Original Article
  • Effect of Cork Extract on the Mechanical Property of Thermoplastic Polyurethane
  • Taehoon Oh*, Seung-Hyun Cho**, Bumyong Yoon*, Hyejung Yoon*, Jonghwan Suhr*, ***†

  • * Department of Polymer Science and Engineering, Sungkyunkwan University
    ** Department of Energy Science, Sungkyunkwan University
    *** Department of Mechanical Engineering

  • This article is an open access article distributed under the terms of the Creative Commons Attribution Non-Commercial License (http://creativecommons.org/licenses/by-nc/4.0) which permits unrestricted non-commercial use, distribution, and reproduction in any medium, provided the original work is properly cited.

Abstract

Thermoplastic polyurethane (TPU) is a material whose mechanical properties change according to the phase separation of its unique internal microstructure and is therefore used in various industries. Use of TPU as composites helps in improving the desirable characteristics and properties in accordance with usage. Eco-friendly fillers one of the fillers are on the rise and those are mostly used for reinforcing role. Suberin, which can be extracted from cork, is the main component of cork. It is known to serve high damping property of elastomer composite. The original chemical structure of Suberin is an aliphatic polyester aggregate. In this research, Suberin is obtained after depolymerization into an oligomer having 2 or 3 ester bonds through alkaline hydrolysis. The extracted suberin was added to the matrix which is thermoplastic polyurethane as an eco-friendly filler for improving vibration damping property. As a result, when 10 wt% of suberin was added into thermoplastic polyurethane the existing trade-off relationship was overcome. And it is attained the elastic modulus and damping factor at room temperature improving 92 and 59%, respectively, compared to the original matrix. Those results are from the interaction between the microstructure of TPU and suberin


Keywords: Thermoplastic polyurethane, Suberin, Mechanical property

1. introduction

Thermoplastic polyurethane (TPU) is one of the polyurethane materials which can have thermoplasticity due to its internal microstructure. The microstructure consists of soft segments with relatively low transition temperature as a continuous phase and hard segments with high transition temperature. The rheological and mechanical properties of TPU depend on the shape of the microstructures [1]. The reason for those microstructures is due to the differences in polarity between the soft and hard segments. Also, it has self-assembly characteristics through physical cross-link which comes from the hydrogen bond between the carbonyl group and the urethane group in the hard segments. That forms thereby crystal domains that serve as a reinforcing filler [2]. Use of TPU as composites helps in improving the desirable characteristics and properties in accordance with usage. For the sake of that, various fillers have been studied such as carbon nanotube, carbon fiber and graphene [3,4].
Recently, research using renewable and eco-friendly fillers for polymer composites has emerged because of global eco-friendly movements and recycling issues [5-7]. A wide variety of renewable fillers available in different shape and size which can be utilized to tune the properties of TPU [8]. For example, cellulose, clay and natural fiber is used as reinforcing filler in TPU [9,10]. However, fillers are used for TPU reinforcement under the current keynote. Therefore, research on new eco-friendly fillers is needed to improve other properties fitted for purpose as well as strengthening applications.
Cork refers to the bark of the cork tree and as one of the renewable resources. It can have properties such as full-recovery, heat insulation, and sound insulation due to the substance called Suberin, which is the most abundant in cork. It is a macromolecule with lipophilic polyester structure and can be extracted from cork [11,12].
There are studies that increase the chemical crosslink density by adding Suberin to epoxy [13], and research that increase energy absorption properties by adding Suberin to SBR/BR blends for tire tread [14]. However, in both cases, Suberin is chemically bonded with matrix. So, its characteristics as a filler cannot be known. A study that has a plasticizer effect by adding Suberin to PLA doesn’t have chemical interaction, but unfortunately the mechanical strength is reduced compared to the pristine PLA [15].
In this study, depolymerized Suberin composed of 2 or 3 ester bonds is extracted from cork through alkaline hydrolysis. By adding it into TPU as an eco-friendly filler to make the composites obtaining improved vibration damping effect. After that, the mechanical properties of the material are analyzed and the cause thereof is identified. For convenience, depolymerized Suberin will be referred to as Suberin in this paper.

2. experimental

2.1 Materials
Thermoplastic polyurethane (Elastollan¢ç 785A 10 HPM, BASF) was used as polymer matrix. Expanded cork was purchased from domestic brand (Hankyeol Cork). Sodium hydroxide, ethanol and sulfuric acid were purchased from Daejung.

2.2 Extraction of Suberin
Suberin derivative is extracted via alkaline hydrolysis of cork [15]. 40 g of cork was charged into blender that have metallic blade inside with 1000 mL of 80% (v/v) ethanol aqueous solution. 8 g of sodium hydroxide which is 20% (w/w) of cork was added in the solution and mechanical stirring for 30 min. After that, the hydrolyzed solution was filtered with filter papers (pore size 10 μm and 5 μm) 3 times. Filtered solution was conducted evaporation of ethanol with rotary evaporator. Thus, Suberin derivative was dissolved only water in the form of salt. Then the solution is acidified by dilute sulfuric acid until around pH 3 and stirred at 70oC for 1 h. When cooling down the solution, Suberin derivative is coagulated and acquired. Finally, that is conducted freeze-dry to remove water that may remain inside.

2.3 Fabrication of Composites
Haake rheomix internal mixer is used to premix Suberin derivative and thermoplastic polyurethane. The process was maintained at 180oC for 5 min. Premixed compounding is molded by injection molding at 220oC for 5 min. Specimens are fabricated according to the shape as required by each measurements.

2.4 Characterization
Chemical structure of Suberin was investigated by Fourier transform infrared spectroscopy (FT-IR) (ALPHA II, Brucker), proton nuclear magnetic resonance (1H NMR) (Oxford 300 NMR, Varian) and gel permission chromatography (GPC) (1100S, Agilent Technology). FT-IR spectra was observed ATR mode. For 1H NMR, Suberin is dissolved in CDCl3 with tetramethylsilane (TMS) as standard. GPC was conducted for identification of molecular weight of Suberin and sample was dissolved in tetrahydrofuran (THF). Mechanical properties were analyzed by universal testing machine (UTM) (E3000, Instron) and dynamic mechanical analyzer (DMA) (Q850, TA). Tensile test was conducted following ASTM D638. DMA was conducted to tensile mode with temperature ramp method. Differential scanning calorimeter (DSC) (DSC25, TA) was run in nitrogen atmosphere and carried out heating/cooling rate of 10oC/min. Scanning electron microscope (SEM) (IM-60, ISP) was conducted into composites coated with gold.

3. results and discussion

3.1 Chemical Characterizations
Suberin extracted from cork extract was chemically analyzed by comparing to previous research [15]. It is known as ester-linked polymer of saturated and unsaturated fatty acids having long alkyl chain body without the presence of aromatic units [16]. In FT-IR result (Fig. 1), O-H stretching peak of carboxylic acid and alcohol were shown absorption peaks at 3550-2500 cm-1. It is difficult to separate each. Therefore, the presence of carboxylic acid end group was confirmed by the carbonyl group peak at 1720-1706 cm-1. The strong peak at 3000-2840 cm-1 is represented alkane C-H stretching that is evidence of existence of alkyl chain. In the same way, alkane peak at 1.25-1.31 ppm and alpha carbon proton of hydroxyl group peak at 3.64-3.67 ppm were supported the presence of alkyl chain body and hydroxyl end group in 1H NMR results (Fig. 2). Also, alpha carbon proton of carbonyl group and ester bond peak at 2.30-2.34 ppm was meant the presence of carboxylic acid end group and ester bond in the sample. Following the GPC result (Table 2), extracted material is oligomeric substances consisting of 2~3 ester linkages of long alkyl chain fatty acids. So, the subsequent analyses were based on this expected chemical structure of Suberin in Fig. 3.
Table 1  Table 3  Table 4  Table 5
3.2 Mechanical Characterizations
Tensile test results of TPU/Suberin composites (Fig. 4) show a tendency that as Suberin content increases, so does the elastic modulus of composites. Generally, elastic modulus has a trade-off relationship with the vibration damping effect [14]. Therefore, this result is clearly different from the purpose of the experiment. Since there is unfortunately a limit to strain of instrument, it is impossible to measure until fracture. So only up to 190% of the results are inserted.
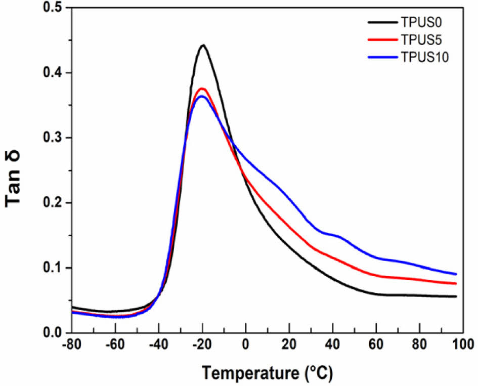
According to the DMA results of TPU/Suberin composites (Fig. 5), the tan δ value at room temperature increases as the Suberin content increases. The tan δ value is the ratio of the storage modulus and the loss modulus. It is often used as a damping factor [14]. So, an increase in the tan δ value at certain temperature implies that the composites have higher vibration damping at that temperature. It can be seen surprisingly that the addition of Suberin to TPU simultaneously increases the elastic modulus and the vibration damping effect at room temperature. The glass transition temperature is the temperature at the peak of tan δ curve. There was no significant difference depending on the Suberin contents.
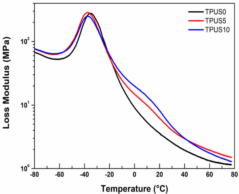
Comparing the storage modulus of composites those have cross point at specific temperature (26.73oC) (Fig. 6). Below this point, the storage modulus of TPUS10 is higher than the storage modulus of TPUS0. However, the storage modulus of TPUS10 is lower than the storage modulus of TPUS0 over the cross point. Comparing the loss modulus of composites TPUS10 has higher loss modulus below 41.23oC (Fig. 7). Reversely TPUS5 has higher loss modulus over that temperature. The cause of the high storage modulus value before the intersection point and the reason why the intersection point appears at a specific temperature in the storage and loss modulus graph will be explained with the DSC analysis later.

3.3 Thermal Characterizations
In the case of TPU/Suberin composites crystallization and melting peak is distinctly existed below 50oC unlike TPU without Suberin (Fig. 8). The crystallization peak at -8oC and the melting peak around 26oC. Comparatively analyzing this with the thermal analysis of Suberin (Fig. 9), its glass transition temperature is -8oC. Thus, its chain mobility is increased and results in crystallization of the soft segment in TPU/Suberin composites. Around 26oC crystals influenced on Melting of soft segment. The temperature where it occurs is equal to the cross point in the storage modulus. Melting of Suberin is started around 41oC. It can be seen that it is the specific temperature of when the loss modulus changes.
In the case of TPU/Suberin composites two different melting peaks are existed over 200oC unlike TPU without Suberin (Fig. 10a). That indicates that TPU/Suberin composites have two types of hard segment crystal domain [15]. In the cooling curves, (Fig. 10b) as the temperature decreases, the mobility of polymer chains decreases and phase separation is also limited. At that time, hard segment crystal domains are created in composites. As the Suberin content increases, the enthalpy at the crystallization peak decreases and the crystallization temperature increases. The decrease of enthalpy in cold crystallization is occurred because heterogeneous crystallization is required less energy than homogeneous crystallization [19]. As a result, when Suberin is added to TPU, heterogeneous crystallization is generated and it increases crystallinity of composite.

3.4 Morphology
The SEM images of the fracture surface of TPU/Suberin composites show that as the content of Suberin increases, the irregularity of the fracture surface increases (Fig. 11). It indicates that the distance between crystal domains of the hard segment get closer [20]. The reason for this change in morphology is that the polar terminal functional group in the chemical structure of Suberin creates new nucleation sites in TPU forming heterogeneous crystals.

Fig. 1

FT-IR result of Suberin

Fig. 2

1 H NMR result of Suberin

Fig. 3

Expected chemical structure of Suberin

Fig. 4

Stress-strain curve of TPU/Suberin composites

Fig. 5

Tan δ value of TPU/Suberin composites

Fig. 6

Storage modulus of TPU/Suberin composites

Fig. 7

Loss modulus of TPU/Suberin composites

Fig. 8

DSC results of TPU/Suberin composites

Fig. 9

DSC results of TPUS10 and Suberin

Fig. 10

(a) DSC results of TPU/Suberin composites around 200oC, (b) DSC results of TPU/Suberin composites when cooling

Fig. 11

EM image of cross-section view of TPU/Suberin composites (a) TPUS0, (b) TPUS5, (c) TPUS10

Table 1

Compositions of the composites

Table 2

GPC result of Suberin

Table 3

Elastic modulus of TPU/Suberin composites

Table 4

Tan δ value and glass transition temperature of TPU/ Suberin composites

Table 5

Cold crystallization temperature and enthalpy of TPU/ Suberin composites

4. conclusions

In this study, the elastic modulus increases 92% and damping factor increases 59% at room temperature by adding 10 wt% Suberin which is from cork as eco-friendly filler in TPU. This is a result that goes beyond the existing trade-off relationship between elastic modulus and vibration damping effect. Those mechanical characteristics occur since Suberin affects the microstructure of thermoplastic polyurethane, changing the way crystals are formed. Increasing of elastic modulus and damping factor at room temperature improves durability and brings noise and vibration reduction. With these unique performances, TPU/Suberin composite is suitable for caster wheel that do not require high speed drive. In addition, in the digital mobile case markets where TPU, polycarbonate, and silicone rubber are the main products, the content protection performance can be upgraded by adding Suberin to recyclable and biodegradable TPU.

Acknowledgements

This research was supported by the Technology Innovation Program (20013794, Center for Composite Materials and Concurrent Design) funded by the Ministry of Trade, Industry & Energy (Motie) and the National Research Foundation of Korea (NRF) grant funded by the Korea government (MSIT). (No. 2022R1A2C3011968). Also following are results of a study on the “Leaders in INdustry-university Cooperation 3.0” project, supported by the Ministry of Education and National Research Foundation of Korea.

References
  • 1. Amin, K.N.M., Amiralian, N., Annamalai, P.K., Edwards, G., Chaleat, C., and Martin, D.J., “Scalable Processing of Thermoplastic Polyurethane Nanocomposites Toughened with Nanocellulose”, Chemical Engineering Journal, Vol. 302, 2016, pp. 406-416.
  •  
  • 2. He, Y., Xie, D., and Zhang, X., “The Structure, Microphase-separated Morphology, and Property of Polyurethanes and Polyureas”, Journal of Materials Science, Vol. 49, 2014, pp. 7339-7352.
  •  
  • 3. Rizvi, R., and Naguib, H., “Porosity and Composition Dependence on Electrical and Piezoresistive Properties of Thermoplastic Polyurethane Nanocomposites”, Journal of Materials Research, Vol. 28, 2013, pp. 2415-2425.
  •  
  • 4. Strankowski, M., Korzeniewski, P., Strankowska, J., Anu, A.S., and Thomas, S., “Morphology, Mechanical and Thermal Properties of Thermoplastic Polyurethane Containing Reduced Graphene Oxide and Graphene Nanoplatelets”, Materials, Vol. 11, 2018, pp. 1-18.
  •  
  • 5. Prabhakar, M.N., Shah, A.U.R., and Song, J.-I., “Thermal and Mecanical Properties of Waste Ground Nut-shell Reinforced Polyester Composites”, Composites Research, Vol. 28, Issue 3, 2015, pp. 118-123.
  •  
  • 6. Shah, A.R.R., Prabhakar, M.M., Lee, D., Kim, B., and Song, J., “Development and Characterization of Oyster Shell Powder Filled Polypropylene Composite”, Composites Research, Vol. 27, Issue 5, 2014, pp. 201-206.
  •  
  • 7. Jagadeesh, D., Sudhakara, P., Kim, H.S., Kim, B.S., and Song, J.I., “Mechanical Properties of Corn Husk Flour/PP Bio-composites”, Composites Research, Vol. 26, Issue 4, 2013, pp. 213-217.
  •  
  • 8. Tehran, C., Shelesh-Nezhad, K., Kalajahi, F., Olad, A., “A Study on Effect of TPU and Clay Nanoparticles on the Mechanical Behavior of PBT-Based Nanocomposites,” Mechanics of Advanced Composite Structures, Vol. 4, 2017, pp. 16-17.
  •  
  • 9. Taib, R.M., Khairuddin, N.M.A., and Ishak, Z.A.M., “The Influence of Alkali Treatment and Compatibilizer Addition on the Tensile Properties and Water Absorption Behavior of Polypropylene/Kenaf Fiber Composites,” Advanced Materials and Engineering Technologies, Vol. 626, 2012, pp. 449-453.
  •  
  • 10. Khalifa, M., Anandhan, S., Wuzella, G., Lammer, H., adn Mahendran, A.R., “Thermoplastic Polyurethane Composites Reinforced with Renewable and Sustainable Fillers – A Review”, Polymer-Plastics Technology and Materials, Vol. 59, Issue 16, 2020, pp. 1751-1769.
  •  
  • 11. Gandini, A., Neto, C.P., and Silvestre, A.K.D., “Suberin: A Promising Renewable Resource for Novel Macromolecular Materials”, Progress in Polymer Science, Vol. 31, Issue 10, 2006, pp. 878-892.
  •  
  • 12. Oliveira, H.D., Yoon, B., Michaud, V., Nam, J., and Suhr, J., “All Natural Cork Composites with Suberin-based Polyester And Lignocellulosic Residue”, Industrial Crops and Products, Vol. 109, 2017, pp. 843-849.
  •  
  • 13. Menega, C., Guigo, N., Vincent, L., and Sbirrazzuoli, N., “Suberin from Cork as a Tough Cross-Linker in Bioepoxy Resins”, ACS Applied Polymer Materials, Vol. 3, No. 12, 2021, pp. 6090-6101.
  •  
  • 14. Yoon, B., Kim, J., Hong, U., Oh, M.K., Kim, M., Han, S.B., Nam, J., and Suhr, J., “Dynamic Viscoelasticity of Silica-filled Styrene-butadiene Rubber/polybutadiene Rubber (SBR/BR) Elastomer Composites”, Composites Part B: Engineering, Vol. 187, 2020, 107865
  •  
  • 15. Yoon, H., “Study on Suberin/PLA Blend with Improved Plasticity Based on Natural Resource Extracts”, Master Thesis, Sungkyunkwan University, 2023.
  •  
  • 16. Pereira, H., Cork: Biology, Production and Uses, Elsevier Science, 2007.
  •  
  • 17. Lakes, R.S., “High Damping Composite Materials: Effect of Structural Hierarchy”, Journal of Composite Materials, Vol. 36, Issue 3, 2002, pp. 287-297.
  •  
  • 18. Hossieny, N., Shaayegan, V., Ameli, A., Saniei, M., and Park, C.B., “Characterization of Hard-segment Crystalline Phase of Thermoplastic Polyurethane in the Presence of Butane and Glycerol Monosterate and its Impact on Mechanical Property and Microcellular Morphology”, Polymer, Vol. 112, 2017, pp. 208-218.
  •  
  • 19. Gupta, Y.N., Abbas, S.M., Sharma, R.B., and Setua, D.K., “Crystallization Kinetics of Polyurethane Nanocomposites”, Journal of Thermal Analysis and Calorimetry, Vol. 119, 2015, pp. 1393-1405.
  •  
  • 20. Pedrazzoli, D., and Manas-Zloczower, I., “Understanding Phase Separation and Morphology in Thermoplastic Polyurethanes Nanocomposites”, Polymer, Vol. 90, 2016, pp. 256-263.
  •  

This Article

Correspondence to

  • Jonghwan Suhr
  • * Department of Polymer Science and Engineering, Sungkyunkwan University
    *** Department of Mechanical Engineering

  • E-mail: suhr@skku.edu