Jiwon Jung*, Jongkyung An*, Seunghwan Kwon*, Gun Jin Yun*†
* Department of Aerospace Engineering, Seoul National University, Seoul 08826, Korea
정지원* · 안종경* · 권승환* · 윤군진*†
This article is an open access article distributed under the terms of the Creative Commons Attribution Non-Commercial License (http://creativecommons.org/licenses/by-nc/4.0) which permits unrestricted non-commercial use, distribution, and reproduction in any medium, provided the original work is properly cited.
Satellites operating in low Earth orbit environments (400~700 km) are constantly subjected to severe thermal cycles, ultraviolet radiation, and collisions with atomic oxygen (AO), which might cause continuous damage. Particularly, collisions with AO oxidize and erode polymer matrices, reducing surface mass and degradation of material properties. Therefore, to analyze these effects, Reax-FF molecular dynamics simulations were adopted. More than qualitative studies of mass loss due to AO interactions between materials in the previous NVE analysis, we quantified erosion rates as a function of temperature within the operational range of actual satellites (200 K~400 K) using NVT analysis. We also analyzed changes in reaction patterns occurring on the surface and effects due to polymer phase transitions.
지구 저궤도 환경(400~700 km)에서 운용되는 위성체는 극심한 열 사이클, 자외선, 원자 상태로 존재하는 산소와의 충돌(AO) 등에 의해 지속적으로 손상을 입는다. 그 중 특히, AO와의 충돌은 고분자 기지 소재를 산화, 침식시켜 표면의 질량이 감소되고, 물성을 손상시키는 결과를 초래한다. 따라서 이러한 효과를 분석하기 위해 Reax-FF 분자동역학 시뮬레이션을 통해 분석하였다. 기존에 이루어지던 NVE 해석에서 보여진 정성적인 재료 간 AO 질량 감소율 연구에서 벗어나 NVT 해석을 활용하여 실제 위성체 운용 온도인 (200 K~400 K)에서의 온도에 따른 침식 수율 관계를 정량화하였으며, 표면에서 발생하는 반응 패턴의 변화와 고분자 상 변이에 의한 효과를 분석하였다.
Keywords: Low earth orbit, Reax-FF, Molecular dynamics, AO erosion
지구 저궤도에서의 위성체는 우주 탐사, 통신, 군사, 환경 모니터링 등 다양한 분야에서 핵심적인 역할을 수행하며, 지구와 우주 간의 연결고리로서 중요성이 지속적으로 부각되어 우리의 삶과 기술적 발전에 큰 기여를 하고 있다. 따라서 지구 저궤도의 활용과 관리는 우주 분야의 발전과 성공적인 임무 수행을 위해 핵심적인 과제로 제시된다.
그러나, 지구 저궤도는 극도로 불안정한 환경으로, 엄청난 열 변화, 고 진공, 자외선 및 고에너지 입자의 노출, 그리고 원자 산소(AO)와의 충돌과 같은 위험한 요소들을 포함하고 있다[1]. 이러한 극한 환경은 위성체 및 우주 장비에 지속적인 손상을 초래할 수 있으며, 이에 대한 대비책과 보호 기술의 발전이 필수적이다. 특히, AO와의 충돌은 고분자 표면을 산화시키고, 산화물에 의한 기체 발생으로 질량이 손실되어 물성을 저하시키는 치명적인 손상을 입히게 된다. 이러한 AO에 의한 손상 효과에 대해 연구하기 위해 NASA에서는 Materials International Space Station Experiment 2 (MISSE2) 프로젝트를 통해 다양한 고분자 후보물질의 시편을 국제 우주정거장(ISS)의 표면에 부착시켜 장기간 노출시킴으로써 노화 효과를 시험하였다[2]. 그러나, 이러한 우주 공간에서의 실험은 많은 비용과 기간을 소모하고, 자주 시험하기도 어렵기 때문에, 지상 시험과 전산 모사를 통해 우주 공간에서의 노화를 예측하는 연구가 주로 이루어져 왔다.
지상 시험 또한 고진공과, 저온과 고온을 오가는 온도의 조절, AO 이온의 조사 등의 환경을 구축하기 위해서는 많은 자원을 소모하기 때문에 분자동역학 전산모사 기법을 통해 AO에 의한 고분자 표면에서 발생하는 현상을 연구하고자 하는 많은 시도들이 존재하였다. 기존의 전통적인 All-atom 분자동역학 포텐셜의 경우 화합 결합이 시뮬레이션 중 고정되어있기 때문에, AO에 의한 산화과정 등을 모사하기 위해서는 화학 결합을 모사할 수 있는 Reax-FF를 활용하는 것이 필요하다. Reax-FF를 활용한 AO 충돌 해석의 첫 시도는 Rahnamoun et al.[3]에 의해 이루어졌으며, Teflon, Kapton, POSS-Kapton, Silica에 대해 AO 저항성을 비교하였다. 그 후에도 보다 심층적으로 AO에 대한 메커니즘을 조사한 연구[4] 및 다양한 물질에 대한 유사한 연구들이 진행되어왔으며, 고분자 복합소재의 기지로 흔히 사용되는 Epoxy[5,6], Kapton의 그래핀, CNT 등을 포함하는 나노 복합소재, 열방호 소재로 쓰이는 SiC[7]에 대한 연구들이 수행되어왔고, 최근에는 질소 분자와의 충돌에 의한 효과 또한 조사되었다[8].
기존의 Reax-FF를 활용한 AO 충돌 해석은 NVE(일정 부피, 에너지) 앙상블을 활용한 단열 조건에서의 연구를 중심으로 이루어졌다. 그러나, NVE 조건에서는 시스템에 지속적으로 AO의 운동에너지가 투입됨에 따라 수십 ps내에 수천K까지 온도가 상승된다. 그러나, 실제 지구 저궤도에서의 운용 온도 조건은 200~400 K의 범위에서 운용되기 때문에, 재료 간 AO 저항성의 정성적인 연구를 위주로 이루어져 왔다. 본 연구에서는 서로 다른 온도 조건에서의 NVT해석을 통해 Kapton의 온도에 대한 AO 저항성에 대한 관계식을 정량화하였다. 기존 연구에서도 NVT를 활용해 온도에 따른 고분자 표면 침식률의 변화에 대해 보고하였지만, 단순히 온도에 따른 정성적인 상관관계만을 보였다.
2.1 고분자 slab 모델링
본 연구에서는 polyimide게열의 Kapton 고분자를 대상으로 하였다. Kapton은 뛰어난 열적 안정성과, 전기 차폐 성능, 화학적 안정성, 연신율로 우주공간에서 활용되는 구조체의 coating 소재로 활용된다. 본 소재의 분자동역학 모델링에 사용된 단량체는 Fig. 1(a)와 같이 표현된다. 그림에서 회색 원자는 탄소, 흰색 원자는 수소, 파란색 원자는 질소, 빨간색 원자는 산소 원자를 나타낸다. 초기의 Kapton 고분자의 시뮬레이션 셀에는 10개의 Kapton 단량체가 하나로 결합된 사슬이 4개가 임의로 배치되어 존재한다. 따라서 총 40개의 Kapton 단량체가 존재하며, 총 1568개의 원자가 cell에 포함된다.
고분자 표면으로의 AO충돌을 통한 산화 및 부식 시뮬레이션은 셀 하단에 고분자 구조를 배치하고, 상방에서 AO를 투입시켜 충돌시킴으로써 진행이 된다. 따라서 3축방향으로 주기경계 조건을 갖는 초기의 유닛 셀을 충돌 방향을 제외한 방향으로만 주기경계 조건을 갖는 납작한 모델로 사전에 변환시키는 작업이 필요하다. 이를 위하여 본 연구에서는 문헌[9]에서 제시한 방법을 활용하였다. 모델을 충돌 방향으로 길게 인장시키고, 높은 온도에서 안정화시키면, 사슬을 구성하는 원자들이 진동하면서 축방향 응력에 의해 사슬 간 꼬임이 풀리게 된다. 그리고, 그 사슬들은 반데르발스 힘에 의한 인력에 의해 서로 다시 뭉치면서 slab의 형태를 만들게 된다. Kapton의 초기 모델링과 slab의 구성은 고분자의 결합 형태를 유지할 수 있도록 all-atom force field인 polymer consistent force field(PCFF)를[10] 활용하였으며, Materials Studio 2017R2의 amorphous cell module과 Lammps를 활용하였다[11,12].
2.2 Reax-FF 분자동역학
모델링에서 사용한 PCFF와 같은 전통적인 all-atom force field의 경우 초기에서 정의된 원자 간 결합 관계가 시뮬레이션 중에 변화하지 않아 화학반응을 묘사하기에는 적합하지 않다는 단점을 갖는다. 반면 Adri C. T. van Duin과 William A. Goddard III에 의해 개발된 Reax-FF는 원자 간 거리를 기반으로 계산된 bond order에 따라 시뮬레이션 중 원자간 결합 관게가 새롭게 정의될 수 있다. 따라서, 시뮬레이션 중 발생하는 화학 결합의 생성 또는 분해를 모사할 수 있기 때문에, 연소, 산화 및 AO에 의한 부식과 같은 해석을 수행하는 연구에 다양하게 사용되어 왔다[13].
Reax-FF에서 원자 간의 상호 작용을 묘사하는 포텐셜 함수의 식은 아래 식(1)과 같이 표현된다. 아래 식에서 항들은 각각 Ebond = bond energy, Eover = over coordination energy, Eunder = under coordination energy, Elp = lone pair energy, Eval = valence energy, Etor = torsional energy, EvdWaals = Van der Waals energy, Ecoulomb = Coulomb energy, and Erest = restrain energy를 의미한다. Bond order를 계산하는 항은 식 (2)와 같이 σ, π, π-π 결합에 의한 항의 합으로 이루어진다.

초기의 Reax-FF는 탄소, 수소, 산소원자를 포함하는 계에 대한 해석을 위해 개발되었다. 그 이후 해석 목적에 따라 추가적인 DFT(Density Function Theory) 계산으로부터 구해진 학습 데이터와 실험 데이터를 활용하여 다양한 원소, 해석으로의 적용으로 확장되었다. 본 연구에 활용된 force field는 Rahnamoun et al.[3]에 의해 개발된 포텐셜로, POSS-Kapton system의 AO 충돌 해석을 위해 개발된 것을 사용하였다.
2.3 AO 충돌 시뮬레이션
전체적인 시뮬레이션 셀은 Fig. 2에 표현된 것과 같다. 셀의 단면은 27.2 Å × 27.2 Å의 크기를 가지며, 총 길이는 100 Å의 크기를 갖는다. Slab이 차지하는 약 30 Å 높이의 영역을 제외한 곳은 진공 영역이다. 충돌에 의해 slab의 위치가 움직이는 것을 방지하기 위해 slab의 아래쪽으로부터 4 Å 높이의 영역에 포함된 원자들은 좌표가 고정되었으며, slab의 상단에서 임의의 x,y 좌표에서 매 200 fs마다 7.4 km/s의 속도로 slab의 표면을 향해 하방으로 발사된다. 7.4 km/s의 속도는 지구 저궤도에서 위성체가 갖는 궤도 속도로, 각 AO 입자들은 약 5 eV의 운동에너지를 갖는다. 표면에 원자들이 지속적으로 충돌하면서 표면의 원소와 산소 원자들이 결합한 CO, H2O 등의 휘발성 화학종들이 발생하게 된다. 이러한 원소들이 지속적으로 시뮬레이션 셀 내부에 존재하게 될 경우, 표면에 재충돌하여 해석 결과에 영향을 줄 수 있고, 이러한 현상은 지구 저궤도의 진공 환경을 모사하기에 적합하기 않기 때문에, 기체들이 시뮬레이션 최상단에 도달할 경우 제거되도록 하였다.
각 AO 충돌 시뮬레이션은 200~920 K의 온도 조건에서 40 K마다 NVT(일정 부피, 온도) 조건에서 총 1000개의 AO가 투입되는 동안 수행되었다. 각 온도 조건에서는 다른 랜덤 시드를 활용한 초기 속도 분포를 가지고 5회의 동일한 해석을 수행하여 평균을 통해 결과를 도출하였다. 초기의 slab 모델에서 원하는 온도까지 50,000 step에 걸쳐 상승시킨 후 이후 50,000 step의 안정화를 시킨 후 해석을 진행하였다.
기존의 Reax-FF를 활용한 AO 충돌 해석의 경우 NVE(일정 부피, 에너지) 조건에서 주로 수행이 되었는데, 이 경우 AO로부터 유입되는 운동에너지가 지속적으로 누적되기 때문에 수 ps의 짧은 시간 동안 수천K의 고온까지 상승하게 된다. 이러한 환경에서는 지구 저궤도에서의 운용 온도인 200 K~400 K 환경에서의 질량 감소율과 대응하여 비교하기가 어렵기 때문에, 기존의 연구들은 재료 간의 AO저항성에 대해 정성적인 비교를 위주로 이루어져 왔다. NVT를 활용한 충돌 해석연구에 대해서는 여러 번 제시가 되어 온도에 따른 질량 감소율의 양의 상관성을 보인 바 있지만, 정량적인 관계에 대해서는 깊게 토의되지 않았다. 따라서 본 연구에서는 실제 운용 온도인 200 K~400 K에서의 질량 감소율을 정량화하고자 하는 목표를 갖고, NVT 조건을 활용했다. 또한, 기존 문헌에서 50~100개의 AO만이 투입되어 낮은 온도의 NVT 조건에서는 질량 감소가 뚜렷이 나타나지 않았던 점을 보완하고자 하였다.
통상적인 분자동역학 시뮬레이션에서 긴 time step이 길어질 경우 적은 계산량으로 해석을 수행할 수 있지만, 정확성에 손실을 갖는다. Reax-FF의 경우 특히 원자의 반응성에 영향을 줄 수 있어 time step의 결과에 대한 영향이 더욱 크게 나타한다. 따라서 적절한 time step을 선택하기 위해 다른 조건은 모두 동일하게 설정한 상태에서 0.25 fs, 0.1 fs, 0.05 fs의 time step으로 NVE 해석을 수행하였다.
각 time step별 해석 중에 나타난 온도 변화와 slab의 질량 변화는 각각 Fig. 3과 Fig. 4에 표시되어 있다. 그 결과 0.25 fs의 time step 조건에서는 빠른 속도로 3000~4000 K까지 온도가 상승하고, slab의 질량 또한 40 ps동안 거의 모두 증발해 사라졌지만, 0.1 fs와 0.05 fs의 결과에서는 둘의 차이가 거의 없었으며, 온도 또한 완만하게 2000 K 정도까지만 증가하는 것을 확인하였다. 시스템에 에너지가 투입되는 속도는 동일함에도, 이러한 결과 차이가 보여진 것에 대해, 이는 0.25 fs의 time step 조건에서 화학 반응이 더욱 빨리 일어나는 현상이 반영된 것으로 보인다. 이러한 현상은 같은 속도를 갖는 원자가 있을 때 긴 time step에서 한번에 더 많은 변위를 움직일 수 있기 때문에, 결합된 원자들이 결합 거리 바깥으로 움직일 가능성이 더 높기 때문으로 해석할 수 있다. 따라서, 본 연구에서는 결과가 수렴하여 계산된 0.1 fs의 time step을 택하여 해석을 진행하였다.
|
Fig. 1 (a) Molecular representation of the Kapton monomer and (b) scheme to make a 3D periodic amorphous cell into a slab |
|
Fig. 2 Description of the simulation cell |
|
Fig. 3 Temperature change in NVE simulation for different time step conditions |
|
Fig. 4 Temperature change in NVE simulation for different time step conditions |
각 온도 조건에서 NVT 해석을 수행한 slab의 정규화된 질량의 결과는 Fig. 5에 표시하였다. 온도가 증가함에 따라 질량이 감소하는 기울기가 증가함을 확인할 수 있으며, 초기에는 비선형으로 질량이 감소하다가 본격적으로 기체가 발생하여 질량 감소가 발생하는 때부터는 선형으로 질량이 감소하는 현상 또한 확인하였다. 기존 문헌과 달리 긴 시간의 해석으로부터 선형의 질량 감소 구간을 관측하였고, 기울기가 수렴한 선형 구간에서의 질량 감소율을 계산함으로써 보다 정확한 AO 침식 수율 값을 구해 정량화에 활용하였다.
이러한 질량 감소 경향성의 변화는 시뮬레이션 과정에서 나타나는 발생 기체를 통해서도 확인할 수 있다. 아래 그래프는 시뮬레이션 셀에 존재하는 CO 기체와 OH 기체를 나타낸 것으로, 각 기체가 시간당 발생하는 속도로 해석된다. OH와 같은 수소화합물의 경우 해석 초기부터 발생하기 시작하여 마지막까지 균일한 양으로 발생한다. 반면, CO와 같은 탄소화합물은 해석 초기에는 거의 발생하지 않지만, 시간이 지나 본격적인 질량 감소 단계부터 발생하기 시작한다.
수소 원자의 경우 고분자의 표면에 존재하여 산소 원자와 충돌할 때 산소 원자의 일부는 수소와 결합하여 기체를 발생시키고 나머지 일부는 고분자 사슬의 구조와 결합하여 산화시킨다. 이후에 산소 원자가 사슬에 충분히 산화되어 포화 상태가 된 후에 고분자의 backbone을 이루는 탄소 원자가 분해되어 CO와 같은 탄소 화합물 기체가 발생한다. 따라서, 초기에는 산소 원자들이 고분자의 표면을 산화시키는데 기여하기 때문에 보다 질량 감소율이 낮으며, 비선형적인 질량의 감소율을 보인다. 이러한 표면의 산소 포화 현상과 질량 감소 패턴의 변화는 높은 온도조건에서 더욱 빠르게 일어나며, 이는 높은 온도로 인한 반응성의 증가로 산화 현상이 일어날 가능성이 높기 때문으로 풀이된다.
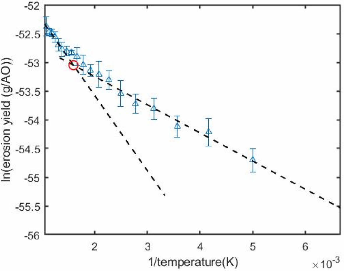
Fig. 5에서의 선형 질량 감소 구간에서의 기울기로 구한 온도에 따른 침식 수율은 Fig. 7과 같이 그려진다. 침식 수율의 로그 값과 온도의 역수에 대한 Arrhenius식 (3)의 관계로 plot하였으며, 그 결과 두 구간에서 선형인 bilinear 커브로 그려졌다. 초기에 낮은 기울기로 그래프가 그려지다가 특정 온도를 기점으로 기울기가 높아지게 되며, AO에 의한 반응이 가속되는 것을 확인할 수 있다. 이는 AO 충돌에 의한 화학 반응 양상에서 온도에 의해 상 변화가 일어났음을 의미한다.

각 bilinear curve들을 외삽하여 교점을 구할 경우 이 상 변화 온도 점을 구할 수 있는데, 그 결과 624.8 K의 온도에서 상 변화가 일어났음을 확인하였으며, 이는 실험적으로 알려진 Kapton의 유리전이 온도인 360~410°C의 범위와 일치한다[14]. 이러한 현상은 유리전이 온도 이상에서 고분자에 포함된 원자들의 유동성이 크게 증가하고, 그에 따라 Kapton을 구성하는 구조적 탄소 원자들이 보다 쉽게 구조로부터 떨어져 나가 기체로 발생하기 쉽기 때문으로 보여진다. 피팅된 온도에 따른 함수식의 형태와 값들은 Table 1에 표시되었다. Fig. 6
|
Fig. 5 Mass change of slabs during NVT simulations |
|
Fig. 6 Volatile gas molecules in simulation cell |
|
Fig. 7 Arrhenius plot of AO erosion yield |
|
Table 1 Fitting parameters of Erosion yield relationship to the temperature for Kapton |
본 연구에서는 지구 저궤도 환경에서 발생하는 산소 원자(AO)의 충돌에 의한 고분자 표면에서의 침식 현상과 질량 감소 현상을 Reax-FF 분자동역학 시뮬레이션을 활용해 분석하였다. 기존의 다른 연구와는 달리 긴 시간 동안의 NVT 분자동역학 해석을 통해 질량 감소 경향성에서의 산소 포화 단계와 선형적 질량감소 단계를 구분하여 관측하였으며, 해석 중에 발생하는 기체의 발생 경향성을 파악하여 각 단계에서의 질량 감소 패턴 차이를 보이는 원인을 규명하였다. 또한, 질량 감소율과 온도에 대한 Arrhenius plot을 그려 bilinear curve로 도식화 함으로써 그 관계를 정량화하였다. 그 결과 특정 온도 점을 기점으로 질량 감소율이 급격히 증가하는 경향성을 확인하였고, 두 적합선의 교점을 통해 상 변화가 발생하는 온도 지점이 고분자의 유리 전이 온도와 일치함을 확인하였다. 향후 연구로써 온도와 erosion yield의 상관 관계식을 활용해 실제 지구 저궤도 환경에서의 운용 온도 조건에서의 yield 값을 계산하여 향후 개발될 연속체 모델에 적용함으로써 우주환경에서의 보다 실제적인 노화 영향을 계산하는 데에 사용할 계획이다.
본 연구는 대한민국 정부(산업통상자원부 및 방위사업청) 재원으로 민군협력진흥원에서 수행하는 민군기술협력사업의 연구비 지원으로 수행되었습니다. (과제번호 22-CM-19)
This Article2024; 37(5): 416-421
Published on Oct 31, 2024
Services
Correspondence toDepartment of Aerospace Engineering, Seoul National University, Seoul 08826, Korea