Original Article
  • Low-temperature Fast-curing Cationic Latent Curing Agent for One-component Epoxy Adhesives for Electronic Materials
  • So Hyun An*,****,#, Han Gyeol Jang*,#, Young Hoon Joung*, Seung Jun Kim***, Myung Woong Kim***, Felix Sunjoo Kim****†, Jaewoo Kim*,**†

  • * Institute of Advanced Composite Materials, Korea Institute of Science and Technology (KIST), Wanju-gun, Jeonbuk 55324, Republic of Korea
    ** Convergence Research Center for Solutions to Electromagnetic Interference in Future-Mobility, Korea Institute of Science and Technology (KIST), Seoul 02792, Republic of Korea
    *** Department of Chemistry and Chemical Engineering, Inha University, Incheon 22212, Republic of Korea
    **** Department of Chemical Engineering and Materials Science, Chung-Ang University (CAU), Seoul 06974, Republic of Korea

  • 전자 재료용 일액형 에폭시 접착제를 위한 저온 속경화 잠재성 양이온 경화제
  • 안소현*,****,# · 장한결*,# · 정영훈* · 김승준*** · 김명웅*** · 김선주****† · 김재우*,**†

  • This article is an open access article distributed under the terms of the Creative Commons Attribution Non-Commercial License (http://creativecommons.org/licenses/by-nc/4.0) which permits unrestricted non-commercial use, distribution, and reproduction in any medium, provided the original work is properly cited.

Abstract

Epoxy is a thermosetting polymer with excellent properties such as heat and chemical resistance, making them essential in various industrial fields including electronics. The performance of epoxy is highly dependent on the type of curing agent used. Among them, sulfonium-based latent curing agents are notable for their fast curing speed, high curing hardness, and specificity to certain temperatures, making them attractive for manufacturing anisotropic conductive films in electronic materials where single-component epoxy is required. However, sulfonium-based latent curing agents face challenges in industrial application due to issues with low yield and purity. This study optimized the synthesis conditions for benzyl and naphthyl-type sulfonium curing agents (B-Sul+SbF6-, N-Sul+NCyF-, N-Sul+NFSI-). By adjusting reaction time, reaction temperature, and reactant ratios, yield was maximized, significantly reducing both reaction time and temperature. The three optimized curing agents were evaluated for their thermal and mechanical properties to assess curing behavior and storage stability. The results confirmed that stable curing performance was maintained even after mixing. This study aims to expand the industrial applicability of sulfonium curing agents.


에폭시는 내열성과 내화학성 등의 우수한 특성으로 전자 재료 등 다양한 산업 분야에서 필수적으로 사용되는 열경화성 고분자이다. 에폭시의 성능은 사용된 경화제의 종류에 크게 의존하며, 그 중에서도 sulfonium 기반 잠재성 경화제는 빠른 경화 속도와 높은 경화도, 특정 온도에서만 반응하는 특성으로 인해 일액형 에폭시의 특성이 요구되는 전자 재료 분야의 이방성 전도 필름 제조에 주목받고 있다. 그러나 Sulfonium 기반 잠재성 경화제는 낮은 수율 및 순도 문제로 산업 분야에서 실제 상용화에 어려움이 있다. 본 연구에서는 benzyl 및 naphthyl 유형의 sulfonium 경화제(B-Sul+SbF6-, N-Sul+NCyF-, N-Sul+NFSI-)의 합성 반응 조건이 최적화되었다. 반응 시간, 온도 및 반응물의 비율을 조절하여 수율을 극대화하였고, 이 과정에서 반응 시간 및 온도를 획기적으로 낮추었다. 수율 및 순도가 최적화된 세 가지 경화제는 열적 및 기계적 특성을 평가하여 경화 거동 및 보관 안정성을 검토하였다. 그 결과, 혼합 후에도 안정적인 경화 성능을 유지함을 확인하였다. 본 연구를 통해 sulfonium 경화제의 산업적 활용 가능성이 확장되기를 기대한다.


Keywords: 일액형 에폭시(Single-component epoxy), 잠재성 경화제(Latent curing agent), 설포늄(Sulfonium), 반응조건 최적화(Reaction conditions optimization)

1. 서 론

에폭시 레진은 우수한 내열성, 내화학성, 접착 및 기계적 특성으로 자동차, 페인트, 건축 등 다양한 산업분야에서 필수적으로 사용되는 대표적인 열경화성 수지이다[1-3]. 에폭시 레진의 탁월한 성능은 삼차원으로 가교 결합된 네트워크 구조에서 비롯되며, 이 구조는 사용된 경화제의 종류에 크게 의존한다[4-6]. 에폭시 경화제로는 sulfonium, amine, anhydride, carboxylic acid, phenol, thiol 등이 사용되고 있으며, 이들은 혼합 형태에 따라 일액형 혹은 이액형 시스템으로 분류된다[7-9]. 이 중, 일액형 시스템은 경화제와 에폭시 레진이 사전에 혼합되어, 혼합 오차를 줄이고 사용이 간편하며 사용 폐기물을 최소화하여 환경 친화적인 장점이 있다. 하지만, 혼합 상태에서 화학 반응이 진행될 수 있다는 점에서 보관 안정성이 낮은 단점을 가지고 있다[10,11]. Sulfonium 기반의 에폭시 경화제는 빠른 경화 속도와 높은 경화도, 그리고 상온에서는 반응하지 않고 일정 온도에서만 경화되는 특성 덕분에 일액형 경화 시스템에 적합한 물질로 평가된다[12,13]. 이런 효과적인 열개시제로서의 특성 덕분에, 상온 보관 안정성이 필요한 전자 재료 분야, 특히 이방성 전도 필름(asymmetric conductive film, ACF)을 제조하는 데 핵심 재료로 주목받고 있다[14,15]. 일반적으로, sulfonium 기반의 경화제는 sulfonium salts가 두 개 또는 세 개의 aryl group과 결합된 구조를 가지고 있다. 온도가 가해질 경우 C-S 결합이 선택적으로 분해되어 carbocation을 생성하고, 이 carbocation이 에폭시 모노머들과 반응하여 옥소늄 양이온을 생성한다[16,17]. 이후, 옥소늄 양이온에 의해 cationic polymerization이 진행되어 3차원 가교 결합이 이루어진다. 이런 경화 메커니즘은 상온에서 반응하지 않고 특정 온도에서만 활성화되기 때문에, sulfonium은 일액형 에폭시 시스템의 잠재성 경화제로 사용될 수 있다[5,18].
잠재성 경화제로써 큰 장점을 가지는 sulfonium 기반 경화제는 그 구조-경화 거동의 상관관계가 활발히 연구되어 왔다. Endo와 그의 동료들은 다양한 치환기와 counter anion을 적용하여 경화 거동을 조사하였고, sulfonium 기반 경화제의 구조와 경화 반응 간의 관계를 보고하였다[2]. Yoshiaki와 그의 동료들은 SbF6 anion을 포함하는 benzyl sulfonium salt를 빠른 반응 경화제로, MeSO4 anion을 포함하는 S,S-disulfonium salt를 반응 지연 경화제로 사용하여 상온에서 보관 안정성을 획기적으로 향상시킬 수 있음을 보고하였다[8]. 이와 함께, Kim과 그의 동료들은 benzyl sulfonium salt에 다양한 aryl group 치환기와 counter anion의 종류를 변경하면서 경화 거동을 종합적으로 고찰하였다[4]. 그 결과 counter anion의 구조 변형이 aryl group보다 중합 반응에 더 큰 영향을 미치며, 다양한 경화제 구조 변형을 통해 에폭시 수지 생산을 위한 개시 온도를 세밀하게 조절할 수 있음을 보고하였다[4]. 이러한 구조적 특성과 경화 거동에 대한 깊은 이해를 바탕으로, 잠재성 경화제 산업 분야에서의 실제 사용을 위해서는 반응 조건의 최적화에 대한 연구가 절실히 필요하다[19-21]. 반응 조건 최적화를 통해 기존의 낮은 수율 및 순도를 개선하고[22], 합성 수율 및 순도를 극대화하고 경제적 비용을 절감하며 실험의 재현성을 확보함과 동시에 대량 생산으로의 전환을 용이하게 하는 데 큰 의미를 가진다.
본 연구에서는 산업적 활용 가능성에 한발 더 다가가기 위해 sulfonium 기반 경화제의 합성 반응 조건 최적화 조건들을 고찰하였다. Substitution reaction을 통해 benzyl 및 naphthyl sulfonium salt을 합성하고, 이온 교환 반응을 통해 counter anion을 sodium hexafluoroantimonate, lithium 1,1,2,2,3,3-hexafluoropropane-1,3-disulfonimide, lithium bis(nonafluorobutanesulfonyl)imide로 각각 사용함으로써 B-Sul+SbF6-, N-Sul+NCyF-, N-Sul+NFSI-의 총 세종류의 sulfonium 기반 양이온 경화제를 합성하였다. 반응시간, 반응온도, 및 반응물의 비율을 조절함으로써 합성 수율을 극대화하였으며, nuclear magnetic resonance spectroscopy (NMR), differential scanning calorimetry (DSC), universal testing machine (UTM)의 분석 기술들을 사용해 각 반응 조건들에 따른 순도, 경화 거동, 보관 안정성 및 기계적 특성의 변화를 조사하였다.

2. 실 험

2.1 재료
Benzyl chloride (BC, 99% purity), 4-(Methylmercapto) phenol (MP, 98% purity), sodium hexafluoroantimonate (NaSbF6, technical grade), 1-(Chloromethyl)naphthalene (CN, 95% purity)는 Sigma-Aldrich(StL, USA)에서 구입되었고, lithium 1,1,2,2,3,3-hexafluoropropane-1,3-disulfonimide (LiNCyF, 98% purity)는 Aladdin Scientific (MPK, USA)에서 공급받았다. Methanol (anhydrous, 99.8% purity), n-hexane (95% purity), acetone (99.5% purity), lithium bis(nonafluorobutanesulfonyl)imide (LiNFSI, 95% purity) 및 Magnesium Sulfate Anhydrous (MgSO4, 98% purity)는 Tokyo Chemical Industry Co. (Tokyo, Japan)에서 구매하였다. Bisphenol F type epoxy resin (YDF-170 grade)는 국도 화학(Seoul, Korea)에서 공급받았다. 모든 시약들은 별도의 정제없이 사용되었다.
2.2 B-Sul+SbF6-, N-Sul+NCyF- 및 N-Sul+NFSI- 경화제 합성 Fig. 1에 나타낸 것과 같이, sulfonium 기반 양이온 경화제는 substitution (step 1) 및 anion exchange (step 2)의 두 단계 반응들을 통해 합성되고, 결합된 aliphatic aryl group 및 음이온에 따라 benzyl type: B-Sul+X 또는 naphthyl type: N-Sul+X으로 명명하였다. 먼저, 다음과 같이 substitution reaction을 통해 benzyl 및 naphthyl sulfonium chloride compound (B-Sul+Cl, N-Sul+Cl)가 합성되었다. Round bottom flask에 4-(methylmercapto)phenol (35.6 mmol)을 40 ml의 혼합 용매 (methanol: acetone = 1:1 vol%)에 완전히 용해시켰다. 이후, benzyl chloride 또는 1-(Chloromethyl) naphthalene (120.8 mmol)을 천천히 추가한 뒤, 35°C 및 3일 동안 질소 분위기 하에서 교반하였다. 반응이 완료된 후, 회전 증발기를 사용하여 용매를 제거하고 acetone으로 여러 번 세척하면 백색의 고체(B-Sul+Cl, N-Sul+Cl)가 얻어졌다.
다음으로, anion exchange reaction을 통해 B-Sul+SbF6, N-Sul+NCyF, N-Sul+NFSI 총 3개의 sulfonium 기반 양이온 경화제를 합성하였다. Round bottom flask에서 B-Sul+Cl 또는 N-Sul+Cl (75.0 mmol)을 40 ml의 혼합 용매 (distilled water: ethyl acetate = 3:2 vol%)에 완전히 용해시켰다. 이후, 음이온 salt (NaSbF6, LiNCyF, LiNFSI, 9.00 mmol)을 천천히 추가한 뒤, 35°C 및 하루 동안 질소 분위기 하에서 교반하였다. 반응이 완료된 후, distilled water와 ethyl acetate (1:1 vol%)를 사용하여, 세번 추출하였고 MgSO4를 사용하여 distilled water을 완전히 제거하였다. 마지막으로, 회전 증발기를 이용해 ethyl acetate 증발시킨 후, 하루 동안 진공 건조하여 액체 상태의 최종 생성물을 얻었다. 본 연구에서는 반응 조건을 최적화하여 수율 및 순도를 극대화하기 위해, substitution reaction 및 anion exchange reaction에 대한 반응 시간, 온도 및 반응물의 비율이 조절되었다.
2.3 Sulfonium 경화제 구조 및 경화 성능 분석
경화제의 화학적 구조는 1H NMR (DD2 600 MHz FT-NMR, Agilent Technology, USA)를 통해 확인되었다. 경화 성능 및 보관 안정성은 YDF-170 epoxy와 경화제를 10:1 무게 비율로 혼합하여 일액형 에폭시 형태로 제조하여 평가되었다. 경화 성능은 DSC (DSC 25, TA Instruments, USA)를 사용하여 10oC/min의 승온 속도로 50~180oC 온도 범위의 peak temperature (TP)와 enthalpy(∆H)를 측정하였다. 보관 안정성은 일액형 에폭시 제조 직후, 10, 20 및 30일 후에 경화 피크 온도와 엔탈피의 변화를 통해 평가되었다. 모든 샘플은 15oC에서 보관되었다.
2.4 시편 제작 및 물성 평가
두께가 일정한 시편을 제조하여 기계적 물성을 측정하기 위해서, 일액형 에폭시는 1.5 mm의 실리콘 고무 스페이서로 두께가 조절된 두 개의 소수성 유리판 사이에서 열 경화되었고, 그 결과 일정한 두께의 평판이 제조되었다. 완전히 경화시키기 위해 TP+20oC에서 25분, TP+40oC에서 25분의 2단계 경화 단계가 수행되었다. 인장 실험을 위해 평판은 CO2 laser cutter (ILS 12.150D, Universal® Laser Systems, USA)를 통해 dog-bone 형상으로 시편을 절단하였다. 경화된 에폭시의 기계적 성질은 ASTM D638에 따라 인장 시험을 통해 평가하였다. 인장 실험은 2 kN load cell이 장착된 UTM (5567A, Instron®, USA)을 사용하여 24 mm의 gauge length 및 1 mm/min의 crosshead displacement speeds로 시편을 인장하였으며, 상온 및 상압 환경에서 수행되었다.

Fig. 1

Schematic illustration of the synthesis of sulfonium-based cationic curing agents. Depending on the type of aliphatic aryl group introduced in Step 1, the curing agents are classified as benzene type (B-Sul) or naphthalene type (N-Sul). The synthesis involves two steps: substitution and anion exchange reactions, with reaction time, temperature, and molar ratios of reagents being carefully controlled

3. 결과 및 토의

3.1 반응조건 최적화
Fig. 1에 나타낸 것과 같이, benzyl과 naphthyl 두 종류의 aliphatic aryl group과 세 종류의 anion을 사용하여 B-Sul+SbF6, N-Sul+NCyF, N-Sul+NFSI의 세 가지 대표적인 sulfonium 기반 잠재 경화제가 합성되었다. 각각의 경화제들은 substitution reaction과 anion exchange 두 단계를 통해 합성되며, 이때 반응물의 구조에 따라 반응 속도, 부반응 및 역반응 등 반응동력학이 달라지게 된다. 따라서, 합성 수율 및 순도를 극대화하고 효율화하기 위해 반응 시간, 반응 온도 및 반응물의 몰 비율의 합성 조건들이 조절되었다. 순도는 1H NMR 측정을 통해 얻은 spectra에서 전체 피크의 적분값 대비 경화제 피크의 적분값이 차지하는 비율을 백분율로 나타냈다.
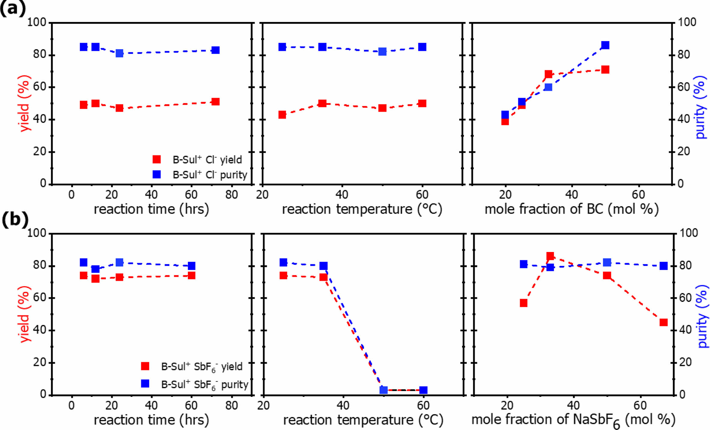
Fig. 2는 benzyl type 경화제인 B-Sul+SbF6에 대한 substitution 및 anion exchange의 반응 조건과 그에 따른 수율 및 순도 결과를 보여준다. Fig. 2a에서 확인할 수 있듯이, B-Sul+Cl은 반응 시간을 72 h에서 12 h까지 단축하였음에도 불구하고 수율 및 순도의 큰 차이가 발견되지 않았다. 또한 반응 온도를 35°C에서 변경하더라도 유의미한 차이를 보이지 않았으며, 상온에서도 약 43%의 수율 및 85%의 순도를 나타냈다. 이와 함께, BC의 몰 비율이 증가함에 따라 수율 및 순도가 지속적으로 증가하였는데, 50 mol %에서 최대치를 보여주었다. 이는 MP와 BC의 치환 반응이 1:1 stoichiometry로 진행되기 때문이다. Fig. 2b는 B-Sul+SbF6의 합성 결과를 보여준다. B-Sul+SbF6 또한 반응 시간에 따라 수율 및 순도의 유의미한 차이가 없었으며, 6 h의 단축된 반응 시간으로도 약 74%의 수율 및 82% 순도를 보여주었다. 그러나, 반응 온도 35°C를 초과할 경우 B-Sul+SbF6의 합성이 이루어지지 않았으며, anion의 비율이 33 mol %일 때 가장 높은 수율을 나타냈다. 이는 anion exchange reaction이 평형 반응으로, 낮은 온도에서 B-Sul+SbF6가 더 선호되기 때문으로 해석된다. 결과적으로, B-Sul+Cl은 12 h, 25°C, 33 mol % 반응 조건으로, B-Sul+ SbF6은 6 h, 25°C, 33 mol % 반응 조건으로 각각 최적화되었다.
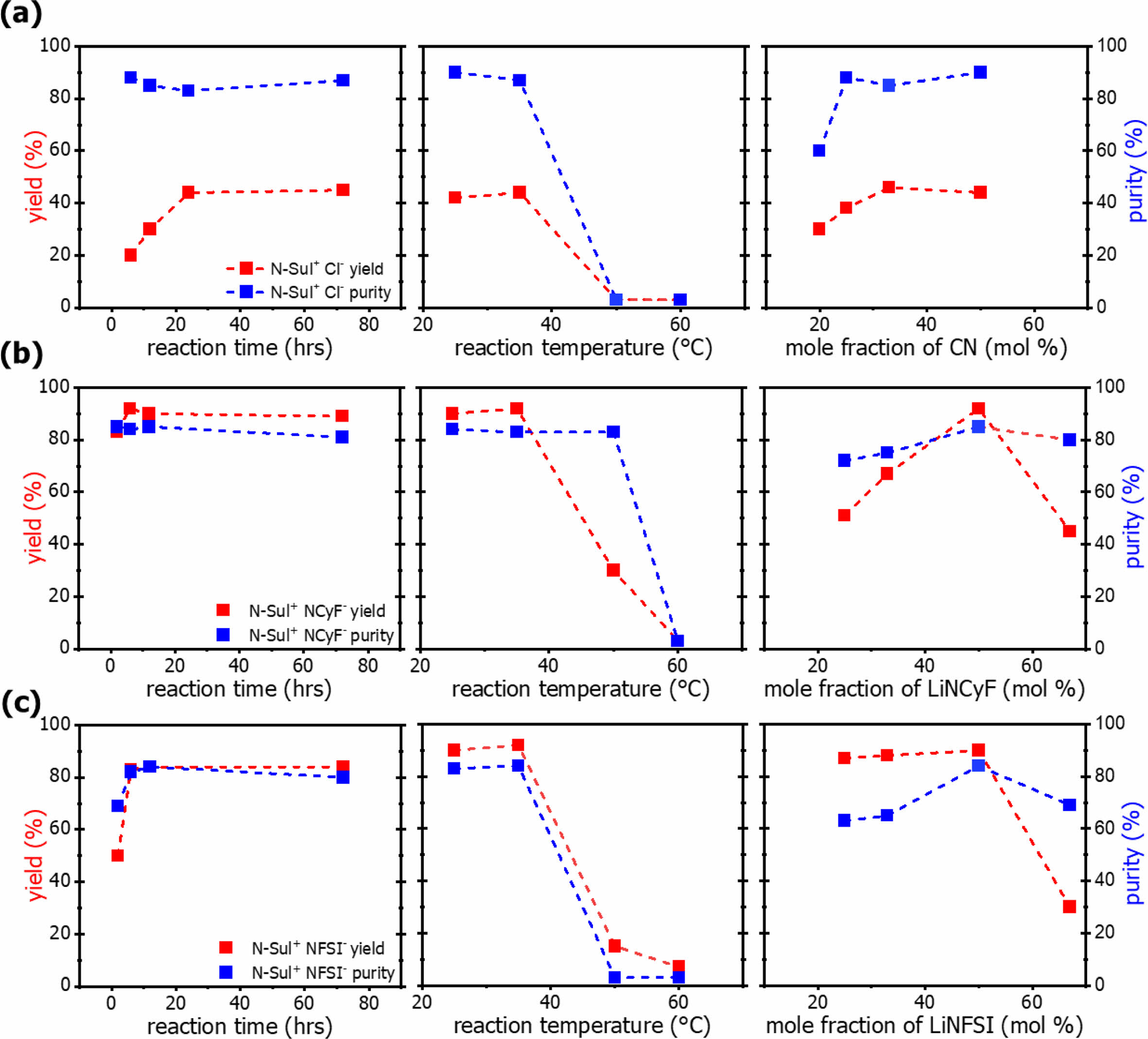
Fig. 3은 naphthyl type 경화제인 N-Sul+NCyF 및 N-Sul+NFSI에 대한 substitution 및 anion exchange의 반응 조건과 그에 따른 수율 및 순도 결과를 확인하였다. Fig. 3a에서 확인할 수 있듯이, N-Sul+Cl은 72 h에서 24 h으로 반응 시간을 단축하여도 수율 및 순도의 유의미한 차이는 없었으며, 12 h이하에서는 수율이 크게 감소하였다. 반응 온도의 경우, 50°C 이상에서는 합성이 되지 않았으며 반응물의 비율은 NC의 몰 비율이 증가함에 따라 수율 및 순도가 증가하였고, 50 mol %에서 가장 높게 나타났다. 다음으로, Fig. 3b 및 3c의 anion exchange 반응 결과에서 보이듯이, N-Sul+NCyF 및 N-Sul+NFSI은 반응 시간에 큰 영향을 받지 않으며, 특히 2 h의 짧은 반응 시간만으로 높은 수율과 순도를 유지하는 것을 확인할 수 있었다. 그러나 반응 온도가 35°C 초과할 경우, 수율과 순도가 급격히 감소하였고 60°C에서는 합성되지 않았다. 또한, N-Sul+Cl과 anion이 1:1 비율일 때 가장 높은 수율을 달성하였다. 이 결과는 앞선 benzyl type 경화제와 마찬가지로, substitution 및 anion exchange 반응의 반응 온도 및 반응물의 비율이 합성 효율을 결정하는 중요한 요소임이 보여준다. 결과적으로, N-Sul+Cl은 24 h, 25°C, 50 mol %, N-Sul+NCyF은 6 h, 35°C, 50 mol % 그리고 N-Sul+NFSI은 12 h, 35°C, 50 mol %의 반응 조건으로 각각 최적화되었다.
Fig. 4는 위에서 합성된 경화제인 B-Sul+SbF6, N-Sul+NCyF 및 N-Sul+NFSI1H NMR spectra를 보여준다 [22]. 세 가지 경화제 모두 각 구조에 해당하는 proton peak의 위치 및 적분 값이 일치하였으며, 추가적인 큰 peak가 관찰되지 않아 미 반응 물질이나 불순물이 남아 있지 않았고 높은 순도로 합성되었음을 보여준다. Benzyl type 및 naphthyl type 경화제의 구조적 차이를 6.86-7.98 ppm 범위의 peak에서 확인할 수 있다. 또한 전자를 끌어당기는 그룹인 anion의 영향으로 인해 sulfonium과 결합된 d 위치의 proton에서 5.1-5.6 ppm 범위의 peak shift가 발생됨을 확인할 수 있다.
3.2 경화특성 및 보관안정성
합성된 잠재성 경화제의 경화 메커니즘은 아래와 같이 진행된다. 먼저, 열 에너지를 받아 C-S 결합이 선택적으로 분해되어 carbocation salt가 형성되고 이어서 ionic interaction의 장벽이 극복되며 carbocation이 생성된다[4,5,16]. 마지막으로, 이 carbocation이 epoxy monomer와 결합하여 oxonium ions를 형성하고, 이후 epoxy monomer와 양이온 중합 및 가교 반응 (경화)이 진행된다. 이해를 돕기 위해, B-Sul+SbF6의 경화 메커니즘을 Fig. 5a에 표시하였다. 특히, 경화 과정에서 강한 발열 반응을 동반하는데, 이 발열이 다시 경화 반응을 촉진시켜 반응 속도가 더욱 빨라지는 자가-촉진(self-accelerated) 효과가 발생한다. B-Sul+SbF6, N-Sul+NCyF, N-Sul+NFSI 경화제들의 경화 성능을 평가하기 위해, 각각 YDF-170 에폭시와 경화제를 10:1 무게 비율로 혼합한 후 DSC 측정을 통해 경화 거동을 확인하였다. Fig. 5b에서 확인할 수 있듯이, 모든 경화제는 온도가 증가함에 따라 강한 발열 반응이 관측되었다. 각 시편의 Ton-set 및 Tp는 B-Sul+SbF6의 경우 123°C 및 148°C, N-Sul+NCyF는 87°C 및 113°C, N-Sul+NFSI는 85°C 및 113°C를 각각 나타냈다. 이와 함께, 경화의 정도를 나타내는 ∆H는 358 J/g, 54 J/g, 그리고 100 J/g를 각각 보여주었다. 이러한 차이들은 sulfonium에 결합된 aliphatic aryl group 및 anion의 입체 장애, 이온 결합력 및 그로 인한 carbocations의 안정성에 의해 발생하며, 경화제 구조에 따라 경화 거동을 세밀하게 조절할 수 있음을 시사한다.
전자 재료용 일액형 에폭시 접착제 시스템에서, 보관 안정성은 매우 중요한 특성이다[6,14]. 합성된 경화제의 보관안정성을 정량적으로 평가하기 위해, 각각 제조된 일액형 에폭시의 시간에 따른 Ton-set, Tp 및 ∆H의 변화를 측정하였다[23,24]. Fig. 6a에서 보이듯이, B-Sul+SbF6, N-Sul+NCyF 및 N-Sul+NFSI 경화제 30일까지 Ton-set이 변하지 않고 일정하게 유지되었다. 또한, Fig. 6b와 6c에서 나타낸 Tp 및 ∆H 역시 시간에 따라 유의미한 변화가 없었으며, 약 10% 이내의 적은 변화폭 만을 보여주었다. 이는 에폭시와 혼합된 후 시간이 지나도 경화제의 경화 성능이 일정하게 유지됨을 의미한다. 결과적으로, 각 경화제가 에폭시와의 반응에서 일관된 경화 거동을 유지하며, 장기간에 걸쳐 균일하고 안정적인 성능을 제공할 수 있음을 보여준다.
3.3 기계적 물성
Fig. 7은 각각 B-Sul+SbF6, N-Sul+NCyF 및 N-Sul+NFSI를 사용한 일액형 에폭시의 인장 특성을 보여준다. 인장 특성은 각각의 경화제로 제조된 일액형 에폭시를 경화하고 dog-bone 형상으로 절단하여 시편을 제조한 후 1 mm/min 속도로 인장하여 측정하였다. Fig. 7a의 stress-strain responses에서 볼 수 있듯이, 합성된 잠재성 경화제로 제조된 에폭시 시편은 0.06 이하의 낮은 strain에서 파단이 발생하며 매우 brittle한 인장 거동을 나타냈다. 또한, 경화제의 종류에 따라 서로 다른 인장 강도 및 Young’s modulus를 보였다. Fig. 7b의 계산된 인장 강도 및 Young’s modulus에서 확인할 수 있듯이, B-Sul+SbF6은 90.2 MPa 및 2.2 GPa를, N-Sul+NCyF은 60.1 MPa 및 1.8 GPa을 그리고 N-Sul+NFSI은 73.2 MPa 및 2.02 GPa를 각각 나타냈다. 이러한 차이는 각 경화제의 다른 경화 특성에 기인하며, 특히 Fig. 5에서 확인된 ∆H와 밀접하게 연관된다. 즉, ∆H가 높을수록 에폭시와 경화제의 반응 및 에폭시의 가교 결합의 증가를 의미하며, 높은 경화 정도는 기계적 특성의 향상으로 나타났다.

Fig. 2

Yield and purity results of benzyl-type sulfonium curing agents under various reaction conditions: (a) B-Sul+Cl , (b) B-Sul+SbF6

Fig. 3

Yield and purity results of naphthyl-type sulfonium curing agents under various reaction conditions: (a) N-Sul+Cl , (b) NSul+NCyF , (c) N-Sul+NFSI

Fig. 4

1H NMR spectra of benzyl and naphthyl-type curing agents optimized for reaction conditions: (a) B-Sul+SbF6 : δ 7.71–7.68 (d, 2H), 7.39–7.32 (q, 3H), 7.18–7.15 (d, 2H), 6.98–6.93 (d, 2H), 5.03–4.84 (dd, 2H), 3.39–3.32 (s, 3H). (b) NSul+NCyF : δ 7.96–7.93 (d, 1H), 7.63–7.55 (tt, 2H), 7.49–7.45 (d, 2H), 7.38–7.34 (t, 2H), 7.28–7.26 (d, 2H), 6.89–6.86 (d, 2H), 5.52–5.23 (dd, 2H). (c) N-Sul+NFSI : δ 7.98–7.94 (d, 1H), 7.65–7.56 (tt, 2H), 7.52–7.47 (d, 2H), 7.39–7.35 (t, 2H), 7.28–7.26 (d, 2H), 6.91–6.87 (d, 2H), 5.54–5.26 (dd, 2H), 3.47–3.42 (s, 3H)

Fig. 5

(a) Curing mechanism of sulfonium curing agents with epoxy resins, and (b) DSC thermograms of one-component epoxies prepared with B-Sul+SbF6 , NSul+NCyF , and N-Sul+NFSI curing agents. The one-component epoxies were prepared by mixing YDF-170 epoxy resin with each curing agent in a 10:1 weight ratio

Fig. 6

Curing behavior of one-component epoxies over time using B-Sul+SbF6 , NSul+NCyF , and N-Sul+NFSI curing agents: (a) on-set temperature, (b) peak temperature, (c) enthalpy-time response

Fig. 7

Mechanical properties of one-component epoxies cured with B-Sul+SbF6 , NSul+NCyF , and N-Sul+NFSI curing agents: (a) stress-strain curves, (b) tensile strength (blue) and Young’s modulus (red)

4. 결 론

본 연구에서는 sulfonium 기반 양이온 잠재성 경화제의 산업적 활용을 위한 합성 반응 조건의 최적화가 수행되었다. 경화 거동이 다른 benzyl 및 naphthyl 유형의 sulfonium 기반 양이온 경화제(B-Sul+SbF6-, N-Sul+NCyF-, N-Sul+NFSI-)를 선정하였고, 반응 시간, 온도 및 반응물의 비율을 조절하여 반응 조건을 최적화하였다. 그 결과, 반응 시간 및 온도를 최소화하면서 수율 및 순도를 극대화할 수 있었으며, B-Sul+SbF6은 6시간 동안 25°C, 33 mol %의 조건에서, N-Sul+NCyF은 6시간 동안 35°C, 50 mol %의 조건에서, 그리고 N-Sul+NFSI은 12시간 동안 35°C, 50 mol %로 반응 조건을 최적화하였다. 최적화된 sulfonium 경화제는 YDF-170 에폭시 레진과 혼합하여 일액형 에폭시로 제조되었다. DSC와 UTM 분석을 통해 해당 경화제의 열적 및 기계적 특성을 조사하였다. 분석 결과, 경화시작 온도, 피크 온도 및 반응 엔탈피를 통해 효과적으로 경화됨을 확인하였으며, 시간이 경과해도 높은 상온 보관 안정성을 유지하고 장기간 일관된 경화 성능을 보임을 확인하였다. 또한, 경화된 일액형 에폭시의 인장 특성을 측정한 결과, 우수한 인장 강도와 Young’s modulus를 측정하였다. 본 연구의 최적화 연구를 통해 sulfonium 기반 잠재성 경화제의 합성 비용을 절감하고, 대량 생산으로의 전환 가능성을 확인하였으며, 전자재료 분야에서 sulfonium 기반 잠재성 경화제의 응용을 크게 기여할 것으로 기대된다.

후기

본 연구는 2024년도 산업통산자원부의 기술혁신사업(과제번호: 20010881) 및 중소벤처기업부의 테크브리지사업 (과제번호: RS-2023-00219559)의 지원을 받아 수행되었습니다. 또한, 본 연구는 22-1차 무기체계 부품 국산화개발 지원사업(과제명: KSS-II용 GRP 덮개-페어링,C220003)의 지원을 받아 수행된 연구입니다.

References
  • 1. Chen, J., Chu, N., Zhao, M., Jin, F. L., and Park, S. J., “Synthesis and Application of Thermal Latent Initiators of Epoxy Resins: A Review,” Journal of Applied Polymer Science, Vol. 137, No. 48, 2020.
  •  
  • 2. Shimomura, O., Tomita, I., and Endo, T., “Curing Behavior of Epoxy Resin Initiated by -Alkylsulfonium Salts of Aromatic Sulfides as Thermal Latent Cationic Initiators,” Journal of Polymer Science Part A: Polymer Chemistry, Vol. 39, No. 6, 2001, pp. 868-871.
  •  
  • 3. Gupta, V. B., Drzal, L. T., Lee, C. Y. C., and Rich, M. J., “The Temperature-Dependence of Some Mechanical-Properties of a Cured Epoxy-Resin System,” Polymer Engineering & Science, Vol. 25, No. 13, 1985, pp. 812-823.
  •  
  • 4. Kim, J., Kim, S., Choi, S. K., Yang, S. H., and Kim, M., “Regulating Cationic Polymerization of Difunctional Epoxy Resin through Structural Variations of the Thermal Initiator,” ACS Applied Polymer Materials Journal, Vol. 6, No. 11, 2024, pp. 6689-6696.
  •  
  • 5. Kawaoka, Y., Koge, K., Sudo, A., and Endo, T., “Construction of Excellent Thermal Latent System for the Synthesis of Networked Epoxide Polymers by Sulfonium Salts,” Journal of Polymer Science Part A: Polymer Chemistry, Vol. 56, No. 18, 2018, pp. 2096-2102.
  •  
  • 6. Ham, Y. R., Kim, S. H., Shin, Y. J., Lee, D. H., Yang, M., Min, J. H., and Shin, J. S., “A Comparison of Some Imidazoles in the Curing of Epoxy Resin,” Journal of Industrial and Engineering Chemistry, Vol. 16, No. 4, 2010, pp. 556-559.
  •  
  • 7. Malik, M. H., Grosso, G., Zangl, H., and Binder, A., Roshanghias, A., “Flip Chip Integration of Ultra-thinned Dies in Low-cost Flexible Printed Electronics, the Effects of Die Thickness, Encapsulation and Conductive Adhesives,” Microelectronics Reliability, Vol. 123, 2021, 114204.
  •  
  • 8. Zhang, F., Ma, P. C., Wang, J. X., Zhang, Q., Feng, W., Zhu, Y. W., and Zheng, Q. B., “Anisotropic Conductive Networks for Multidimensional Sensing,” Materials Horizons, Vol. 8, No. 10, 2021, pp. 2615-2653.
  •  
  • 9. Chang, S. M., Jou, J. H., Hsieh, A., Chen, T. H., Chang, C. Y., Wang, Y. H., and Huang, C. M., “Characteristic Study of Anisotropic-conductive Film for Chip-on-film Packaging,” Microelectronics Reliability, Vol. 41, No. 12, 2001, pp. 2001-2009.
  •  
  • 10. Kudo, K., Fuse, S., Furutani, M., and Arimitsu, K., “Imidazole-Type Thermal Latent Curing Agents with High Miscibility for One-Component Epoxy Thermosetting Resin,” Journal of Polymer Science Part A: Polymer Chemistry, Vol. 54, No. 17, 2016, pp. 2680-2688.
  •  
  • 11. Jee, S. M., Ahn, C. H., Park, J. H., Kim, T. A., and Park, M., “Solvent-free Encapsulation of Curing Agents for High Performing One-component Epoxy Adhesives,” Composites Part B: Engineering, Vol. 202, 2020, 108438.
  •  
  • 12. Morio, K., Murase, H., Tsuchiya, H., and Endo, T., “Thermoinitiated Cationic Polymerization of Epoxy-Resins by Sulfonium Salts,” Journal of Applied Polymer Science, Vol. 32, No. 7, 1986, pp. 5727-5732.
  •  
  • 13. Gachet, B., Lecompère, M., Croutxé-Barghorn, C., Burr, D., L'Hostis, G., and Allonas, X., “Highly Reactive Photothermal Initiating System Based on Sulfonium Salts for the Photoinduced Thermal Frontal Cationic Polymerization of Epoxides: a Way to Create Carbon-fiber Reinforced Polymers,” RSC Advances, Vol. 10, No. 68, 2020, pp. 41915-41920.
  •  
  • 14. Hwang, H., Kong, M., Kim, K., Park, D., Lee, S., Park, S., Song, H. J., and Jeong, U., “Stretchable Anisotropic Conductive Film (S-ACF) for Electrical Interfacing in High-resolution Stretchable Circuits,” Science Advances, Vol. 7, No. 32, 2021.
  •  
  • 15. Kim, S. C., Kim, Y. H., “Flip Chip Bonding with Anisotropic Conductive Film (ACF) and Nonconductive Adhesive (NCA),” Current Applied Physics, Vol. 13, pp. S14-S25, 2013.
  •  
  • 16. Bulut, U., and Crivello, J. V., “Investigation of the Reactivity of Epoxide Monomers in Photoinitiated Cationic Polymerization,” Macromolecules, Vol. 38, No. 9, 2005, pp. 3584-3595.
  •  
  • 17. Ly, U. Q., Pham, M. P., Marks, M. J., and Truong, T. N., “Functional Theory Study of Mechanism of Epoxy-carboxylic Acid Curing Reaction,” Journal of Computational Chemistry, Vol. 38, No. 14, 2017, pp. 1093-1102.
  •  
  • 18. Das, S., and Asefa, T., “Epoxide Ring-Opening Reactions with Mesoporous Silica-Supported Fe(III) Catalysts,” ACS Catal, Vol. 1, No. 5, 2011, pp. 502-510.
  •  
  • 19. Bozzano, G., and Manenti, F., “Efficient Methanol Synthesis: Perspectives, Technologies and Optimization Strategies,” Progress in Energy and Combustion Science, Vol. 56, 2016, pp. 71-105.
  •  
  • 20. Chen, Q., and Grossmann, I. E., “Recent Developments and Challenges in Optimization-Based Process Synthesis,” Annual Review of Chemical and Biomolecular Engineering, Vol. 8, 2017, pp. 249-283.
  •  
  • 21. Sun, D. Q., Lu, T., Zhu, X. Y., Li, B., and Tian, Y., “Optimization of Synthesis Technology to Improve the Design of Asphalt Self-healing Microcapsules,” Construction and Building Materials, Vol. 175, 2018, pp. 88-103.
  •  
  • 22. Kim, S., Shin, M., and Shin, J., “The Potential Thermal Initiation of Cationic Polymerization of Epoxy Resins by Sulfonium Salts,” Journal of Adhesion and Interface, Vol. 13, No. 2, 2012, pp. 53-57.
  •  
  • 23. Cho, S., “Time-Temperature-Transition Diagrams with Liquid Crystalline Phase Changes of Liquid Crystalline Epoxy,” Composites Research, Vol. 37, No. 3, 2024, pp. 215-218.
  •  
  • 24. Ji, J., Hyun, H., and Cho, S., “Thermal Decomposition Energy of Liquid Crystalline Epoxy,” Composites Research, Vol. 37, No. 1, 2024, pp. 1-6.
  •  

This Article

Correspondence to

  • Felix Sunjoo Kim****, Jaewoo Kim*,**
  • * Institute of Advanced Composite Materials, Korea Institute of Science and Technology (KIST), Wanju-gun, Jeonbuk 55324, Republic of Korea
    ** Convergence Research Center for Solutions to Electromagnetic Interference in Future-Mobility, Korea Institute of Science and Technology (KIST), Seoul 02792, Republic of Korea
    **** Department of Chemical Engineering and Materials Science, Chung-Ang University (CAU), Seoul 06974, Republic of Korea

  • E-mail: fskim@cau.ac.kr, jaewoo96@kist.re.kr