전자 분광법(XPS; AXIV-NOVA, Kratos Inc,
USA)을 이용하였다.
3.1 PHT 합성 및 분석
Poly(hexahydrotriazine) (PHT)의 합성 개략도를 Fig. 1에 나타냈다. 산성 또는
염기성 촉매가 없는 50oC의 상대적으로 온화한 조건에서 PDA의 amine기는 formaldehyde와 반응하여
hexahydrotriazine 코어가 반복되는 네트워크 구조의 PHT 고분자를 합성하였다[30,31]. ATR-FTIR로 합성된 PHT의 화학 구조 특성을 확인하였다(Fig. 2). 과량의 formaldehyde가 반응에 사용되었지만, 합성된 PHT의 ATR-FTIR 스캔은
미반응 amine 및 aldehyde의 존재로 반응이 완료되지 않았음을 확인하였다. 이것은 amine stretch의 특징 피크,
formaldehyde의 carbonyl 그룹의 피크가 각각 3300-3500 cm-1, 1600 cm-1
및 1850 cm-1 파장에 나타남으로써 입증되었다. 그러나 이 중간체를 120oC에서 15분 가열하면 앞서
언급한 미반응 관능기에 대한 피크가 감소하는 반면 1200 cm-1에서
C-N stretch의 특징 피크가 강화되어 분자량이 더 큰 PHT를 형성하였음을 확인하였다. 가열 시간이 길어져도 스펙트럼이 더 이상 변하지
않기 때문에 15분간 가열하면 중간체에서 모든 미반응 amine과 aldehyde를 PHT로 전환된 것을 확인할 수 있었다. 온화한 조건에서 반응이
성공적으로 완료되었다는 사실은 대량 생산을 위해 PHT를 쉽게 확장할 수 있음을 의미한다.
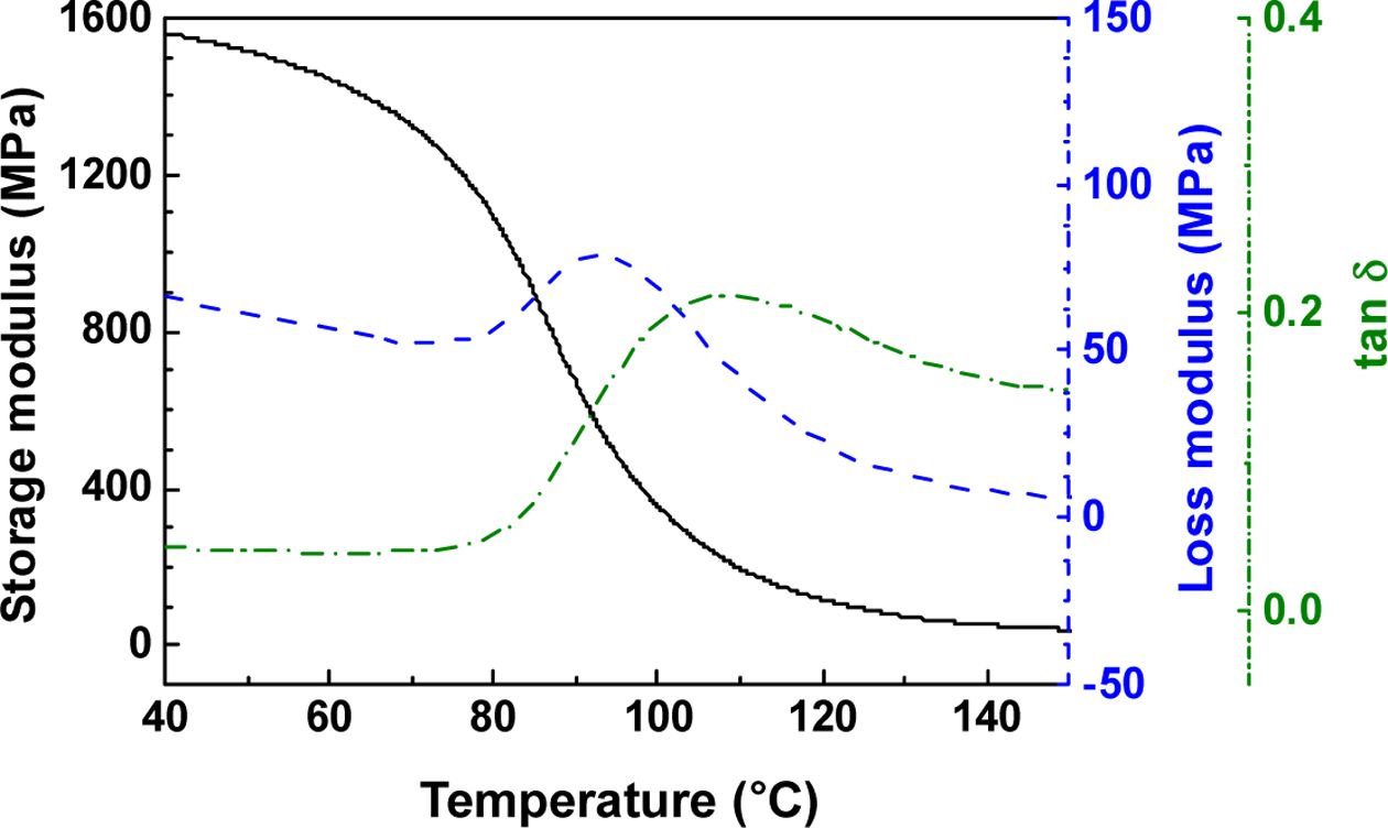
PHT의 화학 구조만 보았을 때 고도로 네트워크화 되어있어 자칫 열경화성 고분자로
사료될 수 있다(Fig. 1 참조). 그러나 PHT의
DMA는 가열했을 때 고온에서 저장 탄성률 (storage modulus)이 급격히 감소하는 것을 보았을때 PHT는 고온에서 점도성 액체로 거동하는
것을 알 수 있었다(Fig. 3 참조). Fig. 3에 표시된 것처럼 PHT의 Tg는 tanδ 곡선의 피크인
110oC로 확인되었다. 또한, 고온에서 PHT의 파편을 열압착을 통해 재성형함으로써 PHT 고분자의 열가소성을 추가적으로 확인하였다(Fig. 4 참조). 이러한 결과는 최근 발표된 유사구조의 PHT의 특성과 동일하며
이는 고분자의 triazine core의 C-N 결합이 열에 의해 가역적으로 bonding 과 de-bonding을 하여서 나타나는 고분자 성질로
사료된다[32]. 합성된 수지를 열중량분석기(TGA)를 통하여 150oC 까지 열적으로 안정함을
확인하였다[29].
3.2 h-BN-PHT
복합소재의 열전도도
필러와 매트릭스 사이의 계면 친화성은 보다 적은 분자 공극으로 최종 복합재료의 열전도도와 같은 물성을 극대화하기 위해 매우 중요하다[33,34]. 계산과학을 통하여 PHT와 h-BN 사이의 계면 친화성을 확인할 수 있었다[29].
h-BN 필러 도입의 영향을 관찰하기 위해, h-BN-PHT 복합소재의 등방성 열전도도를
우선 측정하고, 측정된 필러 함량별 열전도도는 Fig. 5(a)에 나타냈다. 복합소재의 열전도도는 h-BN 함량이 증가할수록
점차 증가하는것을 확인할 수 있었다. 가장 높은 함량의 h-BN에서 열전도도는 13.8 W/mK이다. 이는
TIM 사용에 적합한 3~8 W/mK 범위의 열전도도를 h-BN-PHT 복합소재를 통해 쉽게 달성될 수 있다는 것으로 주목할 만하다[8,9]. 여기서 얻어진 우수한 열전도성의 이유를 검증하기 위해 실험값을 Nielson
모델에 의해 예측된 값과 비교했다[35]. Nielson
모델은 다음과 같이 표현된다(식 (1)).

여기서 Kc, Kp 및 φ는
복합소재 및 고분자 매트릭스의 열전도율, 필러 부피 분율이다. 기하학 인자, A는 식 (2), (3)을 사용하여 일반화된 아인슈타인 계수 PE로 표현할 수 있는
필러 배향과 종횡비를 나타낸다.

여기에서 P는 필러 종횡비를 나타낸다. 매개 변수 D와 λ는 식 (4), (5)에 의해 다음과 같이 나타낼 수 있다.

여기서, Kf 및 φm은 필러의 열전도도 및 공극 없는 연속 매트릭스를
유지하는 최대 필러 부피 분율이다. φm은 0.6으로 선택되었는데, 이 값을 초과하면 복합소재는 일반적으로 상당한
양의 공극을 갖게된다[36]. KP는
0.31 W/mK, 업체가 제공한 h-BN의 등방성 열전도도(60 W/mK)는 Kf 로 사용되었다.
모델이 필러 종횡비(식 (3)의 P)를
~520으로 가정하면 식 (1)을 기반으로 한 모델 예측이
실험 관측과 가장 잘 일치한다. 본 연구에서 사용된 단일 h-BN가 종횡비 ~30을 가지고 있음을 고려하면, 복합소재 내의 h-BN은
복합소재를 제조할 때 h-BN 필러 네트워크 형성으로 인해 열 통과 경로를 잘 형성하는 것이 분명하다는 것을 알 수 있었다.
우리는 이 연구에서 얻어진 우수한 열전도도의 이유가 PHT 매트릭스 내의 뛰어난 필러 정렬 때문이라고 생각한다. 복합재료 제조 공정
동안, 생성된 전단력은 h-BN 필러를 전단력 방향(또는 h-BN 평면이 디스크형 샘플 반경 방향과 평행함)을 따라 정렬할
수 있다. 직관적으로, h-BN 필러가 무작위 또는 축 방향으로 정렬된 샘플보다 샘플 반경 방향으로 완전히 배향되면(즉, 디스크 모양의
h-BN이 디스크 모양의 샘플과 동일한 축을 공유하는 경우) 복합소재 내의 최대 유효 필러 종횡비를 달성할 수 있다. 이러한 가설을
확인하기 위해 이방성 모드를 사용하여 복합재료의 반경(K//) 및 축 방향(K⊥)
열전도도를 측정하였고 결과는 Fig. 5(b)에서 보여진다. 더 많은
h-BN 필러를 PHT에 혼합하면, 반경 방향 열전도도가 상당히 증가하는 반면, 축 방향 열전도도는 상대적으로 덜 증가하는것을
확인할 수 있었다. 이 사실은 h-BN 필러가 축 방향 열전도율보다 훨씬 높은 반경 방향 열전도도를 보이기 때문에 디스크형 복합소재
반경 방면으로 잘 정렬된 h-BN을 암시한다[19,20,36].
필러 정렬은 (K// - K⊥)/(2K//
+ K⊥)에 의해 대략적으로 추정될 수 있는데, 분모는 모든 방향(x, y 및 z)에서 열전도도 (K)
의 합이다[36]. 필러 함량별 추정된
필러 정렬도는 Fig. 6에서 볼 수 있다. Fig. 6에서 알 수 있듯이 여기에서 연구된 가장 낮은 필러 함량을 가진 모든 복합소재는 샘플 반경 방향을
따라 고도로 배향된 h-BN을 가지고 있다. 이 뛰어난 필러 정렬을 통해 Fig. 5(a)에서 볼 수 있듯이 높은 복합소재 열전도도를 얻을 수 있다. 이 연구에서
주어진 모든 증거를 종합하였을 때, h-BN-PHT 복합소재의 우수한 열전도도는
샘플 반경 방향을 따라 뛰어난 필러 배향을 통한 필러 네트워크 형성에서 유래된 것을 확인할 수 있었다.
복합소재의 열전도도 향상을 시각화하기 위해 다양한 h-BN 함량의 복합소재 샘플들을 90oC로 설정한 핫 플레이트에
20초 동안 놓았으며 이로 인한 온도 변화를 열 화상 카메라로 관찰하였다. 해당 이미지를 Fig. 7에서 볼 수 있다. 더 높은 열전도도(또는 더 높은 h-BN 함량)를 갖는 샘플의
온도가 열이 더 빨리 전달되는 만큼 빠르게 증가하는 것을 볼 수 있었다.
3.3 PHT 화학적 분해를 통한
h-BN 회수
PHT 매트릭스의 장점을 더욱 더 부각하기 위해, 낮은 pH (≤2)에서 PHT를 화학적으로 분해함으로써 복합소재로부터 h-BN을
회수하였다. 산성 조건에서 PHT의 분해는 hexahydrotriazine 코어의 탄소와 질소 사이의 공유 결합을 끊음으로써 이루어진다[30]. 실온의 산성 용액에 PHT를 24시간 이상 담근 후 식별 가능한 고형물이 남아있지 않은 것으로
보아 완전한 PHT의 화학적 분해를 유추할 수 있었다(Fig. 8 참조). 복합소재의 경우 산성 용액에서(Fig. 8의 하단행) 분해된 불투명 분홍색 혼합 용액을 얻은 후 필터를 사용하여 물/아세톤으로 여러 번
세척하고 진공 건조하여 h-BN 필러를 용액에서 투입된 필러 무게 비 99% 이상으로 쉽게 분리할 수 있었다.
회수된 h-BN의 품질 평가는 h-BN의 Raman 스펙트럼의 최대 반치폭 (FWHM) 비교를 통해 진행하였다[37]. Fig. 9(a)의 Raman 스펙트럼에서 추출한 해당 FWHM 값은 재활용 및 원료 h-BN에
대해 각각 14.9 cm-1 및 15.0 cm-1이었으며, 이는 회수된 h-BN은
어떠한 화학/물리적 변성도 없이 원료와 동일한 품질을 의미한다. XPS를 통하여 상기 결과를 확인하였다(Fig. 9(b) 참조). Fig. 9(b)의 XPS결과를 바탕으로 한 Table 1에서 볼 수 있듯이, 회수된 h-BN의 원소 조성은 시작 h-BN과
유사하다. 또한, PHT는 tetrahydrofuran, acetone, NMP, dimethyl sulfoxide,
dimethylformaide를 비롯한 많은 일반적인 유기 용매에 며칠 동안 담갔을 때 용해되지 않았다. 따라서, PHT는 많은 유기 용매에 강한
내성을 나타내므로 산성 조건에서만 분해될 수 있다.
|
Fig. 1 A schematic describing the polycondensation between PDA and formaldehyde. Reproduced from ref. 29 with permission from Elsevier |
|
Fig. 2 ATR-FTIR spectra for the synthesized PHT synthesis. Reproduced from ref. 29 with permission from Elsevier |
|
Fig. 3 Dynamic mechanical analysis (DMA) performed on the PHT up to 150oC at a rate of 3oC/min with a 1 Hz load frequency in air atmosphere. Reproduced from ref. 29 with permission from Elsevier |
|
Fig. 4 Photographs demonstrating that the PHT is processable: (a) the disk shaped PHT sample prepared by pressing the PHT at 120oC and 5 MPa for 30 min in the corresponding mold, (b) the PHT broken into smaller pieces, and (c) remolded PHT sample by pressing the broken PHT pieces at 120oC, 5 MPa for 30 min in the mold. Reproduced from ref. 29 with permission from Elsevier |
|
Fig. 5 (a) Thermal conductivity of the h-BN-PHT composites at various h-BN loadings. Model prediction made using Nielson equation was given in the same plot (dashed black line). (b) Measured values for radial (K//, blue x) and axial (K⊥, red square) thermal conductivities of the h-BNPHT composites at various h-BN loadings. Error bars on both figures indicate standard deviations calculated from three measurements. Reproduced from ref. 29 with permission from Elsevier |
|
Fig. 6 Degree of filler alignment estimated by anisotropy in thermal conductivity as a function of the h-BN loading. Red dotted line corresponds to the perfect h-BN orientation in radial direction of the composite. Reproduced from ref. 29 with permission from Elsevier |
|
Fig. 7 Thermal IR images of the h-BN-PHT composites at various h-BN filler loadings monitored while they were heated at 90oC. Temperature measured at the center of the sample is also given in each image. Reproduced from ref. 29 with permission from Elsevier |
|
Fig. 8 The PHT matrix was depolymerized by immersing the neat matrix (top row) or the composite (bottom row) into the acidic aqueous solution (pH = 2) at room temperature for 1 day. The h-BN was separated by filtering the solution, which the filtered h-BN was thoroughly washed with DI water and acetone followed by vacuum drying. Reproduced from ref. 29 with permission from Elsevier |
|
Fig. 9 (a) Raman spectra comparison between the reference h-BN and the recycled h-BN from the h-BN-PHT composite. Quality evaluation was made by comparing the full width at half maximum of the Raman spectra. Spectra were normalized by the maximum peak intensity at 1364 cm-1 of each spectrum. (b) XPS spectra of the recycled and reference h-BN. They were normalized by the maximum N1s peak intensity of each scan. Reproduced from ref. 29 with permission from Elsevier |
|
Table 1 Estimated elemental compositions of the recycled and reference h-BN based on the XPS spectra shown in Fig. 9(b). Reproduced from ref. 29 with permission from Elsevier |
재활용이 가능하며 열가소성 성질을 지닌 신규 고분자 수지를 개발하고 합성하였다. 이렇게 개발된 수지와 판상형 질화붕소(h-BN)
사이의 계면 친화성이 좋음을 계산과학을 통하여 확인하고 열압기(hot press)를 이용하여 복합소재를 제조하였다. 고분자 수지와 필러사이의 계면
친화성과 함께 복합소재 제조시 발생되는 전단력(shear force)로만으로도 매우 높은 필러 정렬도를 지닌 복합소재를 제조할 수 있었고, 이러한
이유로 복합소재는 최대 13.8 W/mK의 높은 열전도도를 갖는 것을 확인하였다. Nielson 공식을 기반으로 한 모델 예측을 통하여 복합소재의
높은 열전도도가 소재 내에서 높은 정도의 필러 네트워크 형성으로부터 유래되었다고 확증하였다. 또한, 개발된 수지가 화학적으로 분해 가능한 장점을
이용하여 제조된 복합소재로부터 물리/화학적 변성 없이 필러를 회수할 수 있었고 이렇게 회수된 필러는 향후 다양한 신규 복합소재 제조에 재활용이
가능하다.
본 결과물은 교육부와 한국연구재단의 재원으로 지원을 받아 수행된 「대학혁신지원사업」의 연구 결과입니다.
This Article2019; 32(6): 319-326
Published on Dec 31, 2019
Services
Correspondence toDepartment of Chemical Engineering, Konkuk University, Seoul 05029, Korea