Jiseon Kang*, Minji Kim*, Mongyoung Huh**†, Seok Il Yun*†
* Department of Chemical Engineering and Materials Science, Sangmyung University, Seoul 03016, Korea
** Korea Carbon Industry Promotion Agency, 2nd R&D Office, Jeonju-si, Jeonbuk, Korea
강지선*· 김민지*· 허몽영**† · 윤석일*†
This article is an open access article distributed under the terms of the Creative Commons Attribution Non-Commercial License (http://creativecommons.org/licenses/by-nc/4.0) which permits unrestricted non-commercial use, distribution, and reproduction in any medium, provided the original work is properly cited.
Flame-retardant vinyl ester (VE) resin films were developed from the mixtures of brominated and non-brominated epoxy resins via esterification with methacrylic acid without reactive diluents. The films were used to fabricate carbon fiber (CF) prepregs via a hot melt impregnation process. The viscosity of VE resins suitable for film production was optimized by mixing low-viscosity bisphenol-A and high-viscosity brominated bisphenol-A epoxy precursors. Increasing the bromine content of the cured VE resin further increased the limited oxygen index (LOI) (39%), storage modulus (2.4 GPa) at 25oC and residual carbonization (16.1%) values compared to non-brominated VE. Manual layup of as-prepared VE prepregs with subsequent curing led to the successful fabrication of CF-reinforced composites with high tensile and flexural strength. The results from the study hold high promise for a styrene-free, environmentally friendly VE composite process in the future
메타크릴산과의 에스터화 반응을 통해 브롬화 에폭시 수지와 일반 에폭시 수지의 혼합물로부터 난연성 비닐에스터 핫멜트 필름을 제조하였고 이를 이용하여 탄소섬유와 비닐에스터 복합 프리프레그를 제조하였다. 저점도 비스페놀-A와 고점도 브롬화 비스페놀-A 에폭시 전구체를 혼합하여 필름 생산에 적합한 VE 수지의 점도를 최적화하였다. 경화된 VE 수지의 브롬 함량 증가는 비 브롬화 VE에 비해 제한 산소 지수(LOI)(39%), 25oC에서의 저장 탄성률(2.4 GPa) 및 잔류 탄화물(16.1%) 값을 더 증가시켰다. 합성한 VE 프리프레그의 수동 레이업과 후속 경화로 인장 및 굴곡 강도가 우수한 CF 강화 복합재를 성공적으로 제작하였다. 본 연구 결과는 스티렌이 없는 친환경적인 VE 복합 재료 공정의 향후 산업화에 대한 높은 가능성을 보여준다.
Keywords: 난연성(Flame-retardant), 브롬화 비닐에스터(Brominated vinyl ester), 탄소섬유 프리프레그(Carbon fiber prepreg), 무 스티렌 합성(Styrene-free synthesis)
비닐에스터(vinyl ester, VE)는 에폭시(epoxy) 수지와 아크릴산, 메타크릴산(methacrylic acid, MAA) 등의 다양한 불포화 모노카르복실산과의 에스터화 반응으로 합성된 올리고머(oligomer) 형태의 수지이다. VE는 에폭시 주사슬(backbone)의 우수한 열적 안정성과 기계적 강도를 가지고 있는 동시에 사슬 말단에 이중 결합이 존재하여 자유 라디칼 중합에 의한 빠른 경화가 가능하다. 이와 같이 VE는 에폭시와 불포화 폴리에스터의 장점을 결합한 시스템일 뿐만 아니라 에스터 그룹이 VE 사슬의 말단에만 존재하기 때문에 불포화 폴리에스터 수지에 비해 더욱 뛰어난 내습성과 내화학성을 갖는다. 이러한 장점들로 인하여 VE 수지는 여러 분야에서 응용되고 있고, 특히 섬유 강화 고분자 복합체(FRP)의 기지(matrix) 고분자로 활발히 사용된다[1,2]. 일반적으로 VE수지의 가공성 및 기계적 특성을 향상시키기 위하여 VE와 함께 반응성 희석제(reactive diluent, RD)를 첨가하여 사용한다. 스티렌(styrene)은 가장 일반적으로 사용되는 RD이며, VE 수지는 보통 35-50 wt% 스티렌을 함유한다[3]. 그러나 스티렌은 휘발성 유기 화합물, 유해 대기 오염 물질 및 잠재적 발암 물질로 지정되어 스티렌을 사용하지 않는 섬유강화 복합재를 위한 VE 시스템 개발이 주요해지고 있다[4,5]. 기존의 에폭시 기반 수지의 또다른 문제점중의 하나는 수지의 한계 산소 지수가 낮아 공기 중에서 비교적 쉽게 연소되어 높은 난연성이 필요한 경우 적용이 제한된다는 점이다. 따라서 에폭시 및 VE 수지의 화재 안전성을 향상시키기 위한 많은 연구가 진행되어 왔고 특히 할로겐 화합물이 수지의 난연성을 효과적으로 향상시키는 데 널리 사용되고 있다[6,7]. 할로겐 원소는 연소 시 생성된 할로겐 라디칼이 수지내의 수소와 반응하여 할로겐화 수소를 발생시킨다. 이때 수지의 연소 시 발생하는 수소 라디칼 등의 고에너지 라디칼이 억제되어 연소 저해 효과가 일어난다. 특히 브롬(bromine)은 수지의 기본 물성에 거의 영향을 미치지 않는 가장 효과적인 난연 원소로서 상업적으로 자주 사용되고 있다[6-9]. 최근 연구에서 비스페놀-A 타입의 에폭시 수지와 MAA의 에스터화 반응을 이용하여 스티렌의 첨가 없이 탄소섬유 복합체 프리프레그의 성공적인 합성이 보고되었다[10]. 본 연구에서는 브롬화 에폭시를 이용하여 스티렌 첨가없이 난연성 VE 필름을 제조한 후 핫멜트 공법으로 CF 프리프레그를 제조하였다. 특히 브롬화 비스페놀-A 타입의 에폭시 수지와 비 브롬 에폭시 수지와 혼합 비가 에스터화 반응, VE의 점도, 경화 후 기계적인 물성, 난연성에 미치는 영향을 고찰하였다. 이를 통해 난연성 프리프레그 제조를 위한 VE 수지 시스템을 최적화하고자 하였다.
2.1 실험재료
에폭시 수지인 비스페놀-A 타입의 diglycidyl ether of bisphenol-A (DGEBA)와 브롬화 DGEBA는 국도화학에서 공급받았으며 에폭시 당량(epoxy equivalent weight, EEW)이 각각 187.3 g/eq 및 404.4 g/eq인 에폭시, YD-128 및 YDB-400이 사용되었다. MAA(99.5%)와 톨루엔(99.5%)은 삼전화학으로부터 구입하였다. 촉매, 2,4,6-Trisdimethylaminomethyl phenol(DMP-30, 95.0%), 라디칼중합개시제, tert-butylperoxy-2-ethylhexyl carbonate(TBEC, 95.0%) 및 중합억제제, methylhydroquinone(Me-HQ, 99.0%)는 Sigma-Aldrich에서 구입하였고 메탄올 및 0.1 N 수산화칼륨 에탄올 표준용액은 대정화학에서 구입하였다. NCF(Non Crimp Fabric) 직물은 Toray 12K 탄소섬유, ±45°/300 gsm 사양으로 한국탄소산업진흥원의 탄소섬유 다축직조(독일, Karl Mayer사) 장비를 이용하여 직접 제작하였다.
2.2 브롬화 VE필름의 합성
브롬화 에폭시 수지로부터 VE 수지의 합성은 Fig. 1에 간략히 도시되었다. 브롬화 에폭시 수지(BER)는 일반적으로 매우 높은 점도 값을 갖기 때문에 저 점도의 일반 비스페놀-A 타입의 에폭시 수지(ER)를 혼합하여 사용하였다. BER과 ER를 서로 다른 몰비(mol ratio), 1:0, 3:1, 2:1, 1:1, 및 0:1 로 각각 혼합한 후 에스터화 반응을 진행하였다. 합성한 혼합비에 따라 합성된 VE를 VEB 1:0, VEB 3:1, VEB 2:1, VEB 1:1, 및 VEB 0:1로 각각 명명하였다. 합성된 VE의 점도, 기계적인 물성과 난연성은 에폭시의 혼합 비에 크게 의존하였다. 우수한 필름 안정성, 낮은 점착성(tackiness) 및 탄소 섬유에 대한 우수한 함침 능력을 달성하기위한 VE의 적정 점도는 약 6000에서 15,000 cp 사이의 값으로 알려져 있다[10]. 핫멜트 프리프레그 공정을 위한 고품질 필름을 만들기 위해 적합한 VE 수지의 점도와 경화된 수지의 기계적인 물성과 난연성 등을 종합적으로 고려하여 최적의 혼합 비율을 찾고자 실험을 진행하였다. 산가(acid value)가 10 미만이 되기 전에 생성물이 겔화되기 때문에 에폭시 수지의 완전한 에스터화(esterification)는 실질적으로 어렵다. 따라서 에스터화 반응에는 과량의 에폭시 수지가 항상 사용되었다(에폭시:MAA=1.05:1(몰 비율))[1,11]. VE 수지는 촉매로 DMP-30(MAA 대비 0.3 mol%)과 Me-HQ(MAA 대비 0.071 mol%)를 교반기, 공기 유입관 및 온도계가 장착된 5구 플라스크(2 L)에 넣은 후, 매 30분마다 반응물의 산가를 측정하여 반응의 진행을 관찰하였다. 반응 정도, p는 다음과 같이 계산되었다.

AV0 및 AVt는 각각 t = 0 및 시간 t에서의 산가이다. TBEC (에폭시/MAA 대비 1 phr)도 90oC에서 에스터화 완료 후 혼합물에 첨가하였다. 이렇게 제조된 밝은 색상의 투명 VE를 냉각시키고 추가 반응을 방지하기 위해 25oC에서 보관하였다. 경화되지 않은 VE 수지를 오븐에서 80oC로 가열한 다음 비커에서 쏟아내고 이형지 위에 증착시켰다. 핫멜팅 코터(Kipae E&T Co. Ltd., Korea)를 이용하여 스크레이퍼 공법으로 필름을 형성한 후 상온으로 냉각하여 최종 VE 필름을 얻었다.
2.3 브롬화 VE/CF 프리프레그 및 복합체 제조
VE/CF 프리프레그는 Laminator (EXCELAM Q1100RS)를 이용하여 핫멜트 공법으로 탄소 섬유를 VE 필름에 함침시켜 제조하였다. 물성 평가를 위하여 VE/CF 프리프레그를 2 ply로 적층하여 온도 150oC, 압력 240 kg/cm2에서 5분 동안 프레스를 이용하여 경화시켰다. 제조된 VE/CF 복합재료의 두께는 2.1 ± 0.2 mm였으며, 다이아몬드 정밀 커터를 사용하여 ASTM D3039 표준에 따라 250 mm × 25 mm 절단 가공하였고, 만능재료시험기(AG-100kNX) 를 이용하여 표점거리 150 mm, 2 mm/min의 속도로 인장시험을 실시하였다. 탄소 섬유 함량(Fiber volume content)은 시험편을 450oC에서 30분간 소각하고 남은 탄소 섬유 무게를 이용하여 계산하였다.
2.4 물성 분석
푸리에 변환 적외선 분광법(Fourier transform infrared (FTIR) spectroscopy)을 이용하여 에폭시 및 VE 수지의 화학 구조를 분석하였다. Bruker/Tensor27 분광계를 사용하여 시료를 ATR(attenuated total reflectance plate) 모드로 분석하였다. 합성된 VE 수지의 분자량 값을 겔투과 크로마토그래피(Gel Permeation Chromatography, GPC)를 이용하여 측정하였다. Refracto Max 520 굴절률 검출기와 Quaternary 펌프 LPG-3400SD(Thermo Scientific Dionex, USA)가 장착된 Ultimate 3000 GPC 기기를 사용하여 40oC에서 측정하였으며 Shodex KF-G 가드 컬럼과 Shodex GPC KF-806 L(300 × 8.0 mm)로 구성된 컬럼과 용리액으로 테트라하이드로퓨란(THF)(1 mL/min)을 사용하였다. 필름제작을 위한 VE 수지의 점도는 점도계(CAP 2000 +, AMETEK Brookfield, USA)와 CAP-06 스핀들(원뿔 각도: 1.8°, 원뿔 반경: 0.702 cm)을 사용하여 80oC에서 200 rpm으로 측정하였다. DMA/SDTA861e (Mettler Toledo)을 사용하여 경화 후 VE의 동적 기계적 분석(Dynamic mechanical analysis, DMA)을 가로 20 mm, 세로 5 mm이고 두께가 1 mm인 크기로 인장 모드를 사용하여 진행하였다. 온도범위, -40~300 oC에서 1Hz의 주파수와 5oC/min의 승온 속도의 조건으로 DMA 분석을 진행하였다. LOI (limiting oxygen index) 값은 L01 tester (Ils System) 및 ISO 4589-2 표준에 따른 80 mm × 10 mm × 4 mm의 표본 치수를 사용하여 측정하였다. 시료의 열안정성 분석을 위해 Q50 (TA Instruments)을 이용하여 20oC/min의 승온 속도, N2 분위기하에서 TGA 분석을 진행하였다.
|
Fig. 1 Synthesis of brominated VE from brominated epoxy resin |
3.1 비닐에스터 합성
MAA와 브롬화 에폭시 수지로부터 VE 수지를 합성하는 에스터화 반응을 Fig. 1에 간단히 도시하였다. Fig. 2는 에폭시의 에스터화 반응 전과 후의 FTIR 스펙트럼을 비교한 결과이다. MAA는 C=C의 신축 진동(stretching vibration)을 나타내는 1633 cm-1에서의 강한 피크를 나타냈다. 에스터화 반응 전 브롬화 에폭시, BER과 비 브롬 에폭시 ER에서 관찰된 에폭시 그룹을 나타내는 914 cm-1에서의 피크는 에스터화 반응 후의 생성물인 VEB 3:1 스펙트럼에서 사라졌는데, 이는 에스터화 반응이 성공적으로 진행되어 에폭시 그룹이 사라졌음을 의미한다. 에스터화 반응 후 VEB 3:1에서 발견되는 3422 cm-1의 밴드는 글리시딜 에폭시 그룹의 개환 반응으로 생성되는 OH기에 기인한다. VEB 3:1에 대해 1636 cm-1 및 1716 cm-1에서 관찰된 밴드는 각각 이중 결합 스트레칭 및 에스터 결합의 카르보닐 그룹에 기인한 것이다. VEB 3:1에서 측정되는 944 cm-1에서 밴드는 VE 단량체의 전형적인 평면 외 굽힘(out of plane bending)에 기인한다. 이러한 FTIR 분석결과들은 브롬화 에폭시와 MAA의 에스터화 반응을 통한 브롬화 VE 수지의 성공적인 합성을 보여준다[10,12]. 다양한 브롬화/비 브롬화 에폭시, BER/ER 혼합비를 갖는 혼합물의 에스터화 반응은 105oC에서 수행되었으며, 생성된 VE 수지의 분자량 및 점도 값(80oC에서)은 Table 1에 요약되어 있다. VE 수지의 점도 값은 브롬화 에폭시의 함량이 증가함에 따라 증가하였다. 반응 정도(p)는 식 (1)에 의해 산가를 측정함으로써 계산되었다. Fig. 3는 다양한 BER/ER 비율을 갖는 에폭시의 에스터화 반응 시간에 따른 p-값의 변화를 보여준다. 더 높은 브롬화 에폭시 함량을 포함하는 에폭시의 경우 시간이 지남에 따라 p-값이 더 느리게 증가하였다. 이 결과는 에스터화 반응속도가 에폭시의 점도 및 분자량에 의존함을 나타낸다. 특히 반응물의 점도가 높으면 에폭시와 MAA의 이동성이 감소하여 에스터화 반응속도가 감소하는 것을 알 수 있었다[10,13].
3.2 비닐에스터 수지의 물성
핫멜트 공법을 적용하여 FRP 프리프레그를 제조하기 위한 안정된 수지필름을 얻기 위해서는 수지가 적절한 점도 값을 갖는 것이 중요하다. 순수 브롬화 수지인 BER로부터 합성된 VE 수지(VEB 1:0)는 너무 높은 점도로 인해 고품질 필름을 만들 수 없었다. 따라서 저 점도의 일반 에폭시, ER을 혼합하여 사용하였고, VEB 3:1, VEB 2:1과 VEB 1:1 샘플들이 안정된 품질의 필름을 형성하였으나 VE 3:1 필름이 VEB 2:1 및 VEB 1:1 필름에 비하여 더 낮은 점착성(tackiness)로 보여 취급이 더 용이하였다(Fig. 4).
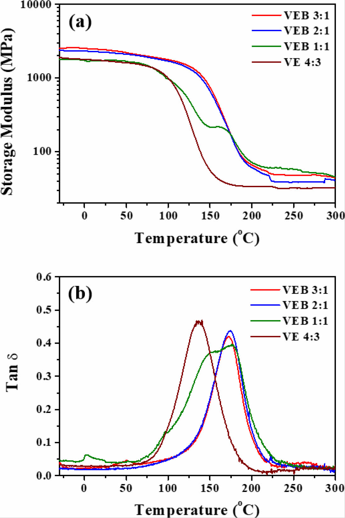
경화된 VEB 3:1, VEB 2:1 과 VEB 1:1의 열기계적 특성을 DMA로 측정하여 그 결과를 Fig. 5a에 나타냈고 25 oC에서의 저장 탄성률(E') 값을 Table 2에 요약하였다. 저장 탄성률(E')은 변형 동안 저장된 에너지를 측정하며 고분자재료의 고체의 물성과 관련이 있어 샘플의 강성(기계적 강도)을 나타낸다. 실험결과 브롬화 수지의 함량이 높을수록 경화된 VE의 강성이 증가함을 알 수 있었다. 비스페닐 단위에 있는 4개의 브롬 원자는 일반 비스페닐 그룹에 비해 더 높은 가교 밀도를 초래하는 가교 결합 사이의 분자량을 증가시켜 강도증가 효과를 가져오는 것으로 보인다[14,15]. 경화된 브롬화 VE에 대한 tand 값 측정 결과(Fig. 5b)로부터 얻어진 Tg 값을 브롬이 포함되지 않은 VE(VEB 0:1)의 Tg 값과 비교하였다(Table 2). 브롬이 함유된 VE들은 비 브롬화 VE(VEB 0:1) 비해 높은 Tg 값을 보였다. 극성이 높은 브롬원자들은 가교 된 수지와 강한 쌍극자 결합을 형성하여 VE의 강도를 증가시킬 뿐만 아니라 VE의 자유 부피를 감소시켜 분자 운동을 제한하여 Tg 값의 증가를 초래하는 것으로 보인다[14,15].
LOI 테스트는 일반적으로 고분자 재료의 난연성을 평가하는 데 사용된다[16]. 경화된 VEB 3:1, VEB 2:1과 VEB 1:1 시편들의 난연성을 LOI 테스트로 평가하여 Table 2에 요약하였다. BER의 함량이 높아질수록 LOI 값은 증가하여, 최대 39%로 증가하여 매우 우수한 난연성을 보여주었다.
Fig. 6a와 b는 VEB 3:1, VEB 2:1과 VEB 1:1 시편들의 TGA 및 DTG 곡선을 각각 나타내고, 곡선들 로부터 얻은 600oC에서의 잔류질량(char yield)과 최대 중량 손실 온도(maximum weight loss temperature, Tmax)를 Table 3에 요약하였다. 브롬화 에폭시로부터 합성한 VE는 브롬이 없는 VE에 비하여 600oC에서 상대적으로 높은 잔류질량을 보였으며 이는 완전히 분해되지 않아 고온 영역에서 열적으로 안정적인 탄화 잔류물을 형성함을 의미한다. 이 결과는 높은 탄화 능력이 난연성 향상에(높은 LOI 값) 유리하다는 여러 연구 결과와 일치한다[17]. 브롬화된 VE는 일반 VE에 비하여 더 낮은 Tmax 값을 보이며, 열 분해가 더 낮은 온도에서 일어나는 것을 의미한다. 또다른 열안정성 평가 지표 중의 하나인 통계적 내열성 지수(statistic heat resistant index, Ts)는 5% 중량 손실(T-5%) 및 30% 중량 손실(T-30%)에서의 온도와 관련된 지표로서 경화된 열경화성 수지의 열 안정성을 평가하는 데 널리 사용된다[18]. 식 (2)를 이용하여 계산한 Ts 값을 Table 3에 요약하였다.

분석결과 일반 VE에 비하여 브롬화된 VE의 열분해 온도가 감소하였을 뿐만 아니라 Ts 값 또한 감소하였다. 이는 브롬의 존재가 탄화 형성을 촉진하여 난연성을 증가시키지만 열 안정성은 감소시킴을 보여준다[17,19,20]. 필름의 점착성을 기준으로 VEB 3:1을 선택하여 CF 프리프레그를 제조하였다. VEB 3:1 필름과 직조된 CF를 Fig. 7에 표시된 핫멜트 함침 기계를 사용하여 VE/CF 프리프레그를 제조하였다. 제조한 VE/CF 프리프레그를 2 ply로 적층하여 온도 150oC에서 프레스를 이용하여 경화 후 제조된 복합재의 기계적 물성을 평가하여 Table 4에 요약하였다. 난연성 VE 복합재의 기계적 강성은 전통적인 에폭시 프리프레그로부터 제조된 복합재의 기계적 강성 값과 유사했으며 이는 본 연구에서 제시한 난연성 VE 프리프레그의 무스티렌 합성이 기존의 에폭시 프리프레그에 대한 친환경적인 대안이 될 수 있음을 잘 나타내어준다[21,22].
|
Fig. 2 FTIR spectra of starting materials and product |
|
Fig. 3 The extent of the reaction, p versus reaction time for esterification of the various epoxy precursors having different mixing ratios of BER/ER |
|
Fig. 4 Tackiness comparison of VEB 2:1 and VEB 3:1 |
|
Fig. 5 (a) Storage modulus variation and (b) tand as a function of temperature for cured VE |
|
Fig. 6 (a) TGA and (b) DTG curves as a function of temperature for cured VE |
|
Fig. 7 Manufacturing of the VEB/CF by a hot-melt impregnation process |
|
Table 1 Viscosity and molar mass of the VE resins synthesized from the epoxy precursors having various mixing ratios of BER/ER |
|
Table 2 Storage modulus at 25oC, Tg and LOI of the cured VE resins synthesized from the epoxy precursors having various mixing ratios of BER/ER |
|
Table 3 TGA data of the cured VE resins synthesized from the epoxy precursors having various mixing ratios of BER/ER |
|
Table 4 Summary of mechanical properties of the cured VE resins synthesized from the epoxy precursors having various mixing ratios of BER/ER |
본 연구에서는 평균 에폭시 당량이 각각 187.3g/eq 및 404.4 g/eq인 두 가지 다른 몰질량의 비스페놀-A 에폭시, ER 및 BER을 사용하여 VEB 수지 필름을 제조하였다. ER/BER의 혼합 비율을 조절함으로써 VEB 수지의 점도 및 평균 몰 질량을 변화시킬 수 있었으며, BER의 농도가 높을수록 생성되는 VEB 수지의 점도 및 분자량은 더 높아졌다. 에폭시의 점도가 높을수록 에폭시 및 MAA의 이동성이 감소하여 에스터화 반응속도가 감소함을 알 수 있었다. 핫멜트 프리프레그 공법의 경우 BER/ER의 최적 몰비가 3:1인 것으로 밝혀져 VEB의 점착성이 가장 적은 고품질 필름을 얻을 수 있었다. 브롬이 함유된 경화된 VE 수지는 비 브롬화 일반 VE 수지에 비하여 높은 잔류 탄화물과 LOI 값을 보였다. 동시에 높은 기계적인 강성(E')과 Tg 값을 보였다. 이를 통해 브롬의 존재는 수지의 난연성을 크게 향상시킬 뿐만 아니라 기계적인 강성을 증가시킴을 알 수 있었다. 그러나 열 중량 분석 결과 브롬의 존재가 수지의 열 안정성을 감소시켜 더 낮은 열 분해온도와 Ts 값을 보였다.
본 연구는 중소벤처기업부가 지원하는 규제자유특구혁신사업의 탄소복합재 경량 소화수 탱크 제조 및 소방특장차 실증과제로 수행되었음(과제 번호: P0016063).
This Article2022; 35(6): 412-418
Published on Dec 31, 2022
Services
Correspondence toDepartment of Chemical Engineering and Materials Science, Sangmyung University, Seoul 03016, Korea