Seong Jun Cheon*,**, Jae Ryung Choi*, Sang Bok Lee*, Je In Lee**, Horim Lee*†
* Department of Functional Composite, Korea Institute of Materials Science
** School of Materials Science and Engineering, Pusan National University
천성준*,**· 최재령*· 이상복*· 이제인**· 이호림*†
This article is an open access article distributed under the terms of the Creative Commons Attribution Non-Commercial License (http://creativecommons.org/licenses/by-nc/4.0) which permits unrestricted non-commercial use, distribution, and reproduction in any medium, provided the original work is properly cited.
In this study, we investigated the electromagnetic properties and microwave absorption characteristics of M-type hexagonal ferrites, which are known as millimeter-wave absorbing materials, according to their calcination temperature. The M-type ferrites synthesized using a molten salt-based sol-gel method exhibited a single-phase M-type crystal structure at calcination temperatures above 850°C. The synthesized particle size increased as well with the calcination temperature. Saturation magnetization increased gradually with increasing calcination temperature, but coercivity reached a maximum at 1050°C and then rapidly decreased. After preparing a thermoplastic polyurethane (TPU) composite containing 70 wt% of M-type ferrites, we measured the complex permittivity and permeability in the Q-band (33-50 GHz) and V-band (50-75 GHz) frequency ranges, where ferromagnetic resonance occurred. Strong magnetic loss from ferromagnetic resonance occurred in the 50 GHz band for all composite samples. Based on the measured results, we calculated the reflection loss of the TPU/M-type ferrite composite. By calculating the reflection loss of the M-type ferrite composite, the M-type ferrite calcined at 1250°C showed excellent electromagnetic wave absorption performance of more than -20 dB at 52 GHz with a thickness of about 0.5 mm
본 논문에서는 밀리미터파 대역 전자파 흡수 소재로 알려진 M형 육방정계 페라이트의 하소 온도에 따른 전자기적 특성과 전자파 흡수 특성에 대해 분석하였다. 용융염 기반 Sol-gel법으로 합성된 M형 페라이트는 850°C 이상의 하소 온도에서 모두 단상의 M형 결정구조를 가지며 하소 온도가 증가함에 따라 합성된 입자의 크기가 증가하였다. 또한 하소 온도가 증가함에 따라 포화자화는 조금씩 증가하는 반면 보자력은 1050°C에서 최대값을 보이며 그 이상의 하소 온도에서 급격히 감소하였다. M형 페라이트가 70 wt% 포함된 TPU 복합재를 제조한 후 강자성 공명이 발생되는 Q(33-50 GHz) 및 V(50-75 GHz) band 대역에서 복소 유전율/ 투자율을 측정한 결과 약 50 GHz 주파수 대역에서 강자성 공명에 의한 강한 자성손실을 확인하였다. 측정된 결과를 바탕으로 M형 페라이트 복합재의 반사손실을 계산한 결과 1250°C의 온도에서 하소된 M형 페라이트 복합재는 약 0.5 mm의 얇은 두께로도 강자성 공명이 일어나는 52 GHz 주파수 대역에서 -20 dB 이상의 우수한 전자파 흡수 성능을 보였다
Keywords: M형 페라이트(M-type ferrite), 자성 손실(Magnetic loss), 전자파 흡수(Electromagnetic wave absorption), 자성복합재료(Magnetic composite materials), 강자성 공명(Ferromagnetic resonance)
최근 밀리미터파 대역의 전자기파를 활용한 5G 무선통신기술은 4G 무선통신보다 높은 28 GHz 이상의 초고주파 대역을 활용하여 모바일 기기, 위성통신, 자율주행 레이더, 기상관측 등 다양한 분야에 활용되고 있다[1-3]. 하지만 이러한 초고주파 대역의 전자기파를 활용한 다양한 통신 서비스의 사용으로 인하여 EMI (Electromagnetic Interference)라고 불리는 전자기파 공해에 대한 우려가 증가하고 있으며 이러한 EMI 문제를 해결하기 위해 다양한 형태와 화학적 조성을 가지는 복합소재에 대한 연구가 활발히 이루어지고 있다[4-6].
EMI 차폐소재는 입사되는 전자기파와 상호작용하는 방식에 따라 반사기반의 차폐소재와 흡수기반의 차페소재로 구분할 수 있다. 과거에는 주로 전도성이 높은 금속계 소재를 활용하여 입사되는 전자기파를 소재의 표면에서 반사시키는 방식을 이용하여 EMI 문제를 해결하였다. Cu나 Ag, Ni과 같은 금속계 소재[7,8], CNT, graphene, 흑연 등과 같은 탄소계 소재[6,9,10] 등 주로 반사 기반의 차폐소재로 활용되었으며 최근에는 Mxene과 같이 고전도성 소재를 활용한 극박 필름 형태의 차폐소재가 활발히 연구되고 있다[1,11]. 이러한 반사 기반의 차폐소재는 다양한 주파수 및 환경에서 우수한 성능을 보이지만 반사된 전자기파에 의한 2차 간섭 문제가 발생할 수 있다.
이러한 반사기반 차폐소재의 단점을 해결하기 위해 흡수기반의 다양한 전자파 차폐 소재들이 개발되어왔다[12,13]. 흡수 기판의 차폐소재는 공기와 흡수체의 임피던스 정합을 통해 계면에서의 반사를 최소화시키면서 동시에 소재의 전자기 손실(유전손실 및 자성손실)을 이용해 목표 주파수에서 전자기파의 감쇠를 일으켜 전자파 흡수 성능을 유도할 수 있다. 이러한 흡수 기반의 전자파 차폐 소재를 활용하면 2차 반사에 의한 간섭 문제를 원천적으로 해결할 수 있지만 전자기파의 충분한 감쇠를 위해 흡수체의 두께가 두꺼워진다는 단점이 존재하며 대부분의 전자파 흡수 복합소재의 연구는 5G 주파수보다 낮은 주파수 대역에 한정되어 있다[14,15].
전자기파의 감쇠는 도전손실, 유전손실 및 자성손실을 통해 유도할 수 있다. 다만 도전손실의 경우 높은 전자기파의 반사를 함께 수반하므로 흡수 성능의 발현을 위해서는 소재의 유전손실 및 자성손실을 극대화할 필요가 있다. 유전손실의 경우 쌍극자의 진동에 의한 감쇠손실을 일으키지만 일반적으로 밀리미터파 대역에서 그 값이 크지 않아 전자기파의 감쇠에 큰 기여를 하기 어려우며 주파수 선택성이 낮아 활용이 어려운 경우가 많다. 이러한 유전손실의 특성 때문에 GHz 이상의 고주파 대역에서는 주로 자성손실을 이용한 전자기파 흡수 메커니즘에 대한 연구가 진행되고 있다[16]. 특히 최근 육방정계 결정구조를 가지는 M형 페라이트는 스피넬 페라이트보다 높은 자기이방성으로 인해 약 50 GHz 대역에서 강자성 공명(ferromagnetic resonance)에 의한 높은 자성손실이 나타나는 것으로 알려져 있어 밀리미터파 주파수 대역의 전자파 흡수 소재로 많은 주목을 받고 있다[17]. 강자성 공명이란 강자성체의 자화에 의해 세차운동을 하는 전자의 스핀과 입사되는 전자기파의 진동수가 일치할 때 발생하는 공명현상으로, 입사된 전자기파는 열로 변환되어 소실된다. 강자성 공명에 의한 자성손실은 소재의 자기적 특성과 연관이 있기 때문에 소재의 합성 단계에서 자기적 특성과 연관이 있는 인자를 제어함으로써 자성손실을 극대화시키고 최종적으로는 전자기파의 흡수 성능을 향상시킬 수 있을 것이라 예상된다.
M형 페라이트는 수십 GHz 대역에서 자성손실을 일으킬 수 있는 소재로 주목받고 있지만 대부분의 M형 페라이트를 활용한 전자파 흡수소재 연구는 자성손실이 없는 28 GHz 이하의 주파수 대역에 한정되어 있어 소재의 형상, 제조 공정 등과 같은 변수가 자성 손실과 전자파 흡수능에 미치는 영향에 대한 분석이 미흡한 실정이다 [18-20]. Zhao 등은 M형 페라이트 복합소재를 이용한 전자파 흡수체의 성능을 2~18 GHz 대역에 걸쳐 분석하였지만 M형 페라이트의 강자성 공명에 의한 자성손실을 활용하지 못해 5 mm의 두께에서 최적의 전자파 흡수능이 나타났으며 소재의 형상, 합성법 등에 따른 자성 손실의 변화가 뚜렷하게 나타나지 않아 자성손실을 극대화할 수 있는 소재의 합성 조건에 대해 제시하지 못하였다[18]. 최근 Wang 등은 sol-gel법으로 제조된 M형 페라이트의 하소 온도에 따른 자기적 특성과 전자파 흡수능의 변화를 26.5~40 GHz로 확장하여 연구하였다. 이 연구에서는 하소 온도에 따른 자기적 특성의 변화를 분석하였지만 측정된 주파수 범위에서 강자성 공명에 의한 자성손실이 나타나지 않았기 때문에 3 mm의 두꺼운 두께에서 최적의 흡수능이 발현되었으며 단상의 순수한 M형 페라이트를 얻기 위해 1200℃ 이상의 높은 하소 온도가 요구되었다[21].
따라서 본 연구에서는 M형 페라이트의 강자성 공명 현상이 발생되는 50 GHz를 포함하는 Q (33-50 GHz) 및 V (50-75 GHz) band 주파수 대역에서 M형 페라이트의 하소 온도에 따른 전자기적 특성의 변화에 대해 연구하여 하소온도와 자성손실의 연관성을 파악하였으며 이를 통해 강자성 공명에 의한 자성손실이 전자파 흡수능에 어떠한 영향을 미치는지 연구하였다. 또한 하소 시 전구체 분말에 용융염(NaCl)을 첨가하여 고온에서 충분한 물질 이동을 유도하여 낮은 하소 온도에서도 높은 결정화도의 M형 페라이트 분말을 합성하고자 하였다. 용융염 기반 Sol-gel 법으로 합성된 단상의 M형 페라이트의 형상 및 결정학적 특성을 분석하고 열가소성 폴리우레탄(TPU)에 복합화하여 Sheet 형태의 전자파 흡수 복합재를 제조하였다. 하소 온도에 따라 제조된 M형 페라이트/TPU 복합재의 복소 유전율/투자율과 반사손실을 분석하여 최적의 전자파 흡수 성능을 얻기 위한 하소 공정 조건을 확인하였다.
2.1 실험 재료
M형 페라이트의 합성을 위한 전구체로 Strontium nitrate (Sr(NO3)2), Iron(III) nitrate nonahydrate (Fe(NO3)3·9H2O)와 Citric acid monohydrate (C6H8O7·H2O)를 Sigma-Aldrich에서 구매하였다. 복합재 제조를 위한 열가소성 폴리우레탄(TPU) 용액은 송원산업에서 구매하였다.
2.2 M형 페라이트 및 복합재 제조
M형 페라이트는 Sol-gel법을 이용하여 합성하였다. 우선 Strontium nitrate와 Iron nitrate nonahydrate를 1:12의 몰 비율로, Sr2+ 이온의 농도는 0.05 M로 맞추어 증류수에 용해시킨다. 완전히 용해된 전구체 용액은 90°C의 온도에서 24시간 교반시켜 용매를 완전히 증발시킨 후 건조된 gel은 유발에서 부드럽게 그라인딩하였다. 그라인딩 된 gel은 40 wt%의 NaCl과 함께 혼합하여 알루미나 도가니에서 3시간동안 하소(Calcination)하였으며 하소 온도는 각각 850°C, 950°C, 1050°C, 1150°C, 1250°C로 진행하였다. 하소 후 완전히 냉각된 혼합물은 1차 분쇄 후 탈이온수를 이용하여 3회 세정하여 잔류 NaCl을 모두 제거한 다음 80°C의 진공 오븐에서 24시간 건조하여 최종 M형 페라이트를 수득하였다.
M형 페라이트와 TPU 용액은 7:3의 비율로 페이스트 믹서(ARE-310, Thinky)를 이용하여 5분간 2000 rpm의 조건에서 혼합하였다. 균일하게 혼합된 용액은 바 코팅을 이용하여 100 μm의 두께로 코팅 후 110°C에서 5시간 건조하여 잔류 용매를 모두 제거하였다. 최종적으로 제조된 복합재를 적층 후, 유압식고온프레스를 활용하여 150°C의 온도에서 60분간 압착하여 500 μm 두께의 M형 페라이트 복합재를 제조하였다.
2.3 특성 평가
합성된 M형 페라이트의 미세구조와 입도는 전자주사현미경(SEM, JSM-7001F)을 이용하여 분석하였으며 X선 회절분석기(XRD, D/Max 2500)의 Cu Ka선을 이용하여 결정구조를 분석하였다. 자기이력곡선은 진동시료형 자력계(VSM, EZ9)를 이용하여 ±25 kOe의 자기장 범위에서 측정하였다.
전자파 흡수 성능의 분석을 위한 복소유전율 및 복소투자율은 네트워크 분석기(VNA, N5291A)를 이용하여 강자성 공명이 발생할 것이라 예상되는 Q (33-50 GHz) 및 V (50-75 GHz) band 대역에 대해 자유공간 물질상수법으로 측정하였다.
Fig. 1은 Sol-gel법으로 합성된 M형 페라이트의 하소 온도에 따른 입자의 SEM 이미지이다. Sol-gel 반응으로 건조된 gel을 40 wt%의 NaCl과 함께 하소(calcination)하였으며 이때 하소 온도는 NaCl의 용융점인 801°C보다 높은 850°C부터 진행하여 NaCl의 용융에 따른 액상반응을 유도하였다. Fig. 1에서 보이는 바와 같이, 모든 하소 온도 조건에서 육각형의 판상 입자가 형성된 것을 확인할 수 있으며 하소 온도가 증가할수록 합성된 입자의 크기가 증가하여 1250°C의 하소 온도에서는 수 μm급으로 성장하였다. 일반적인 sol-gel 법으로 합성된 입자의 경우 수 μm 이상의 크기를 가지는 입자의 형성이 어렵지만 본 연구에서는 NaCl을 용융염으로 첨가한 결과 상대적으로 큰 크기의 입자가 형성되었다. 이는 높은 하소온도로 인해 용융염 내에서의 물질 확산이 용이해짐에 따라 입자의 성장이 촉진되어 나타난 결과이다.
Fig. 2는 각기 다른 온도별로 하소된 M형 페라이트의 결정상을 XRD로 분석한 결과이다. 그림에서 보이는 것과 같이 모든 하소 온도에서 P63/mmc의 공간군을 가지는 육방정계 M형 결정구조에 해당하는 피크만 관찰되었으며 M형 이외의 결정상을 가지는 Fe2O3, SrO 등과 같은 불순물은 확인되지 않았다. 통상적으로 sol-gel법을 통해 단상의 M형의 결정구조만 가지는 분말을 얻기 위해서는 1000°C 이상의 높은 하소 온도를 필요로 하지만 본 연구에서는 낮은 용융점을 가지는 NaCl을 용융염으로 첨가하였기에 850°C의 낮은 하소 온도에서도 높은 결정성을 가지는 단상의 M형 페라이트를 합성할 수 있었다.
제조된 M형 페라이트의 하소 온도에 따른 자기적 특성을 분석하기 위해 자기이력곡선을 VSM을 통해 측정하였으며 이를 통해 얻어진 자화값 및 보자력을 Fig. 3과 Table 1에 나타내었다. Fig. 3(a)에서 보이는 바와 같이 1250°C에서 하소된 M형 페라이트를 제외한 모든 조건에서 전형적인 경자성 특성을 가지는 자기이력 곡선을 나타내었다. 자화값은 하소 온도가 증가함에 따라 오차범위 내에서 조금씩 증가하는 경향을 보였으며, 하소 온도가 서로 다른 5가지 샘플 모두 최대 인가 자기장인 ±25 kOe 지점에서의 자화값이 이론상 M형 Strontium ferrite가 가지는 포화자화값인 73 emu/g에 근접한 높은 값을 보였다[22]. 이는 NaCl 용융염으로 인해 gel이 하소 과정에서 100%에 가까운 단상의 M형을 형성하였기 때문이라 생각되며 이러한 결과는 XRD 및 SEM 분석 결과와도 일치한다. 보자력은 하소 온도가 증가함에 따라 조금씩 증가하여 1050°C의 하소 온도에서 가장 높은 약 5100 Oe의 보자력을 가지지만 하소 온도가 증가함에 따라 급격히 감소하여 1250°C의 하소 온도에서는 약 950 Oe의 보자력이 확인되었다. 이러한 보자력의 감소는 합성된 M형 페라이트의 입자 크기와 연관성이 있다. 일반적으로 자성 입자의 보자력은 임계 단자구 크기에서 가장 높은 값을 가지며 이보다 입자 크기가 작거나 크면 감소하는 것으로 알려져 있다. M형 페라이트의 경우 임계 단자구 크기는 약 1 μm 정도로 보고되고 있는데[23] Fig. 1에서 보이는 바와 같이 하소 온도가 1050°C 이하의 경우에는 M형 페라이트 입자의 크기가 임계 단자구 크기와 유사하기 때문에 약 4500 Oe에서 5000 Oe에 달하는 높은 보자력을 보여준다. 하지만 이보다 하소 온도가 증가하게 되면 M형 페라이트 입자가 급격히 성장하게 되면서 임계 단자구 크기보다 큰 입자가 형성되게 되고 이로 인해 보자력 또한 급격히 감소한다고 생각된다.
합성된 M형 페라이트를 70 wt%의 무게비로 열가소성 폴리우레탄(TPU)과 함께 혼합하여 시트 형태의 복합재를 제조한 후 자유공간 물질상수법을 이용하여 복소 유전율 및 복소 투자율을 측정하였으며 그 결과를 Fig. 4에 나타내었다. M형 페라이트의 유전율 실수부는 Q band 및 R band에서 약 7, 유전율 허수부는 0에 가까운 값을 보이며 주파수의 변화와는 무관하게 거의 일정한 복소 유전율 값을 보여주었다. 또한 하소 온도에 따른 복소 유전율의 변화도 확인하기 어려웠다. 투자율의 경우 모든 하소 온도 조건에서 약 50 GHz를 전후로 강자성 공명(Ferromagnetic Resonance, FMR)에 의한 자성 손실과 투자율의 급격한 변화가 관찰되었다. 1050°C 이하의 온도에서 하소된 M형 페라이트의 경우 하소 온도에 변화에 따른 자성 손실의 주파수 특성에 변화가 없었으나 하소 온도가 1150°C로 증가한 경우 자성 손실의 극대값 주파수가 3 GHz 증가하였다. 하소 온도가 1250°C로 증가한 경우 자성손실에 의한 투자율 허수부 극대값이 약 0.7까지 증가하였다. 이러한 강자성 공명에 의한 자성손실의 증가는 높은 열처리 온도에 의한 결정화도의 증가로 인해 나타난 현상이다. 특이하게도 1250oC에서 하소된 M형 페라이트의 투자율 허수부에서 강자성 공명에 의한 main peak과 shoulder peak이 동시에 관찰되었다. 이는 M형 페라이트 내 모든 Fe 이온이 동일한 정도로 강자성 공명에 참여하는 것이 아니라 서로 다른 기여도를 가지는 2개 이상의 Fe 이온이 존재하며 각 투자율 허수부의 peak에서 자성손실에 기여하는 Fe 이온의 분율이 하소 온도에 따라 변화한다는 것을 의미한다. 하소 온도에 따른 M형 페라이트의 결정구조 내의 Fe 이온의 분포와 각 Fe 이온의 강자성 공명에 대한 기여도를 분석하기 위한 추가적인 분석이 필요하다.
일반적으로 강자성 공명 주파수는 소재의 포화자화값이 유사할 경우 자기 이방성의 크기와 비례하며 자기 이방성은 결정 자기 이방성과 형상 자기 이방성의 합으로 표현된다. 위의 결과에서 보듯이 하소 온도에 따른 자성 손실의 주파수 대역은 거의 유사하였기 때문에 하소 온도가 M형 페라이트의 전체적인 이방성 자기장의 크기를 바꾸지 못한다는 것을 알 수 있다. 이러한 결과는 M형 페라이트가 이방성이 높은 자기결정학적 구조를 가지기 때문에, 즉 내재적으로 존재하는 결정 자기 이방성이 매우 크기 때문에 나타나는 현상이다. 다시 말하면, 외재적 영향인 입도에 따른 형상 이방성의 변화가 이미 존재하는 높은 결정 자기 이방성에 비해 상대적으로 작아 하소 온도의 증가에 따른 강자성 공명 주파수의 변화가 거의 발생하지 않는 것으로 생각된다[18].
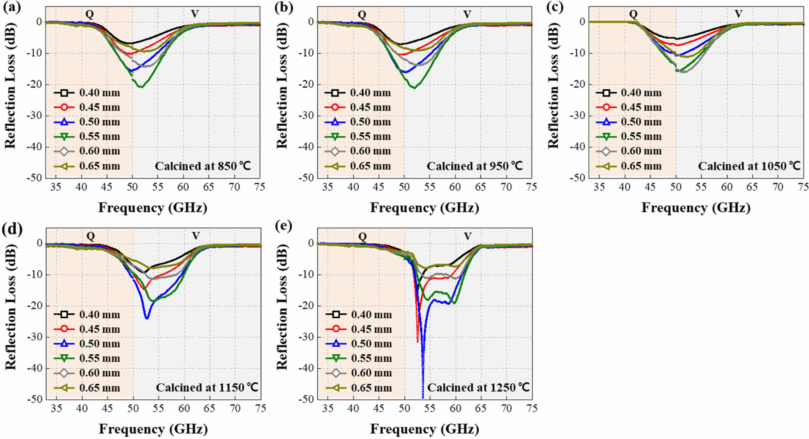
측정된 복소 유전율과 복소 투자율을 이용하여 전송선 이론 기반으로 소재의 전자기파의 흡수 특성을 나타내는 반사손실(Reflection loss, RL)을 아래의 수식 (1)과 (2)을 통해 계산하였으며 M형 페라이트 복합재의 두께에 따른 반사손실값을 Fig. 5에 나타내었다.

여기서 Zin은 흡수체의 입사 임피던스, Z0는 자유공간에서의 임피던스, er은 복소 유전율(ε'-jε''), μr은 복소 투자율 (μ'-jμ''), f는 입사되는 전자기파의 주파수, c는 빛의 속도, d는 시료의 두께를 나타낸다. 위의 식 (1)과 식 (2)에 따르면 Zin과 Z0가 같아지는 지점, 즉 Zin/Z0가 1에 가까워질수록 반사손실은 큰 음의 값을 가지고 이는 전자파의 흡수가 더 많이 일어남을 의미한다. 또한 식 (1)에서 보듯이 Zin/Z0의 경우 복소 유전율 및 복소 투자율 이외에 두께에 의해 상대적인 크기가 변할 수 있기 때문에 우수한 전자기파 흡수능을 위해서는 전자기적 물성과 두께의 정합을 맞추는 것이 매우 중요하다. 본 연구에서는 시료의 두께를 0.4 mm부터 0.65 mm까지의 두께 범위에서 0.05 mm의 간격으로 각 샘플들의 반사손실을 계산하였다. 그 결과 모든 계산된 두께 범위에서 강자성 공명에 의한 자성손실 주파수 대역과 동일한 약 52 GHz 주파수에서 높은 반사손실에 의한 peak을 확인할 수 있었다. 이는 M형 페라이트의 전기적 특성과 앞서 측정된 복소 유전율 및 투자율 결과를 통해 예측할 수 있다. 기본적으로 M형 페라이트는 전기전도도가 낮은 산화물이기 때문에 도전손실이 거의 없고 따라서 M형 페라이트의 전자파 흡수 기구는 주파수에 따른 유전손실 또는 자성손실에 의해 나타난다고 볼 수 있다. Fig. 4에서 볼 수 있듯이 M형 페라이트는 유전율 허수부에 해당하는 유전손실이 거의 없는 반면 강자성 공명으로 발생된 자성손실은 크기 때문에 자성손실이 전자파 흡수의 주요한 메커니즘으로 작용하게 된다. 다시 말하면 본 연구에서 제조된 M형 페라이트 복합재는 자성손실의 주파수와 자성손실의 크기에 의해 M형 페라이트 복합소재의 전체적인 전자파 흡수능이 결정된다고 볼 수 있다. 구체적으로는, 하소 온도가 1050°C 이하의 샘플에서는 0.55 mm, 하소온도가 1150°C 이상인 샘플에서는 0.5 mm에서 가장 우수한 전자파 흡수능을 보여주었다. 특히 1250°C 온도에서 하소된 샘플은 53.6 GHz에서 -49.3 dB의 흡수능을 보여주었으며 52 GHz부터 61.2 GHz까지 9.2 GHz에 걸쳐 90%의 전자파 흡수가 가능한 광대역 전자파 흡수 특성이 얻어졌다. 따라서 수십 GHz 주파수 대역에서 강한 강자성 공명에 의한 자성손실이 존재하는 M형 페라이트 복합재는 향후 밀리미터파 대역에서 우수한 전자파 흡수능을 구현할 수 있는 후보 소재라 생각된다.
|
Fig. 1 SEM images of the M-type ferrite with different calcination temperature |
|
Fig. 2 X-ray diffraction patterns of M-type ferrite with different calcination temperature |
|
Fig. 3 Magnetic hysteresis loop and magnetic properties of Mtype ferrite with different calcination temperature |
|
Fig. 4 Complex permittivity and permeability of M-type ferrite with different calcination temperature |
|
Fig. 5 Electromagnetic wave absorption properties of M-type ferrite composite with different calcination temperature and thicknesses |
|
Table 1 Magnetization at ±25 kOe and coercive field of M-type ferrite with different calcination temperature |
본 연구에서는 Sol-gel법으로 합성된 M형 페라이트의 하소 온도에 따른 특성의 변화를 분석하였으며 M형 페라이트가 포함된 복합재의 전자기적 특성 변화에 따른 전자파 흡수 성능의 상관관계에 대해 분석하였다. 용융염의 첨가로 인해 850°C의 낮은 하소 온도에서도 단상의 M형 페라이트를 얻을 수 있었으며 하소 온도가 증가할수록 용융염에 의한 물질 확산으로 인해 입자의 크기가 증가하였다. 하소 온도의 증가에 따라 결정화도의 향상으로 포화자화는 소폭 증가한 반면 임계 단자구보다 큰 입자가 형성됨에 따라 보자력은 크게 감소하였다. 제작된 M형 페라이트 복합재의 복소 유전율 및 투자율 분석 결과 모든 하소 온도에서 강자성 공명에 의해 50 GHz의 초고주파 대역에서 자성손실에 의한 투자율 허수부의 피크가 관찰되었다. 하소 온도에 따른 강자성 공명의 주파수 변화 또한 미미하였지만 하소 온도가 증가함에 따라 자성 손실의 크기가 증가하였다. 측정된 복소 유전율과 투자율을 이용하여 반사손실을 분석한 결과 1250°C에서 하소된 M형 페라이트를 포함한 0.5 mm 두께의 복합재에서 강자성 공명 주파수와 동일한 52 GHz 주파수 대역에서 우수한 전자파 흡수능을 확인할 수 있었다.
이 연구 결과를 바탕으로 향후 강자성 공명 주파수의 변화를 통해 원하는 주파수 대역에서 선택적으로 우수한 전자파 흡수능을 가지는 M형 페라이트의 복합재의 개발에 대해 후속 연구를 진행할 예정이다.
본 연구는 한국재료연구원 기본사업(PNK9530)으로 수행된 것이며, 지원에 대해 진심으로 감사드립니다.
This Article2023; 36(5): 289-296
Published on Oct 31, 2023
Services
Correspondence toDepartment of Functional Composite, Korea Institute of Materials Science