Special Issue
  • Study on the Fiber Alignment using Vacuum Filtration Method
  • Sung-Kwon Lee*, Moo-Sun Kim**, Ho-Yong Lee**, Sung-Woong Choi*†

  • * Gyeongsang National University, Department of Mechanical System Engineering
    ** Korea Railroad Research Institute, Urban Railroad Research Department

  • Vacuum Filtration method를 이용한 단섬유(short fiber) 배열 영향성 분석
  • 이성권* · 김무선** · 이호용** · 최성웅*†

  • This article is an open access article distributed under the terms of the Creative Commons Attribution Non-Commercial License (http://creativecommons.org/licenses/by-nc/4.0) which permits unrestricted non-commercial use, distribution, and reproduction in any medium, provided the original work is properly cited.

Abstract

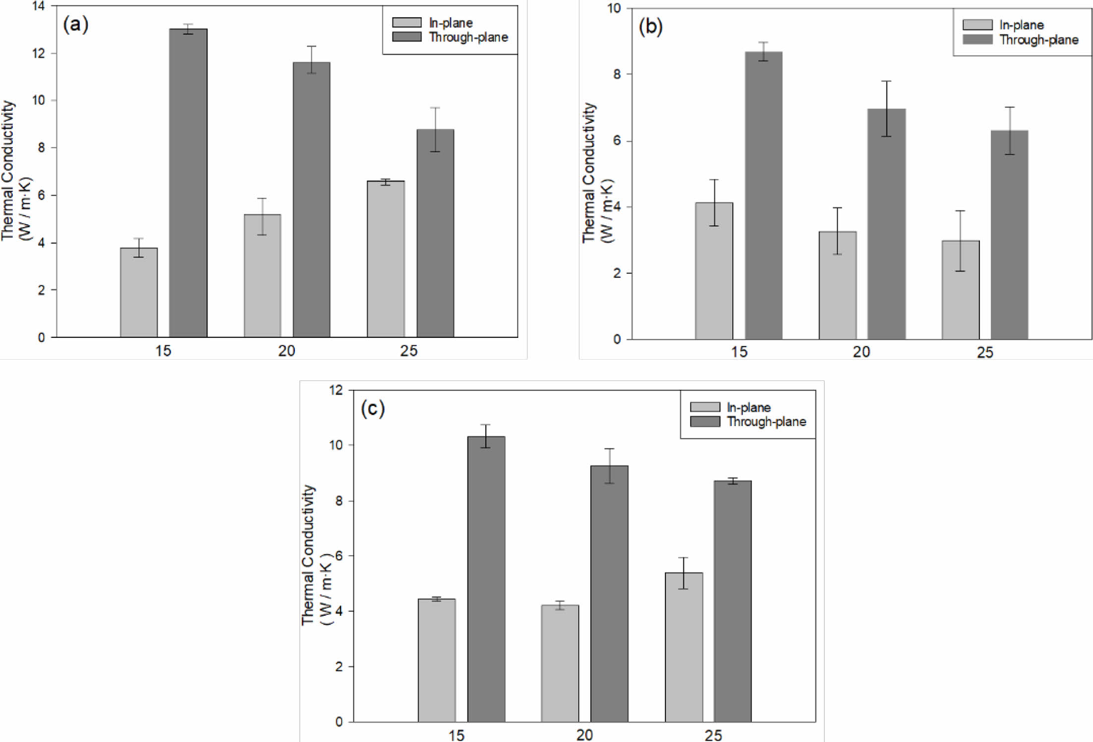
Although composite materials are increasingly utilized in general high-strength structures, the demand of performance characteristics as the multifunctional materials has been increased especially in the area of complex electronic devices. While the heat dissipation properties of devices are typically required properties, control of thermal property of composite material especially in the vertical direction is one of the problems to be solved due to its lamination process. In this study, CFRP was manufactured using the Vacuum filtration method for three types of solvent and CFs. In the composite material manufacturing process, the effect of solvent was examined using three solvents where solvents are most frequently used for the dispersion of fibers. Morphology of fiber was observed through a microscope to confirm the arrangement of CFs in the vertical direction. The alignment of fiber was examined through the measurement of the thermal conductivity of the manufactured specimen. For the thermal conductivity measurement, the higher thermal conductivity was obtained with the lower aspect ratio of CF. For the thermal conductivity in the through-plane direction, 8.687 W/m·K, 10.322 W/m·K, and 13.005 W/m·K of thermal conductivity was measured in the DMF, NMP and Acetone, respectively


복합재료는 일반적인 고강도 구조체에 활용성이 증가하고 있지만 최신의 복합적인 전자기기 내부 소자 등과 같은 multifunctional 재료들의 성능 특성 요구가 증가하고 있다. 기기의 방열 특성의 경우 대표적으로 요구되는 물성인 반면 복합재료의 경우 적층 공정으로 인해 수직 방향의 열적 특성 제어는 해결해야 될 문제 중 하나이다. 본 연구에서는 vacuum filtration 방법을 이용하여 Carbon fiber reinforced polymer를 제작하였다. 복합재료 제작 공정에서는 섬유들의 분산에 활용성이 가장 뛰어난 세 가지 solvent들을 사용하여 solvent의 영향을 살펴보았다. 또한 세가지의 aspect ratio를 가지는 단섬유 carbon fiber들의 수직 방향의 배열성을 확인하기 위해 현미경을 통한 morphology를 관찰하였고 제작된 시편의 열전도도 측정을 통해 배열성을 검토하였다. 시편의 열전도도 측정 결과 단섬유 carbon fiber의 aspect ratio가 낮을수록 높은 열전도도를 보였으며 through-plane 방향의 열전도도는 DMF, NMP, Acetone 순으로 각각 8.69 W/m·K, 10.32 W/m·K, 13.01 W/m·K의 증가되는 값을 보였다


Keywords: 열적 특성(Thermal characteristics), 단섬유(Short fiber), 진공여과(Vacuum filtration), 배열(Alignment)

1. 서 론

전자기기 내부의 소자는 기기가 작동할 때 열이 발생하고 열이 장기간 유지되면 기기의 성능 저하와 소재의 열화를 일으키기 때문에 발열을 효율적으로 제거하는 것이 중요하다. 소재의 방열특성은 기기의 수명과 성능에 영향을 미치므로 이를 향상시키기 위한 연구 및 개발이 이루어지고 있다[1,2]. 금속재료는 높은 열전도도로 인해 공냉 및 수냉 방식을 통해 발열문제를 해결하지만, 경량화 문제로 인해 금속을 대체하는 고열전도성 복합재료의 개발이 요구되고 있다[3]. 복합재료는 기재와 강화재의 혼합으로 이루어진 재료로써 단일 재료로는 한계가 있는 성능을 구현할 수 있으며 금속과 비교하여 우수한 비강성 및 비강도 및 경량화에 용이한 재료이다. 따라서 스포츠, 항공, 운송, 건축 등 다양한 분야에서 활용성이 높아지고 있다[4]. 강화재에 따라 복합재료의 특성이 달라지는데 용도에 따른 적합한 특성을 구현하기 위해 특정한 강화재 들을 사용하여 복합재료를 제작한다. 복합재료의 방열특성을 높이기 위해서 주로 사용되는 강화재는 CNT[5], Graphene[6], Carbon Fiber(CF)[7], Boron nitride(BN)[8] 등이 있으며 CFRP (Carbon Fiber Reinforced Polymer)는 높은 열전도도와 우수한 기계적 물성치를 가진다.
이와 같이 열전도성 복합재료의 열적 물성치는 기재 속 강화재에 많은 영향을 받기 때문에 강화재에 대한 연구가 다양하게 진행되고 있다. Zheng 등[9]은 BN과 구리입자를 결합하여 제작한 하이브리드 강화재로 CFRP를 제작하여 열전도도를 6.14 W/m·K까지 향상시켰다. Li 등[10]은 Graphene을 사용하여 복합재료를 제작하였고 11.8 wt.%에서 33.54 W/m·K의 값을 가지는 소재를 개발하였다.
본 연구에서는 세 가지 종류의 aspect ratio를 가지는CF들을 대상으로 vacuum filtration 방법을 이용하여 CFRP를 제작하였다. 복합재료 제작 공정에서는 섬유들의 분산에 활용성이 가장 뛰어난 세 가지 solvent들을 사용하여 solvent의 영향을 살펴보았다. CF들의 수직 방향의 배열성을 확인하기 위해 현미경을 통한 morphology를 관찰하였고 제작된 시편의 열전도도 측정을 통해 배열성을 검토하였다.

2. 실 험

2.1 시편 제작
본 실험에서 사용할 CFRP 제작을 위해 aspect ratio가 각각 15, 20, 25인 short carbon fiber(XN-100 series, D=10 mm, Nippon Graphite Fiber Corporation)와 Epoxy(YD-114, KUKDO)를 사용하였다. 최적 분산을 위해 세 종류의 solvent인 acetone(SK chemical), DMF(JUNSEI), NMP(JUNSEI)를 사용하였다. 시편 제작을 위해 Epoxy 100 g과 Hardener 80 g, solvent 30 ml, CF 20 g를 비커에 넣은 뒤 Hot plate로 혼합용액의 온도를 50oC로 맞추고 Homogenizer를 통해 500 RPM에서 4시간동안 혼합하였다. 혼합 solution을 가지고 vacuum filtration을 진행하였으며 vacuum filtration시 pore size가 1 μm 이하인 filter를 사용하였다. 제작된 시편의 경화를 위해 120oC 오븐에서 6시간 경화를 진행하였다.
2.2 시편 분석
시편 내부의 CF의 배열을 확인하기 위해 디지털 현미경(PRESTIGE 1.7x – 660x, TAGARNO)를 사용하여 시편 단면을 관찰하였다. TGA 분석을 통해 시편 속 CF 함량을 알아보았다.
2.3 열 물성치 측정
Vacuum filtration을 통해 제작된 시편 속 강화재는 Fig. 1과 같은 방향으로 배열되며 시편 속 강화재의 배열 방향은 In-plane과 Through-plane으로 구분하였다. 제작된 시편의 열전도도 측정을 위해 시편을 10 mm ∙ 10 mm ∙ 2 mm로 가공한 뒤 NETZSCH사의 LFA-467 모델을 사용하여 열전도도를 측정하였다.

Fig. 1

Representative fiber direction in specimen

3. 결 과

3.1 시편 단면 관찰 및 suspension 유체 특성
시편 제작 시 혼합액의 영향성을 알아보기 위해 서로 다른 solvent 하에서 세가지의 aspect ratio의 단섬유의 혼합액(suspension)의 점도를 측정하였으며 그 결과를 Table 1에서 볼 수 있다. 세 가지 solvent중 DMF, NMP, Acetone 순으로 점도가 증가하는 것을 볼 수 있었다[11]. Aspect ratio 별 점도의 차이는 섬유 길이에 따른 영향으로 섬유 길이가 짧을수록 다소 낮은 점도 값을 나타내는데 짧은 섬유들에서 유체의 유동성이 증가하여 낮은 점도를 가지게 된다. 이러한 경향은 유사 연구 결과 들에서 확인할 수 있다[12,13].
Aspect ratio가 낮은 단섬유의 suspension 혼합액을 이용했을 때 비교적 낮은 점도의 suspension 유체 환경이 만들어진다. 이러한 결과는 배열성을 부여하는 환경이 주어졌을 때 높은 점도의 유체환경보다는 상대적으로 낮은 점도의 유체환경에서 배열성이 잘 이루어지기 때문으로 볼 수 있다.
제작된 시편 속 fiber의 배열을 확인하기 위해 단면을 관찰하였고 이를 Fig. 2에 나타내었다. 단면 관찰 결과 fiber가 각 방향별로 배열이 되어 있음을 확인할 수 있었다. TGA 분석 결과 aspect ratio가 낮을수록 다소 높은 wt.%를 보였고 약 10% 내외의 결과값의 차이를 보였다.
3.2 열전도도 측정 결과
각 시편에 대해 열전도도를 측정한 결과를 Fig. 3와 Table 2, 3에 나타내었다. Through-plane 방향에서 세 가지 solvent에 대해 모두 Aspect ratio가 낮을수록 높은 열전도도를 보였으며 Acetone, NMP, DMF 순으로 높은 값을 보였다. Through-plane의 경우 aspect ratio가 25인 시편의 열전도도를 기준으로 했을 때 aspect ratio가 15인 시편의 열전도도는 순서대로 48.39%, 37.80%, 18.42%의 향상된 수치를 보였다. 이러한 결과를 통해 solvent와 fiber의 aspect ratio가 배열에 영향을 주는 것이라고 판단할 수 있다. Table 1의 결과에서 볼 수 있듯이 각 solvent 별 점도의 차이가 있을 뿐 아니라 각 aspect ratio 별로 각기 suspension 유체의 점도가 다른 것을 볼 수 있다. 즉 높은 aspect ratio의 fiber에서 상대적으로 높은 점도 값을 갖는 suspension 유체 환경이 만들어졌으며 높은 점도 suspension 유체 환경에서 성형 시 상대적으로 낮은 배열성이 부여되는 것을 열전도도 측정 결과를 통해서도 확인할 수 있었다.
하지만 사용된 세 가지 solvent 중 가장 낮은 점도를 갖는 DMF의 열전도도가 가장 낮은 것을 보면 무조건 점도가 낮을수록 열전도도가 높다고는 할 수 없고, 동일한 solvent 조건에서 aspect ratio의 차이로 인해 발생한 점도 차이가 배열에 영향을 줘서 열전도도에 차이가 발생한 것으로 사료된다.

Fig. 2

Cross-section of each specimen

Fig. 3

Thermal conductivity of specimen using (a) Acetone (b) DMF (c) NMP

Table 1

Viscosity of suspension with solvents and fibers under different aspect ratio

Table 2

In-plane thermal conductivity of each specimen

Table 3

Through-plane thermal conductivity of each specimen

4. 결 론

본 연구에서는 Vacuum filtration을 사용하여 CFRP를 제작하였고 세 가지 solvent와 aspect ratio를 갖는 CF를 사용하여 복합재료를 제작하였다. 현미경을 통해 제작된 시편의 단면을 관찰하였고 열전도도 측정을 통해 시편 속 CF의 배열성을 확인하였다. 열전도도 측정 결과, Through-plane 방향이 In-plane 방향보다 높은 열전도도를 보였으며 Acetone, NMP, DMF 순으로 각각 13.01 W/m·K, 10.32 W/m·K, 8.69 W/m·K의 높은 열전도도를 보였다. 이는 시편 제작에 사용된 solvent와 CF의 aspect ratio 차이로 인해 solution 용액의 점도가 달라졌으며 solution 유체 환경과 fiber의 특성이 vacuum filtration을 통한 CF 배열에 영향을 주기 때문이라고 판단된다. 본 연구를 통해 강화재의 배열에 미치는 영향을 확인할 수 있었으며 공정을 통해 나온 결과들을 이용하여 방열성 복합재료 제작에 활용할 수 있을 것으로 기대한다.

후기

본 연구는 한국철도기술연구원 주요사업(PK2303D4, 경전철시스템의 유지보수 기술 고도화 및 효율화 핵심기술개발)으로 수행된 것이며 지원에 대해 진심으로 감사드립니다.

References
  • 1. Hong, H., Bae, K.J., and Yu, J., “Effect of Boron Nitride on Mechanical Properties, Thermal and Electrical Conductivities of Carbon Fiber Reinforced Plastics,” Composites Research, Vol. 33, No. 3, 2020, pp. 153-160.
  •  
  • 2. Jeong, I., Kim, Y., and Goh, M., “Development of Highly Thermal Conductive Liquid Crystalline Epoxy Resins Bearing Phenylcyclohexyl Mesogenic Moieties,” Composites Research, Vol. 30, No. 6, 2017, pp. 350-355.
  •  
  • 3. Kim, S.Y., Noh, Y.J., Jang, J.U., and Choi, S.K., “Conductive Properties of Thermoplastic Carbon Fiber Reinforced Plastics Highly Filled with Carbon Fiber Fabrics and Conductive Carbon Fillers,” Composites Research, Vol. 34, No. 5, 2021, pp. 290-295.
  •  
  • 4. Khan, Z.I., Arsad, A., Mohamad, Z., Habib, U., and Zaini, M.A.A., “Comparative Study on the Enhancement of Thermo-mechanical Properties of Carbon Fiber and Glass Fiber Reinforced Epoxy Composites,” Materials Today: Proceedings, Vol. 39, 2021, pp. 956-958.
  •  
  • 5. Cho, H.K., “Nano-Composite's Mechanical and Radioactive Barrier Characteristics by Nano Size CNT & Graphite Particles Alignment,” Composites Research, Vol. 26, No. 6, 2013, pp. 355-362.
  •  
  • 6. Jung, S.Y., and Paik, K.W., “Effects of Alignment of Graphene Flakes on Water Permeability of Graphene-epoxy Composite Film,” 2014 IEEE 64th Electronic Components and Technology Conference (ECTC). IEEE, 2014.
  •  
  • 7. Choi, B.K., Lee, H.J., Choi, W.K., Lee, M.K., Park, J.H., Hwang, J.Y., and Seo, M.K., “Effect of Carbon Fiber Content on Thermal and Electrical Conductivity, EMI Shielding Efficiency, and Radiation Energy of CMC/PVA Composite Papers with Carbon Fibers,” Synthetic Metals, Vol. 273, 2021, 116708.
  •  
  • 8. Jiang, Y., Shi, X., Feng, Y., Li, S., Zhou, X., and Xie, X., “Enhanced Thermal Conductivity and Ideal Dielectric Properties of Epoxy Composites Containing Polymer Modified Hexagonal Boron Nitride,” Composites Part A: Applied Science and Manufacturing, Vol. 107, 2018, pp. 657-664.
  •  
  • 9. Zheng, X., Kim, S., and Park, C.W., “Enhancement of Thermal Conductivity of Carbon Fiber-reinforced Polymer Composite With Copper and Boron Nitride Particles,” Composites Part A: Applied Science and Manufacturing, Vol. 121, 2019, pp. 449-456.
  •  
  • 10. Li, M., Ali, Z., Wei, X., Li, L., Song, G., Hou, X., Do, H., Greer, J.C., Pan, Z., Lin, C.T., Jiang, N., and Yu, J., “Stress Induced Carbon Fiber Orientation for Enhanced Thermal Conductivity of Epoxy Composites,” Composites Part B: Engineering, Vol. 208, 2021, 108599.
  •  
  • 11. Lee, S.K., and Choi, S.W., “Effect of the Alignment of Milled Carbon Fiber Dispersed in Various Solvents,” Vol. 35, No. 1, 2022, pp. 47-51.
  •  
  • 12. Pu, L., Xu, P., Xu, M., Song, J., and He, M., “Effect of Fiber on Rheological Properties and Flow Behavior of Polymer Completion Fluids,” ACS Omega, Vol. 6, No. 27, 2021, pp. 17136-17148.
  •  
  • 13. Iwamoto, S., Lee, S.H., and Endo, T., “Relationship between Aspect Ratio and Suspension Viscosity of Wood Cellulose Nanofibers,” Polymer Journal, Vol. 46, No. 1, 2014, pp. 73-76.
  •  

This Article

Correspondence to

  • Sung-Woong Choi
  • Gyeongsang National University, Department of Mechanical System Engineering

  • E-mail: younhulje@gnu.ac.kr