Han-Jun Seo*, Geon-Gyu Lee*, Seung-Hyeon Kang*, Seong-Haeng Heo*, Young-Woo Nam*, **†
* Graduate School of Aerospace and Mechanical Engineering, Korea Aerospace University
** Department of Smart Drone Engineering, Korea Aerospace University
서한준* · 이건규* · 강승현* · 허성행* · 남영우*, **†
This article is an open access article distributed under the terms of the Creative Commons Attribution Non-Commercial License (http://creativecommons.org/licenses/by-nc/4.0) which permits unrestricted non-commercial use, distribution, and reproduction in any medium, provided the original work is properly cited.
This study analyzes the environmental durability and electromagnetic wave absorption performance of radar absorbing structures (RAS) composed of nickel-coated glass fibers (NCFs) embedded in an epoxy resin matrix. Two types of NCFs, differing in nickel plating thickness, were used to fabricate single-layer RAS specimens, and their mechanical and electromagnetic properties were evaluated before and after exposure to a high-temperature and high-humidity environment in accordance with MIL-STD-810H, Procedure II. Mechanical testing and free-space measurements on the RAS specimens were conducted to assess the effects of moisture ingress. Specimens with lower nickel content exhibited microstructural damage due to internal moisture penetration, leading to a more significant reduction in mechanical strength compared to those with thicker nickel plating. This behavior is attributed to the superior moisture barrier properties provided by the thicker nickel layer, which suppressed moisture diffusion and stabilized the fiber–matrix interface. The variation in complex permittivity induced by moisture absorption was negligible, and the RAS retained its electromagnetic absorption performance after environmental exposure.
본 연구에서는 스텔스 복합재의 내환경 특성과 전자기파 흡수 성능을 평가하기 위해 니켈이 도금된 유리섬유를 활용한 단층형 전파흡수구조를 제작하였다. GND용 NCF (GND)와 유전체용 NCF (NCF)의 니켈 도금량 차이에 따른 흡습 거동, 기계적 및 전자기적 특성 변화를 비교하였다. MIL-STD-810H 규격에 따라 5일간 고온다습 조건에서 내환경시험을 수행하였으며 시험 전후 인장 및 압축 시험과 자유공간 측정을 통해 물성을 평가하였다. 유전체용 NCF 시편은 내부로 침투한 수분에 의해 미세 균열이 유발되었으며, 이에 따라 GND용 NCF 시편 대비 기계적 강도 저하가 더 크게 나타났다. 이는 두꺼운 니켈 도금층이 수분 확산을 억제하고 섬유-기지 계면을 안정화시켜 수분 저항성을 향상시킨 결과로 해석된다. 전자기적 특성의 경우, 수분 흡수에 따른 유전율 상승은 관찰되었으나 그 변화 폭은 미미하였으며 제작된 RAS는 내환경시험 후에도 우수한 전파흡수 성능을 유지하였다.
Keywords: 스텔스 복합재 구조(Stealth composite structure), 습식 열화(Hygrothermal aging), 무전해도금(Electroless nickel plating), 기계적 물성(Mechanical property), 전자기적 물성(Electromagnetic property)
스텔스 기술은 레이더, 적외선 추적기, 음파 탐지기 등에 의해 쉽게 탐지되지 않도록 하여 군사 무기 시스템의 생존성을 향상시키는 기술이다[1,2]. 스텔스 기술은 형상 설계 방법, 전파흡수재료(Radar absorbing materials, RAM), 전파흡수구조(Radar absorbing structures, RAS)로 분류된다. RAS는 하중 지지 능력 및 전자기파 흡수 성능을 동시에 구현할 수 있으며, 구조화를 통해 RAM을 보완 및 확장하는 방향으로 연구가 활발히 진행되고 있다[3-7]. RAS는 레진에 나노입자를 분산하는 방법 또는 섬유에 금속 도금을 하는 방법으로 구현된다. 하지만 첫 번째 방법은 나노입자의 분산에 기반하고 있어 분산 방법에 따라 입자의 응집과 중량 증가가 발생할 수 있다[8]. 최근에는 섬유의 전자기 물성을 조절하여 전파흡수구조를 구현하는 연구가 진행되어 오고 있다[9]. 두 번째 방법은 입자의 응집과 중량 증가를 최소화하며 전자기적 특성을 개질할 수 있으며 대량 생산이 가능하다[10,11]. 이러한 이유로 선행 연구들은 니켈이 무전해도금된 유리섬유/에폭시를 사용하여 RAS를 제작하였다[12-15]. 스텔스 비행체의 운항환경은 기후 및 고도에 따라 그 조건이 다양하며 이러한 다양한 환경 조건 중 온도와 습도가 미치는 영향은 큰 비중을 차지한다[16,17]. 높거나 낮은 온도와 습도는 재료에 팽창과 수축에 의한 변형을 유발하거나 재료가 가진 기계적/전자기적 특성에 변화를 유발한다[18]. 수분은 복합재료 내에서 확산 작용으로 인해 레진으로 침투하거나, 모세관 현상에 의해 계면을 통해 침투하게 된다. 특히 외부 환경에 직접적으로 노출되는 스킨 구조물의 경우 표면 손상 또는 균열이 발생할 때, 수분의 확산, 침투현상은 가속화된다[19]. 스텔스 비행체는 운항 중 노출될 수 있는 환경 조건에서도 균일한 기계적/전자기적 특성 및 전파 흡수 성능을 제공해야 한다[20]. 선행 연구에서 H.T Cho 등은 니켈이 도금된 유리섬유와 열가소성 수지를 이용하여 RAS를 제작하였다. 내환경시험을 통해 수분에 노출된 시편의 기계적/전자기적 특성 감소를 확인하였으며, 유리섬유의 니켈 도금이 수분 흡수를 방해하여 기계적/전자기적 특성에 영향을 미침을 확인하였다[21]. Y. Li 등은 유리섬유/에폭시 복합재를 사용하여 수분 흡수 환경에 대한 기계적/전자기적 특성을 연구했다. 연구에서는 제안된 시편의 3개월간의 수분 흡수 이후 인장강도가 22 %가량 감소한 것을 확인했다. 전자기적 특성은 수분 흡수에 따라 수분이 수지에 흡수되면서 유전율이 상승함을 확인했다[22]. 본 연구에서 제작된 시편은 MIL-STD-810H의 Procedure II-METHOD 507.6 시험 규격에 따라 5일간 항온항습기에서 내환경시험을 진행하였다. 내환경 시험 전, 후 기계적 물성의 거동을 분석하기 위해 ASTM D3039 규격에 따라 인장시험을, 압축시험은 ASTM D6641 규격에 따라 진행하였다. 전자기적 물성의 경우 자유공간측정장비를 통해 측정하였으며 제작된 시편으로 단층형 전파흡수구조를 설계하여 자유공간측정장비를 통해 전파흡수성능을 확인하였다.
2.1 재료 선정
본 연구에서는 유전체로 활용할 수 있도록 니켈이 도금된 유리섬유(Nickel coated glass fiber, NCF)와 GND로 사용할 수 있도록 니켈이 비교적 다량 도금된 유리섬유(Nickel coated glass fiber for GND, GND)를 사용하여 시편을 제작하였다. 유리섬유에 도금된 니켈의 정도를 비교하기 위해서 Fig. 1과 Fig. 2와 같이 주사전자현미경(Scanning electron microscope, SEM) 통해 이미지를 분석하였다. 니켈의 질량 백분율 차이를 에너지 분산형 분광분석법(Energy dispersive spectroscopy, EDS)을 통해 분석하여 Table 1에 나타내었다. 분석 결과 GND용 NCF의 니켈 질량 백분율 은 유전체용 NCF의 질량 백분율 대비 약 21배인 것을 확인하였다. 특히 GND용 NCF에서 구리 성분 또한 다량 검출되었음을 확인하였다. 이는 전기전도도 개선을 목적으로 니켈과 구리를 혼합하여 무전해도금을 진행한 결과이다. 일반적으로 니켈 단일 무전해도금에 비해 구리를 함께 도금할 경우, 전기전도도가 향상되는 것으로 알려져 있으며, 이는 전파 반사 성능을 극대화하기 위한 설계 고려 사항이었다[23]. 복합재 시편 제작에 사용된 에폭시 레진은 diglycidyl ether of bisphenol A 계열(YD-128, 국도화학(주))을 사용하였으며 경화제로는 aromatic amine 계열(TH-431, 국도화학(주))이 사용되었다.
2.2 제작
스텔스 복합재의 제작 과정은 Fig. 3에 요약되어 있다. 복합재는 니켈 도금된 유리섬유에 에폭시 레진을 도포하여 크로스 플라이[0°/90°]로 적층하여 오토클레이브에서 경화하였다. 경화 조건은 7 bar의 압력에서 처음 30분 동안 80oC에서 유지한 뒤, 130oC에서 120분 동안 유지하였다.
Fig. 4는 본 연구에서 사용한 항온항습기와 내환경시험에 대한 규격이다. 고습도 환경에 따른 기계적 물성 거동을 평가하기 위한 시편은 면내 방향으로 흡습을 유도하기 위해 시편의 끝부분에 고무테이프를 부착하여 단면을 통한 수분 흡수를 차단하였다. 수분 환경에 노출되는 시편은 항온항습기 내에 95%의 수분 환경을 유지한 상태로, 30oC에서 2시간 동안 온도를 60oC로 올린 뒤, 6시간 동안 온도를 유지, 이후 8시간 동안 온도를 30oC로 낮춘 뒤 8시간 동안 유지하였다. Fig. 5는 MIL-STD-810H의 Procedure II-METHOD 507.6의 한 주기 사이클을 나타내며, 해당 시험 규격에서 명시한 5 사이클에서의 기능점검 시점을 준용하여 5일 동안 시험을 진행하였다.
2.3 기계적 물성 시험
니켈이 무전해도금된 유리섬유/에폭시 복합재의 인장, 압축 시험을 수행하여, 환경시험 전, 후로 수분이 복합재에 미치는 영향과 계면 결합력에 미치는 영향을 확인하였다. 기계적 특성을 비교하기 위해 GND용 NCF와 유전체용 NCF 두 종류의 시편을 가공 및 제작하였으며 시편 형상은 Fig. 6, Fig. 7와 같다.
인장 시편은 ASTM D3039 규격에 따라 제작되었으며 시험은 100t급 만능시험기 LD100을 사용해 실온에서 2 mm/min으로 수행하였다[24]. 압축 시편은 ASTM D6641 규격을 참조하여 제작 및 가공하였다. 시험은 동일한 만능시험기로 진행하였으며, 실온에서 1.3 mm/min으로 수행하였으며 각 시험 과정은 Fig. 8과 같다[25].
2.4 전자기적 물성 시험
내환경 시험 전, 후 유전체용 NCF 시편 유전율과 GND용 NCF 시편의 반사성능을 자유공간측정장비를 통해 측정하였으며, WOLFGANG 社의 SRM-200 장비를 통해 GND용 NCF 시편의 면저항을 측정하였다. 제작된 유전체용 NCF 시편과 GND용 NCF 시편의 전자기적 물성과 RAS의 전파흡수성능을 내환경시험 전, 후로 Fig. 9에 나타난 자유 공간 측정 장비를 통해 측정하였다. 이 시스템은 두 개의 혼 안테나, 네트워크 분석기, 시편 거치대로 구성되어 있다. 혼 안테나의 전면에 부착된 집속 렌즈는 집속된 빔을 유도하고, 중심에서 시편에 평면파가 3λ (파장) 반경으로 입사되었다. RAS의 전파흡수성능을 측정하기 위해 유전체용 NCF 시편의 후면에 GND용 NCF 시편을 배치하였다. RAS는 두 안테나 사이의 시편 거치대에 배치되었으며, 내환경시험 전, 후로 그 결과를 분석하였다.
|
Fig. 1 Scanning electron microscope (SEM) images of the surface of the glass fibers: (a) NCF; (b) GND |
|
Fig. 2 Energy–dispersive spectroscopy (EDS) images of NCF and GND |
|
Fig. 3 Fabrication process of the proposed specimens of NCF and GND |
|
Fig. 4 Environmental test chamber and specimens before moisture absorption |
|
Fig. 5 Temperature and RH profile for the 24 h hygrothermal test cycle |
|
Fig. 6 (a) and (b) non-exposed specimens; (c) and (d) Exposed specimen tensile test |
|
Fig. 7 . (a) and (b) non-exposed specimens; (c) and (d) Exposed for the compressive test |
|
Fig. 8 Mechanical test setups: (a) Tensile test, (b) compressive test |
|
Fig. 9 Free-space measurement system |
|
Table 1 The composition of Ni coated glass-fabric layers as determined by EDS analysis |
3.1 전파흡수구조 설계
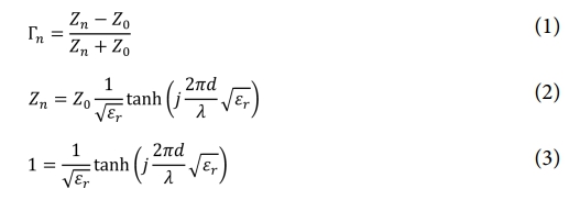
RAS 표면에서는 전파의 반사와 투과가 동시에 발생하며, 이 전파가 반사, 투과 또는 흡수층에서 소실되는 양은 RAS 흡수층의 전자기적 특성과 두께에 따라 달라진다[26]. 전파의 흡수량을 증가시키면서 RAS의 두께를 줄이기 위해서는 흡수층의 복소 유전율을 높이는 것이 필요하지만 무조건적인 유전율의 상승은 표면에서 반사되는 전파의 양이 증가시켜 RAS의 성능이 저하될 수 있다. 이에 따라 RAS는 표면에서 발생하는 반사파의 크기를 최소화하여 더 많은 전파가 투과되도록 설계된다. RAS 표면에서 반사파의 크기는 식 (1)에 따라 계산된 반사계수를 통해 평가할 수 있다. 일반적으로 전파의 수직 입사 조건에서 반사계수의 절대값이 최소가 되기 위해선, 입력 임피던스(Zn)가 자유공간의 특성 임피던스(Z0 = 377 Ω)와 일치해야 한다. 이때 반사계수는 0이 되며 이러한 상태를 임피던스 정합이라고 한다[27]. 본 연구에서는 평면 입사 전자기파가 자유공간을 통해 전파흡수구조에 수직으로 입사하는 경우를 고려하여 RAS를 설계하였다. Fig. 10과 같은 단층형 RAS에서 후면의 금속판의 특성 임피던스는 0이며 유전성 전파흡수재료를 사용하였기 때문에 비투자율(μr)은 1이다. 입력 임피던스는 전송선로 이론에 따라 계산되며 수직 입사에 대한 단층형 RAS에서의 계산식은 식 (2)과 같다.

특정 주파수에서 전파흡수구조가 무반사가 되는 조건은 입력 임피던스(Zn)이 공기 중 임피던스(Z0 = 377 Ω)와 동일할 때 성립한다. 따라서 전파흡수구조가 이 무반사 조건을 충족하면 식 (2)는 식 (3)으로 표현된다. 식 (3)에서는 주파수와 두께가 주어졌을 때, 무반사 조건을 만족하는 복소유전율 값을 얻을 수 있다. 주파수 10 GHz에서 전파 흡수층의 두께를 0.1 mm씩 변화시켜 가며 각 두께에서 복소유전율 εr의 해를 구하였다. 복소유전율의 실수부(εr')와 허수부(εr'')를 각각 x축과 y축에 나타내어 cole-cole plot으로 표현하면 Fig. 11과 같다[28].
본 연구에서는 NCF 흡수층과 후면에는 GND용 NCF로 구성된 단층형 달렌바흐 흡수체를 Fig. 12(a)와 같이 설계하였다. 전자기파가 RAS에 입사하면, 일부는 표면에서 반사되고, 다른 일부는 유전체용 NCF를 통해 전달된다. 전달된 전자기파 중 일부는 열에너지로 변환되고 나머지는 후면의 GND용 NCF로부터 반사된다. 이때 전달되는 전자기파는 표면 반사파와 서로 공명현상을 일으켜 전자기파를 상쇄시킨다[29].
Fig. 12(b)은 상용소프트웨어인 CST Microwave Studio로 설계한 단층형 전파흡수체의 단위 셀 모델이다. RAS는 본 연구에서 측정한 주파수 대역에서 높은 흡수 성능을 나타내도록 두께에 대한 최적화를 통해 RAS를 설계하였으며 이 때 유전체용 NCF 층의 두께는(d1) 2.9 mm로 도출되었다. 이의 시뮬레이션 결과는 Fig. 13에 나타내었다.
|
Fig. 10 Schematic of the single-slab RAS [27] |
|
Fig. 11 Cole-cole plot of the complex permittivity solution at 10 GHz |
|
Fig. 12 (a) Schematic of the Single-slab RAS Unit-cell model used for the design of the optimized RAS and (b) CST simulation conditions |
|
Fig. 13 Simulated return loss from 8.2 to 12.4 GHz |
4.1 수분 흡수 거동 및 미세구조 변화
5일간의 내환경시험 결과 각 시편의 수분 흡수에 대한 곡선은 Fig. 14과 같다. 유전체용 NCF 시편의 경우 GND용 NCF 시편보다 수분 흡수율이 같은 시간 대비 높았으며 보다 빠른 시간에 더 많은 양의 수분이 흡수되었다. 수분 흡수는 5일간 이루어졌으며 두 시편 모두 포화상태에 도달하지 못했다. 그래프에서 관찰된 시편의 무게 증가는 수분이 복합재 내부로 효과적으로 침투했음을 보여주며, 이는 재료 내부에 수분이 흡수될 수 있는 공간이 존재함을 의미한다.
수분 흡수가 시편의 미세 구조에 미치는 영향을 확인하기 위해, Fig. 15에 나타난 바와 같이 시편의 표면과 단면의 SEM 이미지를 촬영하였다. 그러나 수분이 포함되어 있는 시편의 SEM 이미지 촬영이 제한되기 때문에 시편은 항온항습기에서 50%의 상대습도, 23oC의 환경에서 24시간이 넘지 않도록 안정화 과정을 진행하였다. SEM 이미지 분석 결과, 수분 흡수 후 유전체용 NCF 시편의 표면에서 미세 균열이 발생하였으며 GND용 NCF 시편은 미세 공극과 균열이 발생하지 않았다. 이러한 결과는 유전체용 NCF 시편과 GND용 NCF 시편의 고온다습한 환경에서 시험 전, 후 기계적 물성 거동에서 다른 경향을 만들어 냈다.
4.2 기계적 물성 시험 결과
기계적 물성 측정 결과는 Fig. 16에 나타내었다. 환경시험 후 유전체용 NCF 시편의 인장강도는 5.05%, 압축강도는 18.75% 감소한 반면, GND용 NCF 시편의 인장강도는 0.42%, 압축강도는 6.41% 감소하였다. 이로 인해 유전체용 NCF 시편이 GND용 NCF 시편에 비해 상대적으로 큰 인장 및 압축강도 감소 폭을 나타냈다. 이러한 결과는 니켈 도금이 섬유와 수지 간 계면으로의 수분 흡수를 억제한 데 기인한 것으로 분석된다. 선행 연구에 따르면, Sham-Tsong Shiue 등은 구리, 니켈 등 금속 무전해도금이 섬유에 고온에서도 우수한 수분 저항성을 부여한다고 보고한 바 있다[30,31]. 따라서, 니켈 도금량이 더 많은 GND용 NCF 시편은 유전체용 NCF 시편에 비해 기계적 물성 감소폭이 작았으며, 이는 복합재 표면 및 내부에서 고온 다습 환경 열화로 인해 발생하는 미세 손상 및 공극의 발생이 상대적으로 적었기 때문으로 판단된다.
유전체용 NCF 시편과 GND용 NCF 시편 모두 압축 강도가 인장 강도보다 더 큰 하락폭을 보였다. 이는 경화된 복합재 에폭시 레진이 수분을 흡수한 결과로 판단된다. 구체적으로, 물 분자가 에폭시 레진에 침투하여 분자 사슬을 이완시키는 가소화 현상을 유발함으로써 레진의 강성 및 강도를 저하시킨다[32]. 더불어, 수분은 섬유와 레진 간의 계면 접착력을 약화시키고, 레진 내부에 미세 균열이나 공극을 형성하여 압축 하중 하에서의 응력 집중을 초래하기 때문에 이러한 결과가 발생한 것으로 분석된다.
4.3 파손 단면 분석
Fig. 17은 인장 및 압축 시험에서 발생한 시편의 파손 모드를 나타낸다. 시편의 최종 파손 모드는 인장 파손과 압축 파손이었으며, 각각 ASTM D3039와 ASTM D6641에서 허용할 수 있는 파손 모드이다.
인장시험의 경우 내환경 시험 전 유전체용 NCF 시편은 그립부 인근에서 섬유 다발이 급격히 분출하며 파단되는 폭발적 빗자루형 파괴를 나타냈다. 반면 내환경 시험 후 유전체용 NCF 시편에는 시편 게이지 영역 전반에 걸쳐 층간 박리와 섬유 인발이 우세한 파괴로 전이되어, 섬유보다는 층간 접착력 저하가 파괴를 지배함이 확인되었다. GND용 NCF 시편은 내환경 시험 전, 후 모두 섬유 방향의 세로 분열형 파괴가 기본적으로 유지되었으나, 처리 후 시편에서는 섬유 인발 길이 증가와 박리 면적 확대가 두드러졌다. 압축 시험의 경우 내환경 시험 전 유전체용 NCF는 국부적 섬유 미세 좌굴과 소규모 측면 부풀림을 보였으나, 내환경 시험 후 층간 분리 확산 및 섬유 인발로 계면 전단강도 저하와 매트릭스 연화가 파괴를 지배했다. 반면 GND용 NCF는 처리 전후 모두 섬유 좌굴 지배 파괴 양상이었으나, 처리 후 빗자루형 분열과 다중 층간 분리 및 길이 방향 섬유 인발이 확대되었다. 이는 계면 열화 및 매트릭스 연화가 섬유 지배 파괴를 계면 및 매트릭스 지배 파괴로 전환시켜 압축 강도를 현저히 감소시킨 결과이다.
4.4 전자기적 물성 시험 결과
GND용 NCF 시편의 내환경 시험 전, 후 면저항 측정결과는 Fig. 18와 같다. 내환경 시험 전과 후, 두 시편 모두 면저항이 103 Ω/sq 이하의 낮은 값을 유지하며 큰 변화를 보이지 않았다.
Fig. 19은 내환경시험 전, 후 GND용 NCF와 완전 전기 도체(Perfect electric conductor, PEC)의 반사 성능을 나타내었다. 이때 반사율은 반사계수(Γ)의 제곱으로 반사손실과 반사계수와의 관계 식을 통해 구하였으며 관계식은 식 (4)에 나타내었다. 시험 전 GND용 NCF와 PEC는 서로 상응한 결과를 나타내었으며 시험 후 GND용 NCF의 반사 성능 또한 측정한 주파수 대역 전 구간에 걸쳐 95% 이상의 반사 성능을 보였다. 이러한 결과는 자유공간측정장비를 통한 전자기적 물성 측정과 SEM 이미지 분석을 통해 예상된 결과이다.
내환경시험 전, 후 유전체용 NCF의 복소유전율을 자유공간측정장비를 통해 측정하였으며 측정 결과를 Fig. 20에 나타내었다. 내환경 시험 전, 후 주파수 10 GHz에서 유전체용 NCF의 유전율 실수부는 약 0.31, 허수부는 약 0.22가 증가하였다. 수분 흡수로 인한 복합재의 유전율 상승은 에폭시 레진과 흡습된 수분 간 유전율 차이 및 수분의 분포에 기인한다. 이를 설명하기 위해 식 (5)의, Maxwell-Garnett 유효 매질 이론을 적용할 수 있다[33]. 이 이론에 따르면, 복합재 내의 수분은 수지내에 균일하게 분포하는 입자로 간주되며, 이러한 구조의 유효 유전율(εeff)는 다음과 같은 관계식으로 표현된다.

이 식에서 εm은 에폭시 레진의 유전율,εi는 포함된 입자의 유전율, φi는 수분의 부피 비율을 나타낸다. 주파수 10 GHz에서 수분의 상대 유전율은 약 80으로, 에폭시 레진의 유전율인 약 3~4에 비해 매우 높다. 이로 인해 복합재 내부에 수분이 흡수되면, 수분의 높은 유전율로 인해 복합재의 유효 유전율이 상승하게 된다.
Fig. 21은 제작된 단층형 RAS의 내환경시험 전, 후의 반사손실을 측정한 데이터를 나타낸 그래프이다. 시뮬레이션 결과와 제작된 시편의 전파흡수성능을 비교하였을 때 피크 주파수와 피크 주파수에서 반사손실 값의 차이가 발생하였다. 이는 제작 과정에서 목표로 두께보다 두껍게 시편이 제작된 결과로 인한 것으로 판단된다. 전파흡수성능 측정결과 유전체용 NCF 시편의 기계적 물성이 감소한 결과와 달리 전파흡수구조에서 반사손실 변화가 미미하였다. 내환경시험 후 피크 주파수의 경우 내환경시험 전과 비교하였을 때 0.02 GHz 낮아졌으며 피크 주파수에서 반사손실의 경우 2.22 dB 증가하였다. 이에 대한 결과는 Table 2에 정리하였다.
|
Fig. 14 Moisture absorption curves of the NCF & GND |
|
Fig. 15 SEM images of the specimens: (a) And (b) Before the environmental test; (c) And (d) After the environmental |
|
Fig. 16 Comparison of mechanical characteristics of the NCF and GND before and after moisture absorption: (a) Tensile strength and (b) Compressive strength |
|
Fig. 17 Failure modes of composite specimens under tensile (a–d) and compressive (e–h) test |
|
Fig. 18 Sheet Resistance Measurement Results of NCF Specimens: (a) Before Environmental Test, (b) After Environmental Test |
|
Fig. 19 Reflectivity of the PEC and GND |
|
Fig. 20 (a) Measured real permittivity of NCF, (b) Measured imagine permittivity of NCF after environmental test |
|
Fig. 21 Simulated return loss and degradation trend in EM wave absorption capacity of the RAS at after 5 days environment test |
|
Table 2 Changes in return-loss characteristics resulting from moisture absorption |
본 연구에서는 유전체용 니켈이 코팅된 유리섬유와 열경화성 수지인 에폭시 레진을 기반으로 RAS를 설계하였으며 전파흡수성능을 평가하였다. 내환경시험은 MIL-STD-810H의 Method 507.6 규격을 따랐으며 5일간 진행되었다. 유전체용 NCF 시편의 경우 GND용 NCF 시편보다 수분 흡수 속도가 같은 시간 대비 더 높았다. SEM/EDS 분석을 이용하여 유전체용 NCF와 GND용 NCF 시편의 미세 구조 특성을 확인하였으며 내환경시험 전, 후의 인장강도 및 압축강도를 측정하고 전자기파 흡수 성능을 평가하였다. 두 시편 모두 감소하는 경향을 보였으며 유전체용 NCF 시편의 경우 GND용 NCF 시편보다 기계적 물성 감소 비율이 높았다. 따라서 비교적 다량의 니켈이 도금된 GND용 NCF 시편의 경우 높은 내습성을 가짐을 확인하였다. 유전체용 NCF의 유전율은 수분 흡수에 따른 상승이 관찰되었으나, 수분 흡수량이 적어 유전율 변화폭은 크지 않았다. 제작된 RAS의 반사손실은 내환경 시험 후에도 변화가 미세하여 5일간의 수분 흡수는 큰 영향을 미치지 않는 것으로 나타났으며 RAS의 내환경 시험 전, 후의 90% 전파흡수성능을 나타내는 범위는 서로 상응하였다. 내환경시험 전, 후의 피크 주파수의 차이 변화는 미세하였으며 피크 주파수에서 최대 반사 손실 값의 변화는 내환경시험 후 소폭 증가하였다. 두 RAS 모두 측정한 대역에서 우수한 전파흡수성능을 보였다. 본 연구에선 기계적 물성 시험을 통해 니켈 도금 두께가 수분 저항성에 미치는 영향을 확인하였으며 에폭시 기반 RAS가 고온 다습환경에서 운용되는 비행체에도 적용 가능함을 실험적으로 확인하였다.
경기도의 경기도지역협력연구센터(GRRC) 사업[GRRC 항공 2023-B05] 사업의 일환으로 수행하였음.
This Article2025; 38(3): 232-241
Published on Jun 30, 2025
Services
Correspondence to* Graduate School of Aerospace and Mechanical Engineering, Korea Aerospace University
** Department of Smart Drone Engineering, Korea Aerospace University