Jaeho Yun*, Hanjun Kim*, Jae Min Lee**, Jong Hee Kim***, Seung Goo Lee**†
* Propulsion Technology Team, Daejeon Plant, Hanwha Corporation, Daejeon, 34060, Korea
** Department of Organic Materials Engineering, Chungnam National University, Daejeon 34134, Korea
*** Research Institute for Applied Chemistry and Biological Engineering, Chungnam National University, Daejeon 34134, Korea
윤재호*· 김한준*· 이재민**· 김종희***· 이승구**†
This article is an open access article distributed under the terms of the Creative Commons Attribution Non-Commercial License (http://creativecommons.org/licenses/by-nc/4.0) which permits unrestricted non-commercial use, distribution, and reproduction in any medium, provided the original work is properly cited.
This study investigated the effect of addition of zirconia(zirconium oxide) powder on the curing behavior of phenolic resins. The heating rate controlled curing and isothermal curing behaviors of the phenol resin according to the content of the zirconia powder were analyzed. The viscosity and thermal decomposition characteristics of the phenolic resin with the zirconia content were also examind. From the DSC analysis, the degree of cure and the rate of cure were obtained. Finally, the activation energy for the cure reaction were calculated from the DSC data of the zirconia added phenolic resin. As a found, the higher the zirconia content, the longer the curing was delayed and the greater the activation energy required for curing. Additionally, the TGA result that as the content of zirconia increased, less weight loss was observed. The surface tackiness of the Carbon/Phenol prepreg was partially changed according to the zirconia content, but had no significant effect.
본 연구는 Zirconia(zirconium oxide) 입자가 페놀수지 경화거동에 미치는 영향을 조사하였다. Zirconia 입자의 함량에 따른 페놀수지의 승온 및 등온 경화 거동을 분석하였다. Zirconia 함량을 달리한 페놀수지의 점도 및 열분해 특성을 조사하였다. DSC 분석으로부터 경화도와 경화율을 구하였다. 마지막으로 Zirconia 입자가 첨가된 페놀수지의 DSC 데이터로부터 경화 반응에 대한 활성화 에너지를 계산하였다. 그 결과 zirconia 함량이 높을수록 경화가 지연되고 경화에 필요한 활성화에너지가 더 커지는 경향이 나타났다. 또한 TGA를 이용한 열분해 분석 결과 Zirconia의 함량이 증가할수록 더 적은 중량감소가 관찰됐다. Carbon/Phenol 프리프레그의 표면 점착성은 Zirconia 함량에 따라 부분적으로 변화하였으나 유의한 영향은 없었다
Keywords: 페놀수지(Phenolic resin), 산화물 첨가제(Oxide additive), 프리프레그(Prepreg), 경화반응(Cure reaction), 활성화에너지(Activation energy
페놀수지는 최초의 열경화성 고분자 수지로 페놀과 포름알데히드의 탈수 축합반응에 의해 얻어지는 수지의 총칭이다. 제조 조건에 따라 노볼락형 페놀수지와 레졸형 페놀수지로 나눌 수 있다[1]. 노볼락형 수지의 경우 페놀/포름알데히드의 비가 1 이상으로 산 촉매 하에서 제조되고, 가열만으론 경화가 이뤄지지 않아 HMTA(hexamethylene tetramine) 등의 경화제를 사용해야 한다. 반면 레졸형 수지의 경우 페놀/포름알데히드의 비가 1 이하로 알칼리 촉매 하에서 제조하며 가열하는 것만으로 물과 포름알데히드가 방출되어 메틸 가교 고분자가 된다[2,3].
페놀수지의 경우 다른 수지에 비해 기계적 성질은 뛰어나지 않으나 내열성, 전기절연성이 우수하여 다양한 산업에 널리 이용된다. 특히 고온에서 감량이 적고 열안정성이 우수할 뿐 아니라 난연성이 뛰어나 연소시 연기 발생 또한 적어 차량이나 항공기의 내외장재에 적합한 수지이다. 그러나 항공산업 혹은 방위산업의 특정 부품에 적용하기 위해서는 더 향상된 열안정성을 부여할 필요가 있다. 이를 위해 고분자의 구조를 변경하거나 첨가제 조성에서 고온 내열성 무기물을 첨가하여 내열성을 향상시킬 수 있다. 비용이 적게 들고 빠르게 적용이 가능한 고온 내열성 첨가물을 혼합시키는 후자의 방법이 공정이 용이하여 상업적으로 사용되고 있다[4].
열경화성 수지 복합재료의 물성은 경화도(degree of cure), 경화속도(rate of cure) 등에 크게 영향을 받는다[5]. 이와 같은 경화반응에 영향을 미치는 인자는 재료의 최종 물성을 결정하는 중요하므로 경화거동에 대한 고찰은 필수적이다. 따라서 본 논문에서는 페놀수지에 고온 내열성 무기물인 zirconia(zirconium oxide)를 첨가하였을 때 페놀수지의 내열성 및 경화거동에 미치는 영향을 분석하고자 하였다.
2.1 실험 재료
페놀수지는 Kolon Industry의 KPD-520F를 이용하였으며, 고온 내열성 무기물 첨가제로 Sigma-Aldrich사의 zirconia (zirconium oxide; ZrO2, particle size ~5.0 μm, 99% pure)를 사용하였다. 탄소섬유 프리프레그 제조에 이용한 탄소섬유는 Toray사의 T300 carbon fabric이다.
2.2 페놀수지 및 프리프레그 제조
페놀수지와 zirconia powder는 상온에서 homogenizer를 사용하여 3200 rpm으로 5분간 혼합하였다. 전체 수지에서 zirconia는 0 wt%, 2.5 wt%, 5 wt%, 7.5 wt%, 10 wt% 함량으로 적용하였다. 점착성 비교를 위해 제조한 탄소섬유 프리프레그의 수지 함량은 40 wt%로 제조되었다.
2.3 특성 분석
점도 분석: 수지의 점도를 조사하기 위해 점도계(Viscometer, Brookfield, DV2TLV TJ0)를 이용하였다. 분석은 5 rpm의 속도로 1분간 진행하였다.
경화거동 분석: 수지의 경화거동 분석을 위해 시차주사열량계(Differential Scanning Calorimeter, PerkinElmer, DSC4000)를 사용하여 조사하였다. 승온분석은 승온속도 2oC/min, 5oC/min, 10oC/min,20oC/min으로 30oC~300oC의 온도범위에서 측정하였다. 등온분석 역시 승온분석과 같은 장비를 사용하여 불활성 분위기에서 실시하였다. 등온분석은 140oC, 150oC, 160oC, 170oC, 180oC에서 1시간 동안 측정을 진행하였다. 분석결과값을 통해 경화에 따른 발열량(heat of reaction)을 조사하여 경화도(degree of cure, a), 경화속도(rate of cure, s-1)를 구하였다. 분석 결과값을 Kissinger method와 Ozawa methods에 적용하여 활성화 에너지(activation energy, Ea)를 도출하였다.
열분해 특성 분석: 수지의 열분해 특성을 분석하였다. 열중량 분석기(Thermos Gravimetric Analyzer, NETZSCH, STA 449 F5 Jupiter)를 사용하여 시료의 열안정성을 고찰하였다. 이때 승온속도는 10 oC/min으로 40 oC~900 oC의 온도범위에서 측정을 진행하였다.
표면 성분 분석: FE-SEM(Field Emission Scanning Electron Microscope, ZEISS, ULTRA PLUS)-EDS(Energy Dispersive X-ray Spectrometer, Bruker, FlatQuard)를 사용하여 탄소섬유 프리프레그의 zirconia 함량에 따른 첨가제의 분산을 관찰하였다.
점착성 분석: TXA probe tack tester(TXATM Texture Analyzer, YOENJIN Co.)를 사용하여 탄소섬유 프리프레그의 zirconia 함량에 따른 점착성 특성을 분석하였다. 점착성 분석은 debonding rate은 1 mm/s로 분석을 진행하였고, contact force을 달리하여 1 gf, 5 gf, 10 gf, 30 gf, 50 gf, 100 gf로 각각 분석하였다.
3.1 점도 분석
페놀수지에 zirconia를 혼합한 시료의 점도를 Fig. 1에 나타내었다. Zirconia의 함량이 증가할수록 점도가 높아지는 경향을 관찰할 수 있었다. 이러한 현상은 페놀수지와의 상용성이 비교적 떨어지는 zirconia 입자가 페놀수지 내에서 분산되면서 응집체를 형성하기 때문으로 사료된다. 이는 zirconia 함량이 증가하면서 페놀수지 내의 분산성이 떨어져 형성되는 것으로 판단된다. 형성된 응집체는 수지의 흐름성에 저항을 야기하고, 이에 따라 점도가 증가하는 것으로 추측된다.
3.2 경화거동 분석
3.2.1 승온분석
각기 다른 함량의 zirconia를 첨가해 제조한 페놀 수지의 DSC 승온분석 그래프를 Fig. 2에 나타내었다. 승온분석 결과 승온속도가 빠를수록, zirconia 함량이 많을수록 Tonset(발열이 시작하는 온도), Tendset(발열이 끝나는 온도)이 더 고온에서 나타나는 것을 확인할 수 있었다. Fig. 3 및 Fig. 4에 나타낸 경화도 및 경화속도의 변화를 분석하여 zirconia의 함량이 증가할수록 경화가 지연된다는 것을 알 수 있었다. 이는 고내열성 무기물인 zirconia가 첨가됨에 따라 페놀수지 내부의 열전도를 방해할 뿐 아니라 수지 경화반응 측면에서는 불순물로 작용하기 때문으로 사료된다.
승온속도를 달리하여 DSC를 측정해 얻은 데이터에서 각 최대발열 피크로부터 활성화에너지를 유도할 수 있었다. Kissinger 식 (1) 및 Ozawa 식 (2)을 이용해 계산하였다.


여기서 Ea는 활성화에너지이고 Tp는 최대발열 피크온도,θ는 승온속도, R은 기체상수이다. 각 값들을 이용하여 도시한 그래프를 Fig. 5에 나타내었다. Zirconia는 페놀수지 경화에 직접적으로 참여하지 않으므로 zirconia의 함량을 고려하여 보정한 활성화에너지 값을 Table 1에 나타내었다. Table 1에 대해 Zirconia의 함량이 증가할수록 활성화에너지가 증가하는 경향이 관찰되었다. 이는 zirconia가 페놀수지의 경화반응에 있어서 불순물로써 작용하여 경화반응을 방해하기 때문으로 사료된다.
3.2.2 등온분석
DSC 등온분석을 통해 각 온도에서의 경화도와 경화 완료시점 등을 파악할 수 있다. 본 연구에서는 페놀수지의 경화거동 분석을 위해 140oC, 150oC, 160oC, 170oC, 180oC에서 등온분석하여 Fig. 6에 등온분석 그래프를, Fig. 7 및 Fig. 8에 경화도 및 경화속도를 나타내었다. 등온분석 결과 높은 온도에서 경화할수록 발열 시작시점, 발열 종료시점이 앞당겨졌으며 이는 등온 경화온도가 높을수록 경화에 필요한 활성화에너지에 도달하는 시점이 빨라지기 때문이다. 반면 zirconia 함량이 증가할수록 발열 시작시점, 발열 종료시점이 늦어지고 경화속도가 느려졌는데, 이는 승온분석과 마찬가지로 zirconia가 페놀수지의 경화반응에서는 불순물로 작용하였기 때문으로 판단된다.
3.3 열분해특성 분석
페놀수지에 zirconia를 복합화한 수지의 휘발성분을 확인하기 위해 TGA 분석을 수행하고 그 결과를 Fig. 9에 나타내었다. 가열 초기부터 200oC 부근까지의 중량손실은 잔존 용매와 경화반응 초기에 발생하는 알콜이나 물 등 부반응물의 휘발로 사료된다. 이때 25% 정도의 중량 감소가 관찰되었다. 400oC~800oC에서 관찰되는 중량 감소는 페놀의 분해로, zirconia 첨가량이 증가할수록 분해 종결온도가 높아지는 경향이 관찰되었다. 또한 zirconia의 함량이 증가함에 따라 더 적은 중량 감소를 나타내었다. 이를 통해 수지에 포함된 용매와 초기 부반응물 등의 휘발물질의 함량을 추측할 수 있었으며 zirconia 입자를 페놀수지에 복합화함으로써 더 적은 중량 감소를 일으키는 것을 확인할 수 있었다.
3.4 프리프레그 표면 특성 분석
탄소섬유 프리프레그에 함침한 수지의 zirconia의 분산을 확인하기 위해 SEM-EDS(Energy Dispersive X-ray Spectrometer) 분석을 진행하였다. Fig. 10에 SEM 분석 결과를 나타내었다. zirconia 함량에 따른 큰 차이는 관찰되지 않았다. Fig. 11에 나타낸 EDS 분석 결과를 보면 raw 시료의 경우 zirconium이 나타나지 않는 반면 zirconia가 첨가된 시료의 경우 프리프레그 표면에 zirconium이 분산되어 존재하는 것을 관찰할 수 있었다. 분석 결과 zirconia 첨가 함량에 따른 뚜렷한 차이는 나타나지 않았다.
SEM-EDS 분석 결과 함량에 따른 차이가 두드러지게 관찰되지 않았다. 이는 프리프레그를 구성하는 수지의 비가 40 wt%이므로 수지에 첨가된 zirconia가 프리프레그 전체에 대해 미량이기 때문으로 사료된다. 또한 zirconia 입자는 밀도가 높아 첨가된 함량을 체적비로 치환해보면 매우 적은 양이기 때문에 표면 특성에 대해 미치는 영향이 비교적 적은 것으로 판단된다.
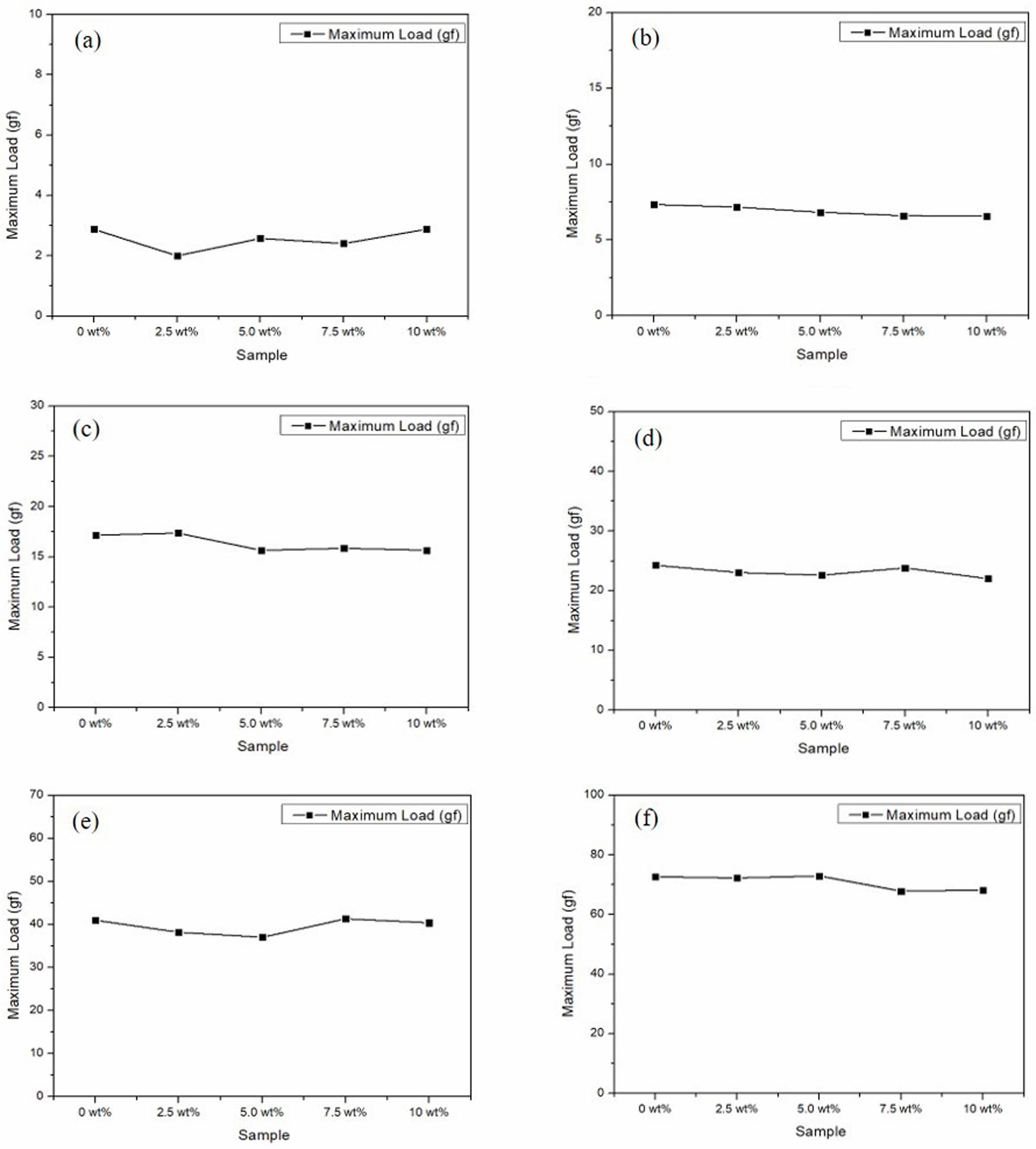
3.5 프리프레그 점착성 분석
페놀 복합재료를 제조하는 경우 프리프레그의 점착성이 적층하는 공정에서는 중요하게 작용한다. 따라서 zirconia의 첨가가 프리프레그의 점착성에 미치는 영향을 분석하기 위해 탄소섬유 프리프레그를 제조하고 점착성 측정을 진행한 결과를 Fig. 12에 나타내었다. 분석 결과 bonding force가 증가할수록 더 큰 점착성을 가지며, zirconia의 함량에 따른 두드러지는 차이는 관찰되지 않았다. 이를 통해 본 연구에서의 zirconia의 첨가 범위에서는 프리프레그의 점착성에 큰 영향을 미치지 않음을 알 수 있다. 이는 프리프레그를 구성하는 페놀수지의 함량이 40 wt%이므로 프리프레그를 구성하는 zirconia 함량은 매우 미량이기 때문이다. 또한 zirconia는 페놀수지에 비해 밀도가 크기 때문에 함량이 높다 하더라도 체적상으로는 적은 양이므로 프리프레그 점착성에 큰 영향을 끼치지 못하는 것으로 판단된다.
|
Fig. 1 Viscosity of phenolic resins with different zirconia content |
|
Fig. 2 Heat flows at different heating rate with different zirconia content; (a) 3oC/min, (b) 5oC/min, (c) 10oC/min, (d) 20oC/ min |
|
Fig. 3 Degree of cure at different heating rate with different zirconia content; (a) 3oC/min, (b) 5oC/min, (c) 10oC/min, (d) 20oC/min |
|
Fig. 4 Rate of cure at different heating rate with different zirconia content; (a) 3oC/min, (b) 5oC/min, (c) 10oC/min, (d) 20oC/min |
|
Fig. 5 Plots obtained from (a) Kissinger eq. and (b) Ozawa eq. for phenolic resins |
|
Fig. 6 Heat flows at different curing temperature with different zirconia content; (a) 140oC, (b) 150oC, (c) 160oC, (d) 170oC, (e) 180oC |
|
Fig. 7 Degree of cure at different curing temperature with different zirconia content; (a) 140oC, (b) 150oC, (c) 160oC, (d) 170oC, (e) 180oC |
|
Fig. 8 Heat flows at different curing temperature with different zirconia content; (a) 140oC, (b) 150oC, (c) 160oC, (d) 170oC, (e) 180oC |
|
Fig. 9 TGA curves of phenolic resins according to zirconia content |
|
Fig. 10 SEM image of the surface of prepregs prepared with different zirconia content; (a) raw, (b) 2.5 wt%, (c) 5.0 wt%, (d) 7.5 wt%, (e) 10 wt% |
|
Fig. 11 EDS image of the surface of prepregs prepared with different zirconia content; (a) raw, (b) 2.5 wt%, (c) 5.0 wt%, (d) 7.5 wt%, (e) 10 wt% |
|
Fig. 12 Maximum load of phenol prepreg tacky test at different bonding force with zirconia content; (a) 1 gf, (b) 5 gf, (c) 10 gf, (d) 30 gf, (e) 50 gf, (f) 100 gf |
본 연구에서는 페놀수지의 내열성을 증가시키기 위해 zirconia를 첨가하고 이에 따라 zirconia가 페놀수지의 경화거동에 미치는 영향을 분석하고자 하였다. 연구를 통하여 아래와 같은 결론을 얻을 수 있었다. 향후 이러한 경화 거동을 바탕으로 실제 복합재료를 성형하여 물성과 열차폐 특성에 미치는 영향을 고찰할 예정이다.
1) Zirconia의 함량이 증가할수록 점도가 높아지는 경향이 관찰되었다. 이는 무기첨가제인 zirconia가 페놀수지 내에서 응집하여 수지의 흐름성을 감소시킨 것으로 사료된다.
2) DSC 승온분석 결과 승온속도가 빠를수록, zirconia 함량이 증가할수록 경화가 지연되는 현상이 나타났다. 이는 고내열성 무기물인 zirconia가 첨가되며 페놀수지 내에서 경화반응을 방해하기 때문으로 추측된다. zirconia 함량이 높은 경우 경화에 필요한 활성화에너지가 더 크게 나타났다. 등온 경화실험 결과 경화온도가 높을수록 경화반응이 빠르게 되는 경향이 나타났으며 이는 경화온도가 높을수록 경화에 필요한 활성화에너지에 도달하는 시간이 짧기 때문이다. zirconia 함량이 증가할수록 경화가 지연되는 현상이 관찰되었다. 이는 zirconia가 경화반응에서 불순물로 작용하기 때문으로 사료된다.
3) TGA를 이용한 열분해 분석 결과 상온부터 200oC까지 약 25%의 중량 감소가 관찰되었으며 이는 잔존 용매와 초기 반응물의 휘발로 판단된다. 또한 zirconia의 함량이 증가할수록 더 적은 중량 감소가 관찰되었다.
4) SEM-EDS 분석을 통해 탄소섬유 프리프레그에서의 zirconia 분산성을 관찰한 결과 zirconia 입자가 고르게 분산된 것을 확인할 수 있었으며 함량에 따라 두드러지는 차이는 관찰되지 않았다.
5) 프리프레그 점착성을 분석한 결과 본 연구에서의 zirconia 함량 범위에서는 점착성이 큰 차이는 나타나지 않는 것으로 나타났다.
This Article2022; 35(4): 288-297
Published on Aug 31, 2022
Services
Correspondence to** Department of Organic Materials Engineering, Chungnam National University, Daejeon 34134, Korea