Original Article
  • A Study on Increased Properties of Cellulose-Based Biodegradable Polymer Composites
  • Sangjun Hong*, Ajeong Lee*, Sanghyeon Ju*, Youngeun Shin*, Teahoon Park*†

  • Composites Research Division, Korea Institute of Materials Science (KIMS), South Korea

  • 셀룰로오스 기반 생분해성 고분자 복합재의 물성 증가에 관한 연구
  • 홍상준* · 이아정* · 주상현* · 신영은* · 박태훈*†

  • This article is an open access article distributed under the terms of the Creative Commons Attribution Non-Commercial License (http://creativecommons.org/licenses/by-nc/4.0) which permits unrestricted non-commercial use, distribution, and reproduction in any medium, provided the original work is properly cited.

Abstract

Growing environmental concerns regarding pollution caused by conventional plastics have increased interest in biodegradable polymers as alternative materials. The purpose of this study is to develop a 100% biodegradable nanocomposite material by introducing organic nucleating agents into the biodegradable and thermoplastic resin, poly(lactic acid) (PLA), to improve its properties. Accordingly, cellulose nanofibers (CNFs), an eco-friendly material, were adopted as a substitute for inorganic nucleating agents. To achieve a uniform dispersion of cellulose nanofibers within PLA, the aqueous solution of nanofibers was lyophilized to maintain their fibrous shape. Then, they were subjected to primary mixing using a twin-screw extruder. Test specimens with double mixing were then produced by injection molding. Differential scanning calorimetry (DSC) was employed to confirm the reinforced physical properties, and it was found that the addition of 1 wt% CNFs acted as a reinforcing material and nucleating agent, reducing the cold crystallization temperature by approximately 14oC and increasing the degree of crystallization. This study provides an environmentally friendly alternative for developing plastic materials with enhanced properties, which can contribute to a sustainable future without consuming inorganic nucleating agents. It serves as a basis for developing 100% biodegradable green nanocomposites


기존의 상용 플라스틱으로 인한 환경 오염에 대한 우려가 높아지면서 대체 재료로서 생분해성 고분자에 대한 연구가 주목을 받고 있다. 본 연구는 생분해성 열가소성 수지인 폴리 젖산에 유기 핵제의 도입으로 물성 강화 및 100% 생분해 가능한 나노복합재 개발을 목표로 한다. 그에 따라 무기 핵제의 대체재로 친환경 소재인 셀룰로오스 나노섬유를 채택하였다. 폴리 젖산 내 셀룰로오스 나노섬유의 균일한 분산을 위해 동결 건조 방식으로 나노화된 섬유 형상을 유지시켰으며, 이축압출기로 1차 교반을 진행하고, 사출 성형을 통해 이중 교반된 물성 시험용 시편을 제작하였다. 보강된 결정성을 확인하기 위해 시차주사 열량분석법을 사용하였고 1 wt%의 셀룰로오스 나노섬유가 보강재 및 핵제로서 작용하여 냉결정화온도가 약 14oC 가량 감소하며, 결정화되는 정도 또한 증가한 것을 확인하였다. 본 연구는 기존 생분해성 고분자의 무기 핵제를 유기 나노소재로 대체함으로써 100% 생분해 가능한 친환경 나노복합재 개발하여 강화된 물성의 플라스틱 소재 개발을 위한 친환경적 대안을 제시한다


Keywords: 셀룰로오스 나노섬유(Cellulose nanofiber), 폴리 젖산(Polylactic acid), 나노복합재(Nano-composite), 생분해성 고분자(Biodegradable polymer), 핵제(Nucleating agent)

1. 서 론

플라스틱 소재는 쉽게 분해되지 않는 단점이 있지만, 열을 통해 쉽게 성형이 가능하며 제조 및 가공 비용이 싸다는 장점을 가지고 있어 거의 모든 산업 분야에서 많이 활용되고 있다[1]. 하지만 소모된 플라스틱을 처리하는 과정 중 잘 분해되지 않는 성질에 의해 매립할 경우 토양이 황폐화되고, 이를 소각할 경우 맹독성 다이옥신 검출로 인한 대기 오염이 발생할 수 있다. 이러한 단점을 해결하기 위해 자연 상태에서도 1~2년 사이에 유해하지 않은 분해물로 쉽게 분해될 수 있는 생분해성 플라스틱에 대한 필요성이 지속적으로 강조되어 왔다. 그 중에서도 범용 플라스틱을 대체하기 위한 생분해성 플라스틱에 대한 연구가 특히 더 많이 진행되고 있다[2,3]. 현재 우리가 사용하고 있는 많은 양의 범용 플라스틱을 생분해성 고분자로 대체하여 자연계의 물질 순환사슬에 포함시킬 수 있다면 환경보전에 큰 도움이 될 것으로 보인다[4].
이러한 생분해성 플라스틱 중에서도 PLA의 경우 대표적인 생분해성, 열가소성 폴리에스터로, 타 생분해성 플라스틱에 비해 뛰어난 열 생분해성을 가지고 있다. 또한 생체 내에서 안전한 물질로 가수분해 가능하기 때문에 일회용품에 사용될 뿐만 아니라 생체의료 고분자로서 사용된다[5,6]. 원료인 lactic acid의 경우 옥수수 전분, 카사바 뿌리, 사탕 수수로부터 얻을 수 있기 때문에 석유계 플라스틱에 대한 친환경적인 대안이 될 수 있다. PLA의 경우 이러한 전분의 포도당을 발효시켜 만들 수 있다. Fig. 1에서 나타나는 것처럼 lactic acid를 이용해 축합 반응을 통해 PLA를 생산할 수 있다. 또한 PLA는 Fig. 1에서처럼 C=O와 같은 관능기 덕분에 분해가 가속화된다. 또한 PLA는 분자량, 결정화도 및 조성에 따라 기계적, 열적 특성이 제어 가능하기 때문에 다양한 목적을 가진 제품을 생산하는 원료로서 사용 가능하다.
PLA는 다양한 일회용품의 원재료로 사용되지만 사출 성형 이후 다른 플라스틱 성형품에 비해 낮은 결정화도를 가지며, 이로 인해 강도 및 충격 내성과 같은 기계적인 특성에서 다소 저하된 성능을 보인다[7,8]. 따라서, 본 연구는 본문에서 언급된 PLA의 단점을 극복하고자 친수성인 Cellulose 기반의 CNF(cellulose nano fiber)를 보강재 및 핵제로 활용하여 PLA 성형품의 결정화도 증가 및 기계적 특성 향상에 목적을 두고 연구를 진행하였다. 친수성의 CNF는 화학적인 표면 개질 없이 첨가되었으며, 이축압출기 및 사출 성형을 통해 소수성인 PLA에 분산시켜 나노복합재를 완성하였다.
최적의 압출 및 사출 조건을 통해 제조된 나노복합재는 먼저 내부에 분산된 CNF의 관찰을 통해 핵제 역할의 가능성을 판단하고, CNF의 첨가 영향으로 인한 물성 강화에 대한 결과를 수치화 하여 결정화도 및 기계적 특성 분석을 진행하였다.

Fig. 1

Scheme of PLA polymerization by condensation reaction

2. 실 험

2.1 재료
PLA는 Nature Works(Minneapolis, MN, USA)의 4032D 수지를 사용했다. 본 수지는 155-170oC의 녹는점을 가지며, 1.24 g/ml의 밀도를 가진다. Nano cellulose 소재를 제작하기 위한 cellulose 원소재로는 Sigma Aldrich(St. Louis, MO, USA)의 C6288 제품을 구매하여 사용했다.

2.2 시편 제작
CNF 제조를 위해 Cellulose 고형분을 1 wt%의 수분산액으로 준비하였다. 이후 고압균질기(NH500, ILSHIN Autoclave, Daejeon, Republic of Korea)를 기반으로 나노화과정을 통해 수계에서 분산시켰으며, 이를 Aerogel로 제작하기 위해 동결건조기(FDCF-12012, Operon, Seoul, Republic of Korea)를 사용하였다. 건조된 CNF aerogel은 rotor mill (PULVERISETTE 14, Fritsch, Idar-Oberstein, Germany) 장비를 사용하여 분쇄하였다. 80oC의 진공 상태에서 2시간 동안 건조된 PLA 팰릿과 CNF를 교반한 다음 Fig. 2(a)의 이축압출기(TSE 16 TC, Thermo Fisher Scientific, Waltham, MA, USA)를 통해 압출 과정을 진행하였다. 압출 조건은 Table 1에 정리하였다.
이후 압출된 나노복합재는 특성 분석을 위해 Fig. 2(b)의 사출기(Selex-NE-55, Woojin Plaimm, Daejeon, Republic of Korea)로 사출성형 하였다. 사출 조건은 Table 2와 같으며 첨가제로서의 CNF 함량은 1 wt%로 고정하였다.
CNF가 첨가되지 않은 pristine 시편의 경우 동일한 조건에서 실험을 진행하기 위해 팰릿을 첨가제 없이 이축압출기에서 압출 과정을 1회 진행 후 사출을 진행하였다.

2.3 실험 과정
DSC 분석은 시차주사열량계(Q2000, TA Instruments, Newcastle, DE, USA)를 사용하여 10oC/min의 속도로 비활성기체 분위기에서 진행하였으며 25oC에서 200oC까지 진행하였다. 또한 열이력에 의한 효과를 없애기 위해 2 cycle 진행하였다.
SEM 관찰은 주사전자현미경(JSM-7900F, Jeol, Seoul, Republic of Korea)를 사용하였다. 시편의 경우 액체질소를 사용하여 냉각한 다음 파단하여 최대한 깨끗한 단면 형상을 관찰하였다.
Rheometer 측정의 경우 유변물성 측정기(MCR 302, Anton Paar, Graz, Austria)를 사용하여 가해진 열량 차이에 의한 결과 오차가 없도록 시편에 동일한 주변 온도와 가열 시간을 가하였다. 또한 동일한 사각형 모양의 가로와 세로가 10 mm인 시편을 사용하였다.
DMA 측정은 동적기계분석기(Q800, TA Instruments, Newcastle, DE, USA)를 사용해 시편크기 63 × 12.8 × 3.5 mm3 샘플을 준비하였고, 25oC에서 150oC까지 3oC/min 조건으로 승온하여 측정하였다.

Fig. 2

Image of a twin-screw extruder and injection molding unit

Table 1

Conditions of twin screw extruder for producing polymer pellet

Table 2

Conditions of injection molding unit for synthesizing the specimens for test

3. 결 과

3.1 시편 형상
압출과 사출 성형 과정을 통해 제조된 시편의 경우 CNF의 첨가 유무에 따라 상이한 색상으로 관찰되었다. pure PLA 팰릿 시편의 경우 Fig. 3(a)와 같이 투명한 특성을 보이지만, CNF가 첨가된 Fig. 3(b) 시편의 경우 불투명하며 성형 후 변화된 색상으로 나타났다. Fig. 3의 (a), (b)와 같은 사출물의 색상 변화는 첨가된 CNF의 핵제 역할로 결정화도가 증가되어 나타나는 특성[9]으로 CNF가 PLA 내부에 분산되어 핵제 역할로 작용함을 알 수 있다. Fig. 3(c)와 (d)의 SEM 이미지에서 관찰되듯이 CNF aerogel은 섬유 형상에 따른 종횡비로 인해 PLA 내부에서 핵제 역할이 가능하며[10], 이에 의해 PLA 나노복합재의 기계적 강도를 증가시킬 수 있다. 또한, CNF를 aerogel로 건조하는 방식은 섬유 형상의 보존이 가능하기에 수지 내에서의 분산성이 향상되어 결정화도 증가에 큰 영향을 미칠 것으로 관찰된다.

3.2 DSC 측정
DSC 분석은 압출과 사출 성형을 통해 제작된 시편을 어닐링(Annealing)하여 진행하였다. 이는 PLA 기반 제품의 경우 열처리 또는 연신을 통해 결정화도를 증가시켜서 판매되고 있기 때문에 이와 유사한 조건으로 시험하기 위해 수행하였다. 그리고 어닐링 공정은 성형 이후 표면에 존재하는 잔류응력을 제거할 수 있어 성형품의 균열이나 후수축이 더 이상 발생되지 않기 때문에 제품 본연의 정확한 물성 분석이 가능하다[11]. 어닐링은 100oC에서 4시간 동안 진행하였다. DSC 장비는 PLA 나노복합재에 첨가된 CNF의 유무에 따른 결정성의 차이를 관찰하기 위해 25oC에서 200oC까지 설정하여 분석하였다.
Fig. 4(a)와 Table 3의 결과로 보아 첫번째 cycle에서는 두 폴리머 사이에 결정성의 큰 차이가 없음을 확인할 수 있었다. 하지만 두번째 cycle에서는 냉결정화 온도 영역에서 큰 차이가 있었다. Fig. 4(b)와 Table 3에서 보이는 것처럼 CNF/PLA의 경우 pure PLA보다 훨씬 낮은 온도에서 냉결정화 온도(Tcc)가 나타나는 것을 확인할 수 있었다.
냉결정화 온도의 감소는 CNF가 보강재이자 핵제 역할로 작용함을 증명한다[12]. CNF/PLA의 Tcc에 해당하는 peak의 폭이 좁고, 넓이가 큰 것으로 미루어 보아, 냉결정화 온도가 CNF에 의해 약 14oC 낮은 온도에서 시작되고 결정화 되는 정도가 더 큰 것을 확인할 수 있었다. Tg의 변화는 크지 않기에 CNF가 가소제 기능까지는 나타내지 않는 것을 추론할 수 있었다[13]. 이 결과로 미루어 보아 CNF가 핵제로서 작용하여 PLA 수지 내부에서 결정 생성 돕는 것을 알 수 있다. 그리고 냉결정화 이후에 용융 peak를 확인하면 CNF/PLA에서 두 가지 결정 구조가 형성된 것도 확인할 수 있다.

3.3 주사전자현미경 관찰
제작된 시편을 액체 질소를 이용하여 절단한 다음 절단면을 주사전자현미경으로 관찰하였다. 시편을 얻은 위치에 따라 생기는 차이를 없애기 위해 두께 5 mm인 직사각형 모양의 사출물의 가운데 영역을 파단 후 관찰하였다. Fig. 5(a)와 (b)에서 보이는 것처럼 1 wt% 첨가된 CNF 첨가제가 PLA 수지 내에서 잘 분산되어서 미세한 섬유상을 가지는 것을 볼 수 있었다. 이와 같은 경향은 더욱 확대된 이미지에서 크게 나타났다. 순수한 PLA인 Fig. 5(c)에서는 비교적 매끈한 표면을 가졌으며 섬유상이 보이지 않는 반면에 CNF를 첨가한 Fig. 5(d)의 경우에는 섬유들이 일부 군집되거나 PLA 수지에 섬유의 형태로 잘 분산된 것을 볼 수 있었다. 군집된 입자의 크기가 기존 무기물 핵제의 크기와 유사한 범위에 속하고 있음을 확인하였다.
3.4 Rheometer 측정
CNF가 첨가된 PLA 수지의 유변 물성 특성을 파악하기 위해 Rheometer 장비를 통해 점도를 측정하였다. CNF가 들어간 복합재의 경우 pure PLA 보다 높은 점도를 가지는 것을 확인할 수 있었다. 이는 첨가된 나노 필러로 인해 생성된 증점 효과로 Fig. 3(c)에서 나타난 CNF의 네트워크 구조와 PLA 수지의 얽힘으로 인한 결과이다. 특히 CNF의 첨가로 인한 낮은 전단율 영역(0.5 rad/s)의 점도 상승률은 1,651 Pa·s에서 2,323 Pa·s로 약 41%가 상승하였지만, 높은 전단율 영역(100 rad/s)은 808 Pa·s에서 974 Pa·s로 약 20%만 상승하였다. 이는 가해진 전단응력으로 인해 CNF와 PLA 수지의 얽힘과 CNF 네트워크 구조 또한 풀어지기 때문이다. 그러므로 초기 형태에는 선형의 보강재인 CNF가 PLA 수지 내에서 네트워크 구조를 잘 형성한 것으로 예측된다.

3.5 DMA 측정
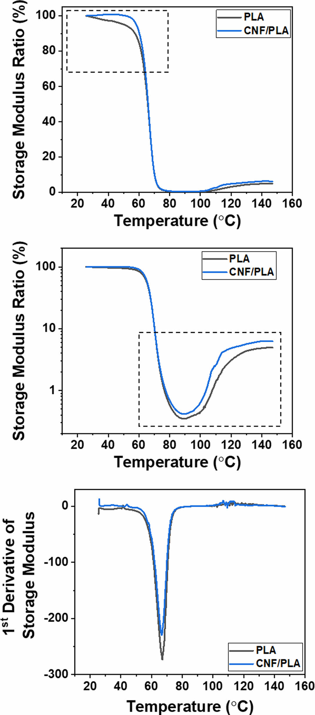
CNF가 PLA의 기계적 특성에 어떤 영향을 미치는지, 그리고 DSC의 결과에서 확인된 결정화 효과와 어떤 연관성을 가지는 지 확인하기 위해 DMA 측정을 진행하였다. PLA의 Tg 온도를 넘어서면서 가파른 modulus 감소가 확인된다. 다만 Tg 온도인 58oC 기준으로 초기 storage modulus 대비 비율을 확인하면 PLA는 88.9%, CNF/PLA는 95.4%이다. 이는 소량의 나노 필러 소재의 첨가로 인해 Tg 온도에서도 storage modulus가 초기 대비 잘 유지됨을 보여준다. Tg 온도를 지나면서 storage modulus 가 가장 낮은 시점에서도 Fig. 6 결과와 유사하게 CNF/PLA 복합재의 storage modulus ratio가 높게 유지됨을 확인할 수 있다. 이는 Fig. 7(c)의 storage modulus의 1차 미분 그래프에서도 동일하게 확인된다. DSC에서 Tcc를 더 낮은 온도로 낮출 수 있는 부분은 DMA에서 storage modulus가 높아지는 구간과 연관하여 검증할 수 있다. PLA와 CNF/PLA의 Tcc의 사이에 있는 115oC에서의 storage modulus ratio를 보면 PLA가 2.29%, CNF/PLA는 4.24%로 용융점에 다가가면서 crystal perfection과 melting이 경쟁하는 구간임에도 1.85배 정도 높은 값을 나타냈다. 이는 CNF의 첨가로 인해 Tg 부근에서의 storage modulus 유지 및 핵제 역할을 통해 빠른 storage modulus의 회복이 가능함을 확인할 수 있는 결과이다. Fig. 8

3.6 TGA 측정
PLA와 CNF/PLA의 열적 안정성을 확인하기 위하여 TGA 분석을 진행하였다. 10oC/min 승온 속도로 air 분위기에서 500oC까지 측정하였다. 일반적으로 유기나노소재의 첨가로 인한 내열성 부분에서는 큰 변화는 확인되지 않는다. CNF/PLA의 TGA 결과를 보면, 200oC를 넘어서면서 CNF의 연소되는 시점이 확인되고 복합재 내의 CNF 함량만큼 중량감소가 나타난다[14]. PLA의 열분해가 가장 빠르게 진행되는 온도는 360oC인데 이 부분은 큰 변화를 나타내지 않았다[15]. 이는 CNF의 첨가로 인해 PLA의 열적 내구성이 감소하지 않는 것으로 판단할 수 있다.

Fig. 3

Optical image of pure PLA (a) and CNF/PLA (b) specimen and SEM images of CNF aerogel (c) and (d)

Fig. 4

DSC result of pure PLA and CNF/PLA (a) the first cycle and (b) the second cycle (exo up, 10oC/min)

Fig. 5

SEM images of neat PLA (a) and (c), CNF/PLA composite (b) and (d) with different scale

Fig. 6

Rheological analysis results of pure PLA and CNF/PLA

Fig. 7

DMA results of PLA and CNF/PLA (a) storage modulus ratio (b) storage modulus ratio in log scale and (c) 1st derivative of storage modulus v.s. temperature

Fig. 8

TGA analysis of PLA and CNF/PLA composite

Table 3

DSC result of CNF/PLA and PLA (10oC/min, from 25oC to 200oC)

4. 결 론

본 연구에서는 CNF를 PLA 복합재에서 보강재 및 핵제로서 사용하였다. CNF의 나노형상을 반영하기 위하여 동결건조를 통해 CNF를 건조하였고, 수 nm의 직경이 유지된 aerogel 형상을 PLA와 혼합하여 나노복합재를 개발하였다. 전처리를 하지 않은 CNF임에도 불구하고 소수성의 PLA 수지 내부에 이축압출기를 통해 분산시킬 경우 결정성을 증가시킬 수 있음을 확인했다. DSC 결과를 통해 결정성을 측정해본 결과 CNF가 들어간 CNF/PLA의 경우 neat PLA에 비해 14oC 가량 낮은 냉결정화 온도를 가지는 것을 확인할 수 있었다. 또한 냉결정화 되는 정도 또한 CNF/PLA가 큰 것을 확인할 수 있었다. SEM 기기를 통해 형상을 확인한 결과, CNF가 PLA 수지 내에 잘 분산되었으며, Rheometer 장비를 통한 점도 관찰 결과, CNF가 들어간 경우 CNF가 PLA 매질 내에 잘 분산되어 점도를 증가시킨 것을 확인할 수 있었다. DMA, TGA 분석 결과를 통해서도 DSC 결과와 연관하여 냉결정화 진행 및 storage modulus 변화가 경향성을 가지는 것을 확인하였다. 이러한 결과를 바탕으로 보아, CNF는 기존의 PLA에 사용되는 무기 핵제를 대체하는 친환경 생분해 핵제 소재로 작용할 수 있으며 이 경우 100% green chemistry 소재로 PLA를 활용할 수 있을 것으로 기대된다.

후기

이 연구는 2022년도 산업통상자원부 및 산업기술평가관리원(KEIT) 연구비 지원에 의한 연구임(RS-2022-00156142).

References
  • 1. Torkashvand, J., Emamjomeh, M.M., Gholami, M., and Farzadkia, M., “Analysis of Cost-benefit in Life-cycle of Plastic Solid Waste: Combining Waste Flow Analysis and Life Cycle Cost as a Decision Support Tool to the Selection of Optimum Scenario,” Environment, Development and Sustainability, Vol. 23, No. 9, 2021, pp. 13242–13260.
  •  
  • 2. Li, B.-H., and Yang, M.-C., “Improvement of Thermal and Mechanical Properties of Poly(l-lactic acid) with 4,4-methylene Diphenyl Diisocyanate,” Polymers for Advanced Technologies, Vol. 17, No. 6, 2006, pp. 439–443.
  •  
  • 3. Sinha Ray, S., Yamada, K., Okamoto, M., Ogami, A., and Ueda, K., “New Polylactide/layered Silicate Nanocomposites. 3. High-performance Biodegradable Materials,” Chemistry of Materials, Vol. 15, No. 7, 2003, pp. 1456–1465.
  •  
  • 4. Zhong, J., Zhang, L., Yu, J., Tan, T., and Zhang, X., “Studies of Different Kinds of Fiber Pretreating on the Properties of PLA/Sweet Sorghum Fiber Composites,” Journal of Applied Polymer Science, Vol. 117, No. 3, 2010, pp. 1385-1393.
  •  
  • 5. Garlotta, D., “A Literature Review of Poly(lactic acid),” Journal of Polymers and the Environment, Vol. 9, No. 2, 2001, pp. 63-84.
  •  
  • 6. Athanasiou, K., “Sterilization, Toxicity, Biocompatibility and Clinical Applications of Polylactic Acid/polyglycolic Acid Copolymers,” Biomaterials, Vol. 17, No. 2, 1996, pp. 93-102.
  •  
  • 7. Shi, Q.F., Mou, H.Y., Li, Q.Y., Wang, J.K., and Guo, W.H., “Influence of Heat Treatment on the Heat Distortion Temperature of Poly(lactic acid)/Bamboo Fiber/Talc Hybrid Biocomposites,” Journal of Applied Polymer Science, Vol. 123, No. 5, 2012, pp. 2828-2836.
  •  
  • 8. Kawamoto, N., Sakai, A., Horikoshi, T., Urushihara, T., and Tobita, E., “Physical and Mechanical Properties of Poly(l-lactic acid) Nucleated by Dibenzoylhydrazide Compound,” Journal of Applied Polymer Science, Vol. 103, No. 1, 2007, pp. 244–250.
  •  
  • 9. Aguero, A., Morcillo Md, C., Quiles-Carrillo, L., Balart, R., Boronat, T., Lascano, D., Torres-Giner, S., and Fenollar, O., “Study of the Influence of the Reprocessing Cycles on the Final Properties of Polylactide Pieces Obtained by Injection Molding,” Polymers, Vol. 11, No. 12, 2019, 1908.
  •  
  • 10. Ren, Q., Wu, M., Wang, L., Zheng, W., Hikima, Y., Semba, T., and Ohshima, M., “Light and Strong Poly(lactic acid)/cellulose Nanofiber Nanocomposite Foams with Enhanced Rheological and Crystallization Property,” The Journal of Supercritical Fluids, Vol. 190, 2022, 105758.
  •  
  • 11. Srithep, Y., Nealey, P., and Turng, L.S., “Effects of Annealing Time and Temperature on the Crystallinity and Heat Resistance Behavior of Injection-molded Poly(lactic acid),” Polymer Engineering & Science, Vol. 53, No. 3, 2013, pp. 580-588.
  •  
  • 12. Khuenkeao, T., Petchwattana, N., and Covavisaruch, S., “Thermal and Mechanical Properties of Bioplastic Poly(lactic acid) Compounded with Silicone Rubber and Talc,” AIP Conference Proceedings, Vol. 1713, 2016.
  •  
  • 13. Lee, G., Lee, H.M., and Kim, Y.H., “Thermal and Mechanical Properties of Poly(L-lactic Acid) Films Plasticized with Propylene Carbonate,” Polymer(Korea), Vol. 43, No. 1, 2019, pp. 113-122.
  •  
  • 14. Gan, P.G., Sam, S.T., Abdullah, M.F., and Omar, M.F., “Thermal Properties of Nanocellulose‐reinforced Composites: A Review,” Journal of Applied Polymer Science, 2019, Vol. 137, No. 11, 2020, pp. 48544.
  •  
  • 15. Qian, S., and Sheng, K., “PLA Toughened by Bamboo Cellulose Nanowhiskers: Role of Silane Compatibilization on the PLA Bionanocomposite Properties,” Composites Science and Technology, Vol. 148, 2017, pp. 59-69.
  •  

This Article

Correspondence to

  • Teahoon Park
  • Composites Research Division, Korea Institute of Materials Science (KIMS), South Korea

  • E-mail: thpark@kims.re.kr