Seunghyun Cho*1, Bumyong Yoon*1, Sanghyun Lee**,***, Kyoung Min Hong****, Sang Hyun Lee****, Jonghwan Suhr*,**†
* Department of Polymer Science and Engineering, Sungkyunkwan University
** School of Mechanical Engineering, Sungkyunkwan University
*** Research & Development Division, Hyundai Motor Company
**** TPE Development Team, Hwaseung Material
조승현*1 ·윤범용*1 ·이상현**,***·홍경민****·이상현****·서종환*,**†
This article is an open access article distributed under the terms of the Creative Commons Attribution Non-Commercial License (http://creativecommons.org/licenses/by-nc/4.0) which permits unrestricted non-commercial use, distribution, and reproduction in any medium, provided the original work is properly cited.
Due to enormous market growing of electric vehicles without combustion engine, reducing unwanted BSR (buzz, squeak, and rattle) noise is highly demanded for vehicle quality and performance. Particularly, innerbelt weatherstrips which not only block wind noise, rain, and dust from outside, but also reduce noise and vibration of door glass and vehicle are required to exhibit high damping properties for improved BSR performance of the vehicle. Thermoplastic elastomers (TPEs), which can be recycled and have lighter weight than thermoset elastomers, are receiving much attention for weatherstrip material, but TPEs exhibit low material damping and compression set causing frictional noise and vibration between the door glass and the weatherstrip. In this study, high damping EPDM (ethylene-propylene-diene monomer)/PP (polypropylene) thermoplastic vulcanizates (TPV) were investigated by varying EPDM/PP ratio and ENB (ethylidene norbornene) fraction in EPDM. Viscoelastic properties of TPV materials were characterized by assuming that the material damping is directly related to the viscoelasticity. The optimum material damping factor (tanδ peak 0.611) was achieved with low PP ratio (14 wt%) and high ENB fraction (8.9 wt%), which was increased by 140% compared to the reference (tanδ 0.254). The improved damping is believed due to high fraction of flexible EPDM chains and higher interfacial slippage area of EPDM particles generated by increasing ENB fraction in EPDM. The stick-slip test was conducted to characterize frictional noise and vibration of the TPV weatherstrip. With improved TPV material damping, the acceleration peak of frictional vibration decreased by about 57.9%. This finding can not only improve BSR performance of electric vehicles by designing material damping of weatherstrips but also contribute to various structural applications such as urban air mobility or aircrafts, which require lightweight and high damping properties
전기차의 수요 및 보급이 확대됨에 따라 차량 내 이음(buzz, squeak, rattle, BSR) 개선에 대한 요구가 커지고 있다. 이에 풍절음, 도어 글라스 및 차량 진동을 차단하는 인너벨트 웨더스트립(innerbelt weatherstrip)의 댐핑(damping) 특성 향상을 통해 BSR을 저감하는 기술 개발이 필수적이다. 기존 열경화성(thermoset) 탄성체 대비 가볍고 재활용이 가능한 열가소성(thermoplastic) 탄성체가 주목을 받고 있지만 낮은 소재 댐핑과 영구압축줄음률(compression set)로 인해 도어 글라스와 웨더스트립 간 마찰 소음을 발생하는 문제가 있다. 고분자 댐핑 특성은 점탄성(viscoelastic)에 좌우되므로, 본 연구에서는 인너벨트 웨더스트립과 도어 글라스 간 마찰 소음을 개선하기 위해 EPDM (ethylene-propylene-diene monomer)/PP (polypropylene) thermoplastic vulcanizates (TPV)의 재료설계인자(EPDM/PP 비율, EPDM 내 ENB 함량)에 따른 점탄성 분석을 통해 소재 댐핑 특성을 평가하였다. EPDM/PP 비율에 따른 분석을 통해 PP 비율이 낮을수록 소재가 연화되고, 탄성회복력(resilience)이 증가하여 저장탄성률(storage modulus)은 10.8% 감소하고 댐핑 특성을 의미하는 감쇠계수(tanδ)는 88.2% 증가함을 확인하였다. 또한 EPDM 내 ENB 함량이 높을수록 소재의 가교밀도(crosslink density)가 증가하지만, 동적가교(dynamic vulcanizate) 과정 중 PP에 분산된 EPDM particle의 크기가 감소한다. 이로 인해 증가된 EPDM/PP 계면 간 면적 증가로 인해 계면 미끄러짐에서 기인한 손실탄성률(loss modulus)이 24.7% 증가하여 댐핑 특성이 향상되었다. 재료설계인자에 따른 물성 분석을 바탕으로 최적 소재(낮은 PP 비율(14 wt%), 높은 ENB 함량 (8.9 wt%))를 배합한 결과 소재 댐핑 특성(tanδ peak)은 기존 소재(PP27, EPDM/PP 30/27, ENB content 5.7 wt%) 대비 140% 증가하여 재료설계인자에 따라 댐핑 특성을 제어할 수 있음을 확인하였다. 설계된 소재의 글라스 마찰 소음 개선 효과를 확인하기 위해 stick-slip 시험을 통해 마찰 소음을 평가하였다. 소재 댐핑 특성이 향상됨에 따라 마찰 진동의 가속도 peak가 약 57.9% 감소하였다. 이러한 결과로부터 재료설계인자에 따른 소재 댐핑 특성 향상을 통해 인너벨트 웨더스트립의 글라스 마찰 소음을 개선할 수 있음을 확인하였으며, 향후 소재 재료설계인자에 따른 물성 제어를 통해 부품의 요구 성능에 맞는 다양한 재료설계에 활용할 수 있을 것으로 기대된다
Keywords: 인너벨트 웨더스트립(Innerbelt Weatherstrip), 열가소성 탄성체(Thermoplastic Elastomer), 점탄성(Viscoelastic Properties), 마찰소음(Friction Noise)
인너벨트 웨더스트립(innerbelt weatherstrip)은 도어 글라스와 도어 트림 사이에 위치하여 차체 내부로의 비, 먼지 등 이물질의 유입을 방지함과 동시에 외부로부터의 풍절음, 도어 글라스 및 차량의 진동을 차단하는 역할을 한다[1,2].
인너벨트 웨더스트립은 우수한 씰링(sealing) 성능과 더불어 상대 부품과의 접촉 시 영구압축줄음율(compression set)이 작아야 하며, 소음 및 진동 차단을 위해 높은 차음 및 방진 성능이 필요하여 자동차의 감성 품질과 밀접한 관련이 있다[2].
이와 더불어 현재 배터리와 전기 모터로 구동되는 전기 자동차의 수요 및 보급이 확대되고 있다. 전기 자동차는 높은 에너지 효율을 가지는 장점과 더불어 전기 모터로 구동하기 때문에 큰 엔진 소음을 발생시키는 내연기관 자동차 대비 소음 진동 측면에서도 강점을 가지고 있다. 하지만 엔진 소음의 마스킹(masking) 효과가 사라짐에 따라 내연기관 자동차에서 큰 기여도를 가지지 않았던 이음(buzz, squeak, rattle, BSR)이 부각되고 있다. 인너벨트 웨더스트립은 도어 트림, 도어 글라스 등의 부품들과 맞닿아 있기 때문에 소음 및 진동 차단 성능을 확보하여 BSR이 발생하지 않도록 하는 것이 중요하다.
인너벨트 웨더스트립의 소재는 EPDM과 연질 PVC가 주로 사용되며, 현재는 친환경 및 경량화의 장점이 있는 열가소성 탄성체(thermoplastic elastomer, TPE)의 사용이 증가하고 있다. 열가소성 탄성체는 고무 탄성을 나타냄과 동시에 열가소성으로 가공이 용이하다는 장점이 있는 재료로, 자동차 부품, 호스, 튜브 등의 응용분야에서 기존 가황고무나 연질 플라스틱을 대체하고 있다. 여러 열가소성 탄성체 중 TPV (thermoplastic vulcanizates)는 열경화성 탄성체와 열가소성 수지의 블렌드로, 동적 가교(dynamic vulcanizate)를 통해 탄성체를 particle 형태로 분포 및 분산시킨다[3]. 다른 TPE 소재 대비 우수한 고온물성, 충격강도, 탄성률, 영구변형율을 가져 인너벨트 웨더스트립 소재로 사용되고 있다. 하지만 TPV는 열가소성 수지의 도입으로 기존 가황 고무 대비 낮은 소재 댐핑(damping) 특성을 가져 인너벨트 웨더스트립에 적용했을 때 도어 글라스 승하강에 의한 마찰 소음을 유발하는 문제가 있다.
소재 댐핑 특성은 소재에 에너지가 가해졌을 때 분자 사슬 간 마찰에 의해 열에너지의 형태로 소산되는 특성을 의미한다. 이러한 댐핑 특성은 점탄성 소재의 점성 부분에 의해 나타나므로, 점탄성에 따라 댐핑 특성이 결정된다. 점탄성에 의한 소재 댐핑은 손실계수(tanδ)로 나타내며, 이는 각각 소재의 탄성과 점성을 의미하는 저장탄성률(storage modulus), 손실탄성률(loss modulus)의 비로 계산된다[4].
본 연구에서는 인너벨트 웨더스트립의 소재로 사용되는 TPV의 낮은 댐핑 특성을 개선하고자 TPV의 재료설계인자를 선정하고, 이에 따른 점탄성 분석을 통해 소재 댐핑 특성을 정량 분석하였다. 이를 바탕으로 개선 소재를 설계하여 기존 소재 대비 마찰 소음의 저감효과를 확인하였다.
2.1 재료 및 재료설계인자
본 연구에서 사용된 TPV는 EPDM/PP TPV이며, EPDM (ethylene-propylene-diene monomer)은 금호폴리켐㈜에서 공급받은 KEP-281F, KEP-2380, KEP-2480을 사용하였다. EPDM과 블렌드하여 제조된 열가소성 탄성체의 matrix인 PP (polypropylene)는 ㈜대한유화에서 공급받은 BP2000를 사용하였다. EPDM/PP TPV의 점탄성에 영향을 줄 수 있는 EDPM과 PP의 재료 설계인자는 EPDM/PP 비율, EPDM 결정화도, EPDM 가교 밀도, EPDM 분자량 분포, PP 결정화도, 가교제 함량, Filler 함량, process oil 함량 등이 있다. 본 연구에서는 앞서 언급한 설계인자들 중 주요한 설계인자로 EPDM/PP 비율, EPDM 내 ENB 함량을 선정하였고, 이에 대한 분석을 진행하였다.
2.1.1 EPDM/PP 비율
EPDM/PP의 비율의 영향을 분석하기 위해 Table 1과 같이 3가지 비율로 배합하였다. EPDM/PP의 비율에 따른 세가지 샘플 PP14, PP21, PP27은 각각 Shore A 경도 60, 70, 80을 의미하며, 기존 소재(PP27)의 EPDM/PP 비율(EPDM/PP 30/27)을 기준으로 PP의 비율을 낮춘 것이다.
2.1.2 EPDM 내 ENB (ethylidene norbornene) 함량
ENB는 EPDM monomer의 구성성분인 diene의 일종으로, 가교제와 반응하여 가교를 형성하게 된다. 본 연구에서는 ENB 함량에 따른 가교도 변화의 영향을 분석하기 위해 Table 2와 같이 배합을 진행하였다.
2.2 제조 방법
EPDM/PP 열가소성 탄성체는 트윈 스크류 압출기(KTX-73, KOBE)를 이용하여 제조되었다. EPDM은 압출기 내에서 배합 소재들과 혼합되는 동시에 가교반응이 진행되는 동적 가교가 진행되며, 가교 후 PP에 particle의 형태로 분포 및 분산된다. 제조된 조성물들은 사출 성형기(PR-120, 동신유압)를 이용하여 2 mm 두께의 시트로 제작된 후, 물성 평가를 위해 각종 시편으로 가공되었다.
2.3 특성 분석
2.3.1 동적기계적분석(dynamic mechanical analysis, DMA)
제조된 EPDM/PP TPV의 동적 점탄성 분석을 통한 댐핑 특성 평가를 위해 DMA Q850 (TA instruments)을 이용하여 동적기계적분석을 수행하였다. Temperature-ramp test는 -70~80oC의 온도범위, 3oC/min의 승온 속도로 10 Hz에서 진행하였고, frequency-sweep test는 25oC에서 1~10 Hz의 범위로 진행하였다. 변형률 조건은 pre-strain 3%, dynamic strain 0.2%의 조건에서 진행했다. Dynamic strain은 strain-sweep test를 통해 선형 점탄성 구간(linear viscoelastic region, LVR) 내의 조건으로 선정하였다.
2.3.2 Stick-slip 시험
EPDM/PP TPV의 마찰 소음을 확인하기 위해 SSP-04 (Zins instrument)를 이용하여 stick-slip 시험을 수행하였다. 마찰재는 EPDM/PP TPV 표면에 도어 글라스와의 마찰을 감소시키는 nylon 소재의 플로킹(flocking)을 부착하여 실제 인너벨트 웨더스트립의 마찰 조건을 고려하였다. 피마찰재는 도어 글라스이며, TPV 시편에 5 N의 수직하중을 가한 뒤, 3 mm/s의 속도로 마찰시켜 stick-slip 현상을 관찰하였다.
|
Table 1 Composition of EPDM and PP |
a : Sample code indicates PP composition (wt%). |
3.1 동적기계적분석
3.1.1 Temperature-ramp test
Fig. 1~4의 temperature-ramp test는 TPV 소재의 온도에 따른 동적 점탄성 변화를 나타낸다. 앞서 언급한 바와 같이 댐핑 특성은 에너지를 소산시키는 능력을 의미하므로, EDPM/PP TPV의 tanδ를 향상시키면 인너벨트 웨더스트립의 마찰 소음을 개선을 기대할 수 있다.
EPDM/PP 비율에 따른 -70~80oC의 온도구간에서의 temperature-ramp test 결과를 Fig. 1, 2에 타나내었다. Fig. 1에서 PP 비율이 증가함에 따라 전체 온도 구간에서 저장탄성률은 증가는 경향을 보이며 특히, 유리상 영역(glassy region)에서 PP27 (2.49 GPa)이 PP14 (2.22 GPa)대비 12.1% 높은 저장탄성률을 나타내었다. 이는 EPDM 대비 고분자 사슬의 강직성(rigidity)이 크고 반결정성 고분자인 PP 비율이 높아짐에 따라 더 높은 탄성을 나타내기 때문으로 판단된다[5].
손실탄성률의 peak는 PP 비율이 낮을수록 높은 값을 보였으나(PP14 (288 MPa) 대비 PP27 (267 MPa) 7.3% 감소), -20~0oC에서는 PP 비율이 높을수록 높은 값을 나타내었다. Temperature-ramp test의 손실탄성률 그래프에서 peak는 EPDM의 유리전이(glass transition)을 나타내며, -20~0oC는 PP의 유리전이를 의미한다. 따라서 각각의 유리전이 영역에서 단위부피당 유리전이 되는 EPDM 또는 PP 양의 증가로 인해 내부 chain 간 미끄러짐에 의한 마찰 에너지 손실이 커져 손실탄성률이 증가한 것으로 판단된다.
손실 계수(tanδ)는 Fig. 2에 나타냈으며, 두 개의 peak를 관찰할 수 있고, 이는 각각 EPDM(약 -35oC)과 PP(약 10oC)의 유리전이온도(Tg)를 의미한다[6,7]. EPDM의 Tg 영역에서 tanδ Peak 값은 EPDM의 비율이 높을수록 큰 값을 나타내었으며(PP27 (0.254) 대비 PP14 (0.478) 88.2% 증가), PP의 Tg 영역에서 tanδ 값은 세가지 샘플 모두 유사한 값을 나타내었다. EPDM의 Tg 영역에서 저장탄성률은 PP 비율과 비례, 손실탄성률은 PP 비율과 반비례의 경향을 보인다. tanδ는 저장탄성률과 손실탄성률의 비로 나타내므로, 저장 탄성률과 손실탄성률이 서로 반대의 경향을 나타내는 EPDM의 Tg 영역에서 EPDM 비율에 따라 tanδ 값이 비례하여 증가한 것으로 판단된다. PP 비율이 증가할수록 PP의 Tg 영역에서는 저장탄성률과 손실탄성률 모두 증가하는 경향을 나타냈기 때문에 세가지 샘플 모두 유사한 값을 나타냈다.
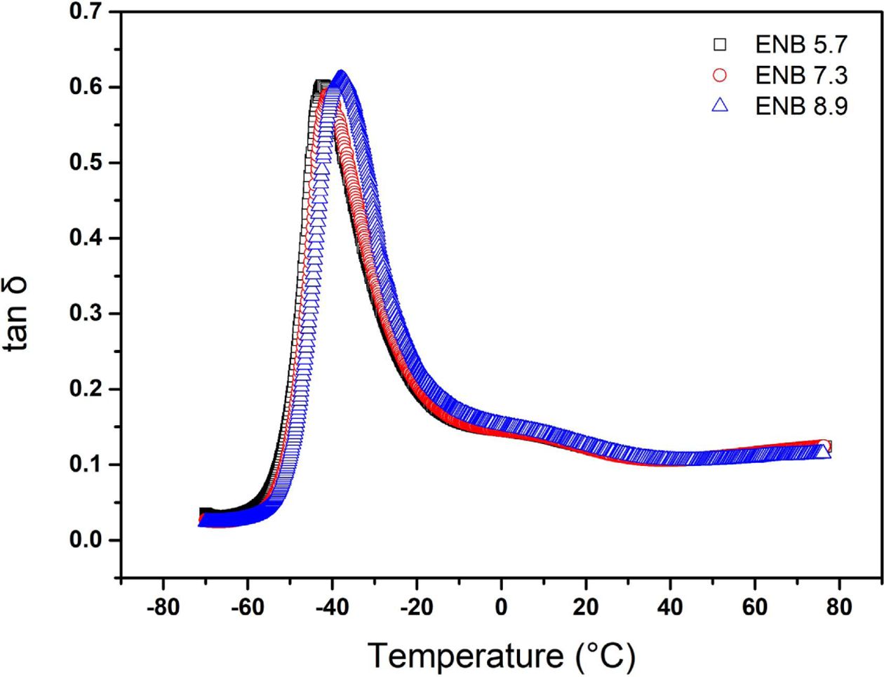
EPDM 내 ENB 함량에 따른 -70~80oC에서의 temperature-ramp test 결과는 Fig. 3~4과 같다. 저장탄성률은 ENB 함량에 비례하여 증가하는 경향을 나타내었다. 유리상 영역에서 나타나는 저장탄성률의 최댓값은 ENB5.7 (1.86 GPa) 대비 ENB8.9 (2.20 GPa)가 18.3% 높은 값을 나타내었다. 이는 ENB 함량이 증가함에 따라 EPDM 가교밀도가 증가하고, 이로 인해 TPV 소재의 경도가 증가했기 때문으로 판단된다[8].
Fig. 3에서 ENB 함량 증가에 따른 손실탄성률의 peak는 증가하는 경향을 나타내었다(ENB5.7 (259 MPa) 대비 ENB8.9 (323 MPa) 24.7% 증가). 일반적으로 탄성체의 가교밀도가 증가할 때 형성된 cross-linked network가 분자의 mobility를 감소시킨다. 이는 분자 간 마찰에 의한 에너지 손실의 감소로 이어져 손실탄성률의 Peak는 감소하는 경향을 보인다[8]. 그러나 EPDM/PP TPV는 EPDM이 직경이 0.5~5 μm인 particle 상태로 PP에 분산된 morphology를 가지며[6,8,9], EPDM 가교밀도가 증가함에 따라 EPDM particle의 평균 직경이 감소한다[10]. EPDM의 함량이 동일할 때, particle의 평균 직경이 작아지면 EPDM의 비표면적은 증가하며, 이는 곧 EPDM과 PP 간 계면 면적 증가를 의미한다. 따라서 EPDM의 가교밀도가 증가하면, 유리전이 상태에서 자유부피(free volume) 증가로 mobility가 생긴 chain 말단부가 EPDM/PP 계면에서 더 많은 마찰에 의한 에너지를 소산시키므로 이로 인해 ENB 함량이 큰 TPV의 손실탄성률이 증가한 것으로 판단된다.
Fig. 4의 EPDM 가교밀도에 따른 손실계수(tanδ) 그래프에서 EPDM의 Tg는 EPDM의 가교밀도와 비례하게 증가한다(ENB5.7, ENB7.3, ENB8.9의 Tg는 각각 -41.2oC, -39.0oC, -38.0oC). 이는 형성된 cross-link network가 EPDM chain의 mobility를 감소시키므로 EPDM 고분자 사슬의 운동성을 확보하기 위해 더 큰 열에너지가 필요하기 때문으로 판단된다. tanδ peak 값은 저장탄성률과 손실탄성률 모두 증가하는 경향을 나타내어 세가지 샘플 모두 유사한 값을 나타내었으나, ENB 함량이 가장 높은 ENB8.9가 0.611로 가장 높은 소재 댐핑 특성을 나타내었다.
3.1.2 Frequency-sweep test
인너벨트 웨더스트립의 작동 환경에서의 점탄성 분석을 위해 frequency-sweep test를 진행하였다. 인너벨트 웨더스트립은 차량 내부에 위치하여 운행 조건에서 차량의 실내는 상온으로 유지되므로 24oC에서 1~10 Hz의 주파수 범위로 점탄성을 측정하였다.
Fig. 5의 결과에서 tanδ는 PP27이 10 Hz에서 0.100으로 가장 낮은 값을 나타냈고, PP14가 0.106으로 PP27 대비 약 6.0% 높은 값을 나타내었다. PP14의 EPDM/PP 비율(35/14 wt%/wt%)에서 EPDM의 ENB 함량을 높였을 때(ENB8.9) tanδ는 0.110으로 3.77% 증가하여(Fig. 6) EPDM/PP TPV의 소재 댐핑 특성은 10 Hz에서 기존 소재(PP27, tanδ 0.10) 대비 개선소재(ENB8.9, 0.11) 10% 증가됨을 확인하였다.
따라서 EPDM/PP TPV의 재료설계인자에 따라 소재 댐핑(tanδ)을 증가시킬 수 있음을 확인하였으며, PP 비율이 낮고, ENB 함량이 높은 EPDM을 사용하는 것이 인너벨트 웨더스트립의 글라스 승강이음에 유리할 것으로 판단하였다.
3.2 Stick-slip 시험
인너벨트 웨더스트립과 도어 글라스 간의 마찰소음은 stick-slip 현상에 의해 발생한다. Stick-slip은 상대운동을 하는 두 물체의 접촉면에서 발생하는 마찰력의 변화에 의한 stick과 slip이 반복적으로 일어나는 현상을 의미한다. stick-slip에 의한 소음은 정지마찰에서 운동마찰로 전이하는 과정에서 발생한다.
앞서 점탄성 분석을 통해 확인한 EPDM/PP TPV 소재 댐핑 증가에 따른 인너벨트 웨더스트립 글라스 마찰 소음 개선을 확인하기 위해 인너벨트 웨더스트립과 도어 글라스 간의 마찰에 의한 소음 및 진동을 측정하는 stick-slip 시험을 진행하였다. 시험 결과는 stick-slip이 일어날 때 진동의 가속도를 측정하였으며, 결과는 Fig. 7에 나타내었다.
소재 댐핑이 증가할 때 stick-slip의 가속도 peak가 작아지는 것을 알 수 있다. PP27, PP14, ENB8.9는 각각 1.59 g, 1.11 g, 0.67 g의 가속도(1 g = 9.81 m/s2)를 가지며, 최적 개선안인 ENB8.9는 기존소재 PP27 대비 진동 가속도가 약 57.9% 감소하였다. 식 (1)의 운동방정식에서 가속도(x'')와 반비례 관계를 가지는 댐핑 계수(c)는 소재 댐핑(tanδ)에 비례하며, stick-slip은 저장된 에너지가 진동 또는 소리의 형태로 방출되는 현상이다. 따라서 에너지를 저장하는 능력을 나타내는 저장탄성률이 작을수록, 에너지를 손실시키는 능력을 나타내는 손실탄성률이 클수록 진동이 감소하여 stick-slip이 발생할 때 빠르게 평형상태에 도달하기 때문에 소재 댐핑 특성이 증가할수록 stick-slip 가속도는 감소하는 것으로 판단된다.

여기서 m은 질량, x''은 가속도, c는 댐핑 계수, x’는 속도, k는 강성, x는 변위, F는 힘을 나타낸다.
|
Fig. 1 Temperature-dependent storage and loss modulus curves of the EPDM/PP TPV with three different EPDM/PP ratio |
|
Fig. 2 Temperature-dependent tanδ curves of the EPDM/PP TPV with three different EPDM/PP ratio |
|
Fig. 3 Temperature-dependent storage and loss modulus curves of the EPDM/PP TPV with three different ENB content |
|
Fig. 4 Temperature-dependent tanδ curves of the EPDM/PP TPV with three different ENB content |
|
Fig. 5 Frequency-dependent tanδ curves of the EPDM/PP TPV with three different EPDM/PP ratio |
|
Fig. 6 Frequency-dependent tanδ curves of the EPDM/PP TPV with three different ENB content |
|
Fig. 7 Acceleration graphs of PP27, PP14 and ENB8.9 |
본 연구에서는 인너벨트 웨더스트립과 도어 글라스 간의 마찰에 의한 소음을 개선하기 위해 EPDM/PP TPV의 재료설계인자를 선정하고, 이에 따른 점탄성 분석을 통한 소재 댐핑 특성을 평가하였다. 분석 결과를 바탕으로 최적의 소재를 도출하고 stick-slip 시험을 통해 마찰 소음 평가를 진행하여 소재 댐핑 특성과 마찰 소음 간의 상관관계를 분석하였다.
선정된 재료설계인자는 EPDM/PP 비율, EPDM 내 ENB 함량이며, 이에 따른 점탄성 변화를 분석하기 위해 트윈 스크류 압출기를 이용해 컴파운딩하고 사출기를 이용해 시편을 제작하였다. 제작한 시편을 이용하여 DMA를 통해 점탄성을 분석하였다.
EPDM/PP 비율에 따른 DMA temperature-ramp test 결과 PP의 비율이 낮아짐에 따라 저장 탄성율은 낮아지고, 손실 탄성율은 높아져 손실 계수(tanδ)의 peak은 높아지는 것을 확인하였다. -70~80oC, 10 Hz에서 PP14의 tanδ peak는 0.478로 PP27 (tanδ 0.254) 대비 88.2% 증가하였다.
EPDM 내 ENB 함량에 따른 temperature-ramp test 결과는 ENB 함량이 증가할 때 증가된 cross-linked network의 영향으로 소재 강직성이 증가하여 저장탄성률이 증가하는 경향을 보였다. 손실탄성률 또한 증가하는 경향을 보였으며, EPDM의 가교밀도가 증가할 때 EPDM particle의 size가 작아지고 PP와의 계면면적이 증가하여 계면에서의 분자 간 마찰에 의한 에너지 손실이 증가했기 때문이라 판단된다. 손실 계수(tanδ)는 저장탄성률과 손실탄성률 모두 증가하는 경향을 나타내 비슷한 값을 나타내었지만, ENB 함량이 가장 높은 ENB8.9의 tanδ peak가 -70~80oC, 10 Hz에서 0.611로 가장 높은 tanδ를 나타내었다.
인너벨트 웨더스트립의 사용 온도인 24oC에서의 소재 댐핑을 분석하기 위해 frequency-sweep test를 진행하였다. 1~10 Hz의 시험 조건에서 PP27이 가장 낮은 tanδ을 나타내었고, PP14, ENB8.9의 순서로 높은 tanδ를 타나내어 10 Hz에서 PP27(tanδ 0.100)대비 ENB8.9(tanδ 0.110)가 약 10% 높은 소재 댐핑 특성을 가지는 것을 확인하였다. 따라서 EPDM/PP TPV의 재료설계를 통해 소재 댐핑을 증가시킬 수 있음을 확인하였다.
EPDM/PP TPV의 소재 댐핑 증가에 따라 마찰 소음 개선 효과를 확인하기 위해 마찰 소음을 평가하였다. 마찰 시험 결과 소재 댐핑이 증가함에 따라 마찰 가속도의 평균 peak 값이 낮아지는 것을 확인하였으며, tanδ가 가장 높았던 ENB8.9의 진동가속도는 PP27 대비 약 57.9% 감소하였다. 이는 소재 댐핑 특성이 증가함에 따라 stick-slip이 발생할 때 빠르게 평형상태에 도달하기 때문으로 판단된다.
본 연구에서는 EPDM/PP TPV의 재료설계인자 분석을 바탕으로 소재 댐핑 특성을 향상시킨(tanδ peak 140% 증가) 최적의 recipe (EPDM/PP 35/14, ENB content 8.9 wt%)를 도출하였으며, 마찰 소음 평가를 통해 인너벨트 웨더스트립과 도어 글라스 간의 마찰 소음을 개선할 수 있음을 확인하였다(진동 가속도 peak 57.9% 감소). 본 연구의 결과를 통해 증가하고 있는 전기차 BSR 개선 요구에 맞춰 감성품질 향상에 기여할 수 있을 것으로 판단된다. 뿐만 아니라 소재의 재료설계인자에 따른 물성을 제어하여 다양한 부품의 요구 성능에 맞는 재료설계에 활용이 가능할 것으로 기대된다.
본 연구는 현대자동차가 지원하는 연구과제로 수행된 것이며, 지원에 대해 진심으로 감사드립니다.
This Article2021; 34(3): 192-198
Published on Jun 30, 2021
Services
Correspondence to* Department of Polymer Science and Engineering, Sungkyunkwan University
** School of Mechanical Engineering, Sungkyunkwan University