Original Article
  • Synthesis of Co3O4 Nanocubes as an Efficient Electrocatalysts for the Oxygen Evolution Reacitons
  • Hyung Wook Choi*, Dong In Jeong**, Shengyuan Wu**, Mohit Kumar**, Bong Kyun Kang***, Woo Seok Yang***, Dae Ho Yoon*,**†

  • * SKKU Advanced Institute of Nanotechnology (SAINT), Sungkyunkwan University, Suwon 16419, Korea
    ** School of Advanced Materials Science & Engineering, Sungkyunkwan University, Suwon 16419, Korea
    *** Nano Materials and Components Research Center, Korea Electronics Technology Institute, Seongnam 13509, Korea

  • 물 분해 과정에서 효율적인 촉매 특성을 보이는 Co3O4 nanocubes 합성
  • 최형욱* · 정동인** · Shengyuan Wu** · Mohit Kumar** · 강봉균*** · 양우석*** · 윤대호*,**†

Abstract

The high efficient water splitting system should involve the reduction of high overpotential value, which was enhanced by the electrocatalytic reaction efficiency of catalysts, during the hydrogen evolution reaction (HER) and the oxygen evolution reaction (OER) reaction, respectively. Among them, transition metal-based compounds (oxides, sulfides, phosphides, and nitrides) are attracting attention as catalyst materials to replace noble metals that are currently commercially available. Herein, we synthesized optimal monodisperse Co3[Co(CN)6]2 PBAs by FESEM, and confirmed crystallinity by XRD and FT-IR, and thermal behavior of PBAs via TG-DTA. Also, we synthesized monodispersed Co3O4 nanocubes by calcination of Co3[Co(CN)6]2 PBAs, confirmed the crystallinity by XRD, and proceeded OER measurement. Finally, the synthesized Co3O4 nanocubes showed a low overpotential of 312 mV at a current density of 10 mA∙cm-2 with a low Tafel plot (96.6 mV∙dec-1).


고효율의 물 분해 시스템은 수소 발생 반응(HER)과 산소 발생 반응(OER) 각각에서의 촉매로 인한 전기화학적 반응에서의 효율로 인해 향상되는 높은 과전압의 감소가 수반되어야 한다. 그 중에서도 전이 금속 기반의 화합물(산화물, 황화물, 인화물, 그리고 질화물)은 현재 상용되고 있는 귀금속을 대체할 촉매 재료로써 주목받고 있다. 본 연구에서, 우리는 FESEM 분석을 통해 최적의 단분산된 Co3[Co(CN)6]2 PBAs를 합성하고 XRD, FT-IR 분석을 통하여 결정성을 확인하고 TG-DTA를 통해 PBAs의 열적 거동을 확인하였다. 그리고 합성된 최적의 Co3[Co(CN)6]2 PBAs를 열처리해서 단분산된 Co3O4 나노 큐브를 합성하였고 XRD를 통해 이의 결정성을 확인하고 OER 측정을 진행하였다. 최종적으로 합성된 Co3O4 나노 큐브는 10 mA∙cm-2의 전류 밀도에서 312 mV의 낮은 과전압과 96.6 mV∙dec-1의 낮은 Tafel slope을 보인다.


Keywords: 금속 유기 구조체(Metal-organic frameworks), Prussian Blue Analogues, Co3[Co(CN)6]2, Co3O4

1. 서 론

최근 차세대 수소와 산소를 생산하는 차세대 에너지 변환 기술로써 물 분해가 각광을 받고 있다. 그 중에서도 반쪽 반응인 산소 발생 반응은 높은 과전압(> 1.23 V)을 넘어야하는 한계를 보이기 때문에 산소 발생 반응의 과전압을 줄이는 것이 물 분해 공정에서의 가장 큰 도전과제로 여겨진다. 이 한계를 극복하기 위해 많은 연구자들이 나노 물질에 대한 연구를 진행하고 있다. 나노 물질은 입자의 크기와 구조를 제어함에 따라 재료의 전기화학적 특성이 변하기 때문에 촉매에 매우 적합한 물질이다[1,2]. 현재까지 금속산화물[3], 황화물[4], 인화물[5], 질화물[6] 등 여러 금속 기반의 나노 재료들이 산소 발생 반응에서 귀금속을 대체할 촉매로써 보고되어 왔다.
그 중에서도 금속 산화물(Co3O4, NiCo2O4, NiFe2O4)은 현재 가장 효율적인 촉매로 알려져 있는 RuO2, IrO2를 대체할 값싸고 풍부한 촉매로 각광받고 있다[7-9]. 하지만 벌크 형태의 Co3O4는 낮은 비표면적으로 인해 전기화학적 특성이 저하되는 특징이 있다. 때문에 많은 연구자들이 Co3O4의 나노구조제어를 통해 전기화학적 특성을 향상시키려고 노력해왔다. Lei Xu와 연구진들은 Ar 플라즈마를 통해 비표면적을 향상시킨 Co3O4 nanosheets를 합성하였고[10], Yan-Ru Liu와 연구진들은 NaBH4 환원법을 통하여 새롭게 환원된 Co3O4 nanoparticles를 합성하였다[11]. 하지만 이 연구들 모두 입자의 크기 및 구조를 제어하여 단분산된 나노 입자를 합성하기엔 어려움이 있다.
본 연구에서는 다양한 조성, 구조, 크기를 가질 수 있는 Metal-organic Frameworks(MOFs) 중 하나인 Co3[Co(CN)6]2 Prussian Blue Analogues(PBAs)를 합성하고 고온에서의 산화반응을 통하여 단분산된 Co3O4 nanocubes를 합성했다. 먼저 수열합성법을 통하여 Co3[Co(CN)6]2 PBAs를 합성하였는데, 이때 pH와 SDBS(Sodiumdodecylbenzene-sulfonate)의 양을 조절하여 약 500 nm 크기의 균일한 나노 큐브를 합성하는데 성공하였다. 이렇게 합성된 모체를 500oC에서 산화시켜 단분산된 높은 결정성을 갖는 Co3O4 nanocubes를 합성하였다. 이렇게 합성된 Co3O4 nanocubes는 10 mA∙cm-2의 전류 밀도에서 312 mV의 낮은 과전압과 96.6 mV dec-1의 낮은 Tafel slope을 보인다.

2. 실험 방법

Cobalt(II) acetate tetrahydrate(reagent grade, Co(CH3COO)2∙ 4H2O, Sigma-Aldrich, USA) 0.8244 mmol, Sodiumdodecylbenzene-sulfonate(SDBS) (technical grade(Aldrich), C18H29NaO3S, Sigma-Aldrich, USA) 1.25 g을 증류수 150 ml에 첨가해 용액 A를 만든다. Potassium hexacyanocobaltate(III)(ACS reagent, ≥97%, C6CoK3N6, Sigma-Aldrich, USA) 0.9012 mmol을 증류수 150 ml에 첨가해 용액 B를 만든다. 그 후, HCl을 통해 용액 A와 B 각각의 pH를 2로 맞춘 후 55oC 오일배스에서 1시간 동안 교반하며 예열한다. 그리고 용액 B를 용액 A에 합친 후 55oC 오일배스에서 2시간 동안 교반한다. 반응이 끝난 후 원심분리기를 통해 에탄올로 여러 번 세척한 후 60oC 오븐에서 12시간 건조시킨 후 증류수 5 ml를 넣고 급속 냉동고에서 냉동시킨 후 -110oC 동결건조기에서 동결 건조를 진행하면 Co3[Co(CN)6]2 PBAs가 완성된다. 이렇게 완성된 PBAs를 box furnace에서 분당 5oC의 승온 속도로 500oC에서 2시간 동안 유지시켜 산화시키면 Co3O4 nanocubes가 합성된다.

3. 결과 및 고찰

나노 입자의 성장에서 가장 중요한 역할을 하는 것은 성장속도와 표면 에너지이다. 나노 입자의 성장속도가 빠를수록 작은 크기의 입자가 형성되고 표면 에너지가 높은 곳에서 우선적으로 성장이 일어나게 된다. 나노 입자 중에서 PBAs nanocubes는 축 방향을 따라 성장하여 큐브 모양을 이루게 되는데 여기에서 pH와 SDBS가 결정적인 역할을 한다. pH는 PBAs가 성장할 때 표면 에너지를 증가시키고 SDBS는 성장속도를 제어하여 큐브가 고르게 성장할 수 있는 시간을 부여해준다[12,13].
Fig. 1(a-c)은 용액의 pH 3, 55oC에서 SDBS의 양(1 g, 1.25 g, 1.5 g)을 다르게 하여 합성한 Co3[Co(CN)6]2 PBAs의 FESEM 결과이다. Fig. 1(a)는 SDBS의 양을 1 g으로 실험을 진행한 결과로, SDBS의 양이 적어 입자가 성장 시간을 충분히 부여 받지못해 분산도가 떨어졌다. Fig. 1(c)는 SDBS의 양을 1.5 g으로 실험을 진행한 결과로, SDBS의 양이 많아 성장속도를 과도하게 제어하여 입자의 크기가 커졌음을 볼 수 있었다. Fig. 1(b)에서는 SDBS를 1.25 g으로 실험을 진행한 결과로 적당한 크기로 단분산된 입자가 합성된 것을 확인할 수 있었다. 이 결과를 통해 우리는 SDBS 1.25 g으로 실험하는 것이 가장 단분산된 Co3[Co(CN)6]2 PBAs를 합성하는 방법으로 결론짓고 더 최적화된 나노 입자를 얻기 위하여 추가적으로 pH 조절 실험을 진행하였다.
Fig. 1(c-e)는 55oC, SDBS 1.25 g의 조건에서 pH(pH 3, pH 1, pH 2)를 다르게 하여 합성한 Co3[Co(CN)6]2 PBAs의 FESEM 결과이다. Fig. 1(c)는 pH를 3으로 맞춰 실험을 진행한 결과로, pH의 영향으로 표면에너지의 차이가 발생해 입자의 표면이 고르지 못한 것을 볼 수 있었다. Fig. 1(d)에서는 pH를 1로 맞춰 실험을 진행하였을 때 표면에너지가 과다하게 증가한 입자들이 과다 성장하여 분산도가 낮게 합성된 것을 볼 수 있었다. Fig. 1(e)에서는 pH를 2로 맞췄을 때 가장 적합한 크기와 단분산된 입자가 합성된 것을 확인할 수 있었다. 이 결과들을 종합해봤을 때, 우리는 SDBS 1.25 g, pH 2로 맞춰 실험하였을 때 약 500 nm 크기의 단분산된 나노 큐브를 합성할 수 있음을 알 수 있었다. 추가적으로, Fig. 1(f) Energy Dispersive X-ray Spectroscopy(EDS) 분석을 통해 Co3[Co(CN)6]2 PBAs의 구성 원소인 Co, C, N의 존재를 모두 확인하였다.
Fig. 2(a)는 합성된 Co3[Co(CN)6]2 PBAs의 Fourier Transform Infrared Spectroscopy(FT-IR) 분석 결과이다. FT-IR spectrum에서 2173 cm-1은 Co2+-CN-Co3+ 결합의 C≡N stretching 이며, 3647, 1614 cm-1은 PBAs에 흡수된 수분에 의해 생긴 O-H, H-O-H 결합을 나타내고, 457 cm-1은 Co-CN stretching을 나타낸다[14]. 이 결과를 통해 Co3[Co(CN)6]2의 화학 조성을 가지는 PBAs의 합성을 확인하였다. Fig. 2(b)는 Co3[Co(CN)6]2 PBAs의 결정성을 확인하기 위해 분석한 XRD 결과이다. 분석 결과, 모든 회절 피크가 Co3[Co(CN)6]2 PBAs(JCPDS card No. 01-077-1161)와 일치하는 것을 볼 수 있었고, 선명하고 날카로운 회절 피크를 통해 훌륭한 결정성을 가지는 Co3[Co(CN)6]2 PBAs 나노 큐브가 합성되었음을 확인하였다.
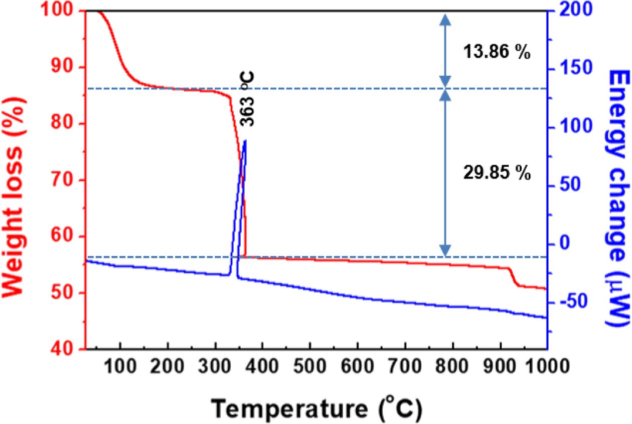
Fig. 3은 Co3[Co(CN)6]2 PBAs의 TG-DTA 결과이다. TG-DTA는 air 분위기에서 상온부터 1000oC까지 분당 5oC의 승온 속도로 진행되었다. 우선 TG 곡선에서 약 200oC까지 PBAs 나노 큐브 내부의 수분 증발로 인해 13.86%의 질량 감소가 발생한 것을 확인할 수 있다. 또, 약 330oC 부근에서 29.85%의 급격한 질량 감소를 확인할 수 있는데, 이는 –CN 그룹이 산소와 만나 연소되어 CO2와 NOx로 산화되는 과정에서의 질량 감소를 나타낸다. DTA 곡선의 363oC 부근에서 산화 과정에서의 흡열 반응이 일어났다는 것을 의미하는 날카로운 피크 또한 이를 뒷받침한다[15]. TG-DTA 결과를 통해 Co3[Co(CN)6]2 PBAs는 활발한 산화 반응을 일으키며, 360oC 이후에는 더 이상의 큰 질량 감소는 없다는 것을 확인할 수 있었다.
Fig. 4(a-c)는 각각 500, 600, 700oC의 온도에서 열처리를 진행한 Co3O4 나노 큐브의 FESEM 분석 결과이다. Co3[Co(CN)6]2 PBAs는 매끈한 표면을 보인 반면에 Co3O4 나노 큐브는 표면이 안쪽으로 패인 형태를 보이는데 이는 –CN 그룹이 연소된 흔적이다[8]. 열처리 온도가 500oC인 Fig. 4(a)에서는 적절한 연소 반응으로 인해 고른 표면을 가진 단분산된 Co3O4를 확인할 수 있지만 열처리 온도를 600, 700oC로 올린 Fig. 4(b-c)에서는 과도한 연소 반응으로 인해 표면이 고르지 못하고 다른 입자와 응집되어 분산도가 떨어지는 모습을 확인할 수 있었다. Fig. 4(d)는 열처리를 진행한 후 Co3O4 나노 큐브의 결정성을 확인하기 위하여 진행한 XRD 분석 결과이다. 500, 600, 700oC 모두 모든 피크가 Co3O4(JCPDS card No. 00-042-1467)과 일치함을 확인할 수 있다. 이를 통해 고온에서 합성된 Co3O4 나노 큐브 또한 훌륭한 결정성을 가짐을 알 수 있었다. 위 결과들을 종합하여 우리는 적절한 온도에서 연소되어 고른 표면을 가진 단분산된 샘플인 500oC 에서 연소된 Co3O4 나노 큐브의 전기화학적 특성 분석을 진행하였다.
Fig. 5(a-b)는 각각 Co3O4 나노 큐브의 OER 측정 결과이다. Fig. 5(a)는 Co3O4 나노 큐브가 OER에서 보이는 polarization curve로, OER 측정 시에 쓰이는 Carbon paper와 비교를 통해 Co3O4의 overpotential 값이 현저히 낮음을 확인할 수 있다. Co3O4 나노 큐브 전극은 10 mA/cm2의 전류 밀도에서 312 mV의 훨씬 더 낮은 과전압을 보인다. 또한, Fig. 5(b)는 OER에서의 전하 운반 거동을 나타내는 Tafel slope로 낮은 값을 가질수록 더 나은 전하 운반 거동을 가진다는 것을 의미하는데, Carbon paper는 278.4 mV∙dec-1의 높은 Tafel slope을 보이는 반면, Co3O4 나노 큐브는 96.6 mV∙dec-1의 낮은 Tafel slope을 보인다. 이는 Co3O4 나노 큐브가 OER에서 훌륭한 전하 운반 거동을 보인다는 것을 의미한다.

Fig. 1

FESEM images of synthesized Co3[Co(CN)6]2 PBAs at 55oC with SDBS (a) 1 g, (b) 1.25 g, (c) 1.5 g (pH 3), (d) pH 1, (e) pH 2 (SDBS 1.25 g), and (f) EDS profile of Co3[Co(CN)6]2 PBAs

Fig. 2

(a) FT-IR spectrum and (b) XRD pattern of Co3[Co(CN)6]2 PBAs with SDBS 1.25 g and pH 2 at 55oC

Fig. 3

TG-DTA curves of synthesized Co3[Co(CN)6]2 PBAs with SDBS 1.25 g and pH 2 at 55oC

Fig. 4

FESEM images of Co3O4 nanocubes at various calcination temperature (a) 500oC, (b) 600oC, (c) 700oC, and (d) XRD patterns of Co3O4 nanocubes after calcination for 2 h in air at 500, 600, and 700oC

Fig. 5

(a) Polarization curve, and (b) Tafel slope of Carbon paper and Co3O4 nanocubes

4. 결 론

본 연구에서는 물 분해의 OER에서 높은 과전압을 극복하기 위한 값싼 촉매 소재로써 PBAs를 이용한 Co3O4 나노 큐브를 합성하고 전기화학적 특성을 분석하는 것을 목적으로 하였다. 먼저 단분산된 Co3[Co(CN)6]2 PBAs를 합성하기 위해 pH, SDBS의 양을 조절하여 FESEM을 통해 각각의 변수에서의 성장 메커니즘을 파악하고 최적의 나노 큐브를 합성하는데 성공했고, XRD, FT-IR 분석을 통해 좋은 결정성을 가진 Co3[Co(CN)6]2 PBAs가 형성되었음을 확인하였다. 또한, TG-DTA를 통해 Co3[Co(CN)6]2 PBAs의 열적 거동을 확인하였고, 이를 참고하여 온도 별(500, 600, 700oC)로 실험을 진행하여 FESEM을 통해 형태를 확인하고, XRD 분석을 통해 최종적으로 Co3O4 나노 큐브가 합성되었음을 확인하였다. 마지막으로, 가장 좋은 분산도와 고른 표면을 가졌던 500oC에서 합성된 Co3O4 나노 큐브의 물 분해 과정에서 촉매로써의 가능성을 확인하기 위하여 OER 측정을 진행하였고, 그 결과 Co3O4 나노 큐브는 10 mA∙cm-2의 전류 밀도에서 312 mV의 낮은 과전압을 보이고, 96.6 mV∙dec-1의 낮은 Tafel slope를 가지는 것을 확인하였다.

후기

본 연구는 2017년도 산업통상자원부의 재원으로 한국에너지기술평가원(KETEP)의 에너지인력양성사업으로 지원받아 수행한 인력양성 성과입니다(No. 20174030201800).
본 논문(출원)은 산업통산자원부, 중소벤처기업부의 월드클래스 300 R&D 사업(S2561932, 멀티나노코팅 및 온도가변형 적외선 차단소재가 적용된 고투과 색변환 데코스마트글라스 제조기술 개발) 지원에 의한 것임.

References
  • 1. Tobias, R., Mehtap, O., and Peter, S., “Electrocatalytic Oxygen Evolution Reaction (OER) on Ru, Ir, and Pt Catalysts: A Comparative Study of Nanoparticles and Bulk Materials,” American Chemical Society Catalysis, Vol. 2, No. 8, 2012, pp. 1765-1772.
  •  
  • 2. Shin, W.J., Kim, Y.J., Jang, H.J., Park, J.H., and Kim, Y.K., “Catalytic Reduction Efficiency Comparison between Porous Au, Pt, and Pd Nanoplates,” Journal of the Korean Society for Composite Materials, Vol. 32, No. 2, 2019, pp. 85-89.
  •  
  • 3. Wang, C., Daimon, H., and Sun, S.H., “Dumbbell-like Pt-Fe3O4 Nanoparticles and Their Enhanced Catalysis for Oxygen Reduction Reaction,” Nano Letters, Vol. 9, No.4, 2009, pp. 1493-1496.
  •  
  • 4. Tiruneh, S.N., Kang, B.K., Kwag, S.H., Bin Humayoun, U., and Yoon, D.H., “Nickel Cobalt Sulfide Anchored in Crumpled and Porous Graphene Framework for Electrochemical Energy Storage,” Current Applied Physics, Vol. 18, 2018, pp. S37-S43.
  •  
  • 5. Liu, M.J., and Li, J.H., “Cobalt Phosphide Hollow Polyhedron as Efficient Bifunctional Electrocatalysts for the Evolution Reaction of Hydrogen and Oxygen,” American Chemical Society Applied Materials & Interfaces, Vol. 8, No. 3, 2016, pp. 2158-2165.
  •  
  • 6. Kang, B.K., Im, S.Y., Lee, J.Y., Kwag, S.H., Kwon, S.B., Tiruneh, S., Kim, M.J., Kim, J.H., Yang, W.S., Lim, B.K., and Yoon, D.H., “In-situ Formation of MOF Derived Mesoporous Co3N/amorphous N-doped Carbon Nanocubes as an Efficient Electrocatalytic Oxygen Evolution Reaction,” Nano Research, Vol. 12, No. 7, 2019, pp. 1605-1611.
  •  
  • 7. Wang, Q., Qiu, X., Hu, W.H., and Huang, Y.M., “Facile Synthesis of Three-dimensional Porous Nitrogen Doped Carbon Supported Co3O4 for Oxygen Reduction Reaction and Oxygen Evolution Reaction,” Materials Letters, Vol. 190, 2017, pp. 169-172.
  •  
  • 8. Kwag, S.H., Lee, Y.H., Kim, M.S., Lee, C.W., Kang, B.K., and Yoon, D.H., “Synthesis and Characterization of Three-dimensional Monodispersed NiO/NiCo2O4 via Ni3[Co(CN)6]2 PBA Nanocubes,” Journal of the Korean Crystal Growth and Crystal Technology, Vol. 27, No. 3, 2017, pp. 110-114.
  •  
  • 9. Kang, B.K., Woo, M.H., Lee, J.Y., Song, Y.H., Wang, Z.L., Guo, Y.N., Yamauchi, Y., Kim, J.H., Lim, B.K., and Yoon, D.H., “Mesoporous Ni-Fe Oxide Multi-composite Hollow Nanocages for Efficient Electrocatalytic Water Oxidation Reactions,” Journal of Materials Chemistry A, Vol. 5, No. 9, 2017, pp. 4320-4324.
  •  
  • 10. Xu, L., Jiang, Q.Q., Xiao, Z.H., Li, X.Y., Huo, J., Wang, S.Y., and Dai, L.M., “Plasma-Engraved Co3O4 Nanosheets with Oxygen Vacancies and High Surface Area for the Oxygen Evolution Reaction,” Angewandte Chemie, Vol. 55, 2016, pp. 5277-5281.
  •  
  • 11. Liu, Y.-R., Han, G.-Q., Li, X., Dong, B., Shang, X., Hu, W.-H., Chai, Y.-M., Liu, Y.-Q., and Liu, C.-G., “A Facile Synthesis of Reduced Co3O4 Nanoparticles with Enhanced Electrocatalytic Activity for Oxygen Evolution,” International Journal of Hydrogen Energy, Vol. 41, 2016, pp. 12976-12982.
  •  
  • 12. Wu, S.K., Shen, X.P., Zhou, H., Zhu, G.X., Wang, R.Y., Ji, Z.Y., Chen, K.M., and Chen, C.J., “Morphological Synthesis of Prussian Blue Analogue Zn3[Fe(CN)6]2∙ xH2O Micro-nanocrystals and Their Excellent Adsorption Performance Toward Methylene Blue,” Journal of Colloid and Interface Science, Vol. 464, 2016, pp. 191-197.
  •  
  • 13. Sun, X.J., Yang, J., Liu, Q.Q., and Cheng, X.N., “Influence of Sodium Dodecyl Benzene Sulfonate (SDBS) on the Morphology and Negative Thermal Expansion Property of ZrW2O8 Powders Synthesized by Hydrothermal Method,” Journal of Alloys and Compounds, Vol. 481, No. 1-2, 2009, pp. 668-672.
  •  
  • 14. Carvalho, C., Silva, A., Macedo, L., Luz, R., Neto, J., Fhilho, U. and Cantanhêde, W., “New Hybrid Nanomaterial Based on Self-Assembly of cyclodextrins and Cobalt Prussian Blue Analogue Nanocubes,” International Journal of Molecular Sciences, Vol. 16, 2015, pp. 14594-14607.
  •  
  • 15. Huang, G., Zhang, L.L., Zhang, F.F., and Wang, L.M., “Metal-organic Framework Derived Fe2O3@NiCo2O4 Porous Nanocages as Anode Materials for Li-ion Batteries,” Nanoscale, Vol. 6, 2014, pp. 5509-5515.
  •  

This Article

Correspondence to

  • Dae Ho Yoon
  • * SKKU Advanced Institute of Nanotechnology (SAINT), Sungkyunkwan University, Suwon 16419, Korea
    ** School of Advanced Materials Science & Engineering, Sungkyunkwan University, Suwon 16419, Korea

  • E-mail: dhyoon@skku.edu