Donghyeon Lee*, Yunji Kim**, Dong-Jun Kwon*, **†
* Department of Materials Science and Convergence Technology
** Department of Polymer Science and Engineering, Gyeongsang National University
이동현* · 김윤지** · 권동준*, **†
This article is an open access article distributed under the terms of the Creative Commons Attribution Non-Commercial License (http://creativecommons.org/licenses/by-nc/4.0) which permits unrestricted non-commercial use, distribution, and reproduction in any medium, provided the original work is properly cited.
This study investigates the interfacial adhesion properties of two commonly used structural sealants, polyurethane (PU) and polysulfide (PSF), when applied to carbon fiber-reinforced polymer (CFRP) substrates with different resin matrices, PU-based and epoxy-based CFRP. The calculated work of adhesion (Wadh) values revealed that the PU sealant exhibited significantly higher surface energy and polar component than the PSF counterpart, owing to its urethane groups capable of hydrogen bonding and dipolar interaction. Shear adhesion strength tests showed that the PU sealant achieved strengths of 1.3 MPa and 0.9 MPa on PU and epoxy CFRP, respectively, whereas the PSF sealant exhibited consistently low strength (0.1 MPa). These differences were attributed to the chemical structure, polarity, and compatibility between the sealant and substrate. The findings demonstrate that interfacial adhesion is strongly influenced by both the molecular functionality of the sealant and the chemical nature of the CFRP matrix. This study highlights the importance of selecting sealants based on interfacial compatibility and structural performance requirements for reliable bonding in composite structures.
본 연구에서는 구조용 실란트로 널리 사용되는 폴리우레탄(PU) 실란트와 폴리설파이드(PSF) 실란트를 대상으로, 서로 다른 기지재료를 가진 탄소섬유강화복합재(CFRP)와의 계면 접착 특성을 비교·분석하였다. 피착재로는 PU 기반 CFRP와 에폭시 기반 CFRP를 사용하였다. PU 실란트는 우레탄기 내 수소결합과 극성 작용기로 인해 PSF 실란트보다 현저히 높은 표면 에너지와 극성 성분을 나타냈으며, 이에 따라 더 높은 접착일을 보였다. 전단 접착 강도를 측정한 결과, PU 실란트는 두 기지재료 모두 약 1 MPa의 접착 강도를 나타내었으나, PSF 실란트는 두 기지재료 모두에서 0.1 MPa 수준의 낮은 값을 보였다. 이러한 차이는 실란트의 화학 구조, 극성, 그리고 피착재와의 상용성에 기인하는 것으로 분석된다. 본 연구는 실란트의 계면 접착 성능이 분자 구조와 피착재의 화학적 특성에 크게 영향을 받음을 보여주며, 복합재 구조물의 신뢰성 있는 접합을 위해 실란트 선택 시 계면 적합성과 구조적 요구 특성의 병행 고려가 필요함을 제시한다.
Keywords: 실란트(Sealant), 표면 분석(Surface analysis), 접착강도(Adhesion strength), 탄소섬유강화복합재료(CFRP)
건축물, 항공기, 자동차 등 다양한 산업 구조물에는 필연적으로 접합부가 존재하며, 이러한 접합부의 기밀성 및 구조적 안정성 확보는 전체 구조물의 성능에 중대한 영향을 미친다. 일반적으로 접합부는 기계적 체결 방식을 통해 1차적인 고정이 이루어진 후, 외부 환경으로부터의 수분, 공기, 화학물질 침투를 방지하고 진동 및 하중 전달의 완충 역할을 수행하기 위해 실란트가 적용된다[1]. 실란트는 구조적 연계 부위의 밀봉뿐만 아니라, 복합적인 기계적, 화학적 하중으로부터 접합부를 보호하는 기능적 소재로 간주된다[2].
실란트는 경화 메커니즘에 따라 크게 세 가지로 분류된다[3]. 화학 반응에 의해 경화가 진행되는 chemical reactive형, 휘발성 성분의 증발을 통해 경화되는 physically reactive형, 그리고 경화나 반응 없이 점착성만으로 기능하는 non-reactive형 실란트가 있다. 이 중 chemical reactive형 실란트는 우수한 기계적 특성과 내구성으로 인해 구조용 실란트로 가장 널리 활용되고 있으며, 건축물, 교통수단, 산업 설비 등 다양한 분야에서 적용되고 있다[4]. 그러나 physically reactive형 실란트는 기계적 물성이 부족하여 고강도 접합에는 제한적이며, non-reactive형 실란트는 장기적인 sealing 기능 확보에 한계가 있다는 단점이 존재한다[5].
대표적인 chemically reactive형 실란트로는 polysulfide (PSF), polyurethane(PU), silicone, epoxy 기반의 제품들이 있으며, 각기 상이한 화학적 구조와 응용 특성을 지닌다[6,7]. Silicone 실란트는 우수한 내후성을 갖추고 있으나, 비극성 구조로 인해 다공질이 없는 매끄러운 표면에만 적용 가능하며, 복합재료와의 계면 접착에는 한계가 있다[8]. Epoxy 실란트는 우수한 기계적 강도와 내열성을 제공하지만, 경화 후 높은 강성과 낮은 연성으로 인해 구조에 응력 집중을 유발할 수 있으며, 장기 내후성 측면에서 불리하다[9]. PSF 실란트는 뛰어난 내화학성과 내유성을 제공하나, 기계적 강도 및 인성이 낮아 구조용 접합재로 단독 사용되기에는 한계가 있다[10]. PU 실란트는 우수한 인성과 우수한 강도를 바탕으로 구조적 충격 흡수 및 반복 하중 하에서의 안정성이 우수하나, 화학물질 및 자외선에 대한 내성이 상대적으로 낮은 편이다[11].
구조물의 사용 환경과 접합 조건에 따라 실란트의 종류를 선택하는 것이 중요하며, 다양한 피착재와의 계면 접착력 확보는 실란트 적용의 핵심 과제 중 하나이다[12]. 특히 탄소섬유강화복합재(CFRP)와 같은 구조재료는 고강도·경량 특성으로 인해 항공, 자동차, 건축 등 다양한 분야에서 폭넓게 사용되며, CFRP 간의 구조적 접합 또한 실질적으로 요구된다[13]. 따라서 CFRP와의 계면 접착 특성을 명확히 이해하는 것은 실란트의 적용 신뢰성을 향상시키는 데 필수적이다.
각 실란트는 고유한 화학적 구조와 경화 메커니즘에 따라 피착재와의 계면에서 서로 다른 접착 성능을 발현한다[14]. 특히 접착 특성은 실란트와 피착재 간의 화학적 상호작용, 표면 에너지, 그리고 계면에서의 물리적 적합성에 크게 의존한다. CFRP는 구조용 복합재로서 광범위하게 사용되고 있으며, 그 기지재로는 에폭시, 폴리우레탄, 아크릴, 폴리카보네이트 등 다양한 고분자 계열이 적용되고 있다[15,16]. 이러한 기지재료는 각각 상이한 극성, 경도, 표면 에너지 및 화학적 기능기를 가지므로[17,18], 동일한 실란트를 적용하더라도 계면 접착 거동은 크게 달라질 수 있다[19]. 따라서 각 실란트의 화학적 구조에 대한 이해뿐만 아니라, 피착재와의 계면에서 접착이 어떻게 이루어지는지를 규명하는 연구가 필요하다. 이는 실질적인 접착력 확보뿐만 아니라, 다양한 조건에서의 재료 호환성 확보와 장기적 신뢰성 확보를 위해 필수적인 기반 정보를 제공할 수 있다.
본 연구에서는 PU 실란트와 PSF 실란트를 비교 분석하였다. 피착재로는 우수한 연성과 충격 흡수 특성을 갖는 PU 기반 CFRP, 다른 하나는 높은 강성과 치수 안정성을 갖는 에폭시 기반 CFRP로 구성되었다. 각 실란트–CFRP 조합의 계면 특성을 평가하기 위해, 접촉각 측정을 진행하였고, 표면에너지 및 접착 일을 도출하였다. 접착 시험을 통해 실질적인 접착 강도를 측정하고, 이론적 접착일과 실험적 접착 강도 간의 상관관계를 분석하였다. 이러한 연구를 통해, 실란트의 화학적 구조와 피착재의 기지재 특성에 따른 계면 접착 거동 차이를 규명하고, 다양한 구조재에 실란트를 적용할 때의 재료 선택 기준과 계면 설계 전략을 제시하고자 한다.
2.1 재료
본 연구에서는 실란트 재료로 PU 실란트인(PU-9330PTA, KCC, 한국)와 PSF 실란트(PS-9210PTA, KCC, 한국)를 사용하였다. 실란트는 25°C에서 7일간 경화시켜 내부까지 경화되도록 하였다. 피착재로는 폴리우레탄(PU) 기반 CFRP는 동성TCS(한국)에서, 에폭시(Epoxy) 기반 CFRP는 TB카본 (한국)에서 제공받아 실험에 사용하였다.
2.2 접촉각 측정 및 표면에너지/접착일 계산
표면 에너지 분석을 위해 총 네 가지 용매에 대한 접촉각을 측정하였다. 측정에 사용된 용매는 극성 용매인 DI-water, formamide, 비극성 용매인 ethylene glycol, diiodomethane으로 구성하였다[20]. 각 용매에 대한 접촉각 측정은 무작위 5군데에 대하여 측정을 진행하고, 표면에너지를 계산하였다. 접촉각 측정은 용매 0.5 ml를 사용하여 접촉각 측정을 진행하였다. 각 용매에 대한 정적 접촉각을 측정한 후, Young’s 식 (1)[21]과 함께 Owens–Wendt 모델 식 (2)[22] 및 Lewis acid–base 식 (3)[23] 모델을 적용하여 시편 표면의 표면 에너지를 정량적으로 산출하였다.

여기서 γs는 고체, γl는 액체, γsl는 계면에 대한 표면에너지이다. γd는 분산관련, γp는 극성 관련, γ+는 산, γ-는 염기이다. θ는 접촉각이다.
도출된 표면 에너지 값을 통하여 아래 식을 통하여 실란트와 CFRP 기질 간의 접착일(Wadh)을 계산하여 계면 접착 특성을 비교 분석하였다[24]. 접착일 분석은 Owens-Wendt (4), Lewis acid-base (5) 두가지 모델로 사용하였다.

2.3 접착강도 측정
접착 강도 측정은 만능재료시험기(LR-10K, LLOYD Instruments, 영국)를 사용하여 수행하였다. 접착 강도 시험 시편은 ASTM D5868 규격을 기준으로[25], 해당 규격의 절반 크기로 축소된 형태로 제작하였으며, 접착 면적은 10 mm × 10 mm, 접착 두께는 0.1 mm로 설정하였다. 시험은 1 mm/min의 속도로 진행되었으며, 시험 후 각 시편의 파단면 분석은 USB 디지털 현미경(AM4515T, AnMo Electronics, 대만)을 사용하여 수행하였다.
3.1 표면에너지 및 접착일 계산
Fig. 3은 PU 및 PSF 실란트의 표면 에너지를 구성하는 각 요소를 비교한 결과이다. 전체 표면 에너지에서 PU 실란트는 PSF 실란트보다 유의미하게 높은 값을 나타냈으며, 이는 각 구성 성분에서도 동일한 경향을 보였다. 분산 성분의 경우 PU가 PSF보다 약 10% 높은 값을 나타냈으며, 극성 성분은 PU가 PSF 대비 2배 이상 높은 수치를 보였다. 이러한 차이는 두 실란트의 화학적 구조와 관련이 있다. PU 실란트는 케톤기, 아민기 등의 극성 작용기를 포함한 우레탄기 구조를 갖고 있어 수소결합 형성이 가능하다. PSF 실란트는 이황화결합(S–S) 및 에테르(O–O) 결합 중심의 비극성 및 대칭적 분자 구조를 가지며, 이에 따라 극성 기여도가 낮다[26]. 따라서 극성 성분의 차이가 PU 실란트의 전체 표면 에너지 상승에 주요하게 기여한 것으로 해석된다.
Fig. 4는 Owens–Wendt 모델(Fig. 4a) 및 Lewis acid–base 모델(Fig. 4b)을 기반으로 계산된 실란트–CFRP 간의 접착일을 나타낸 것이다. Owens–Wendt 모델은 표면 에너지를 극성 성분으로 분리하여 해석하는 방법으로, PU 실란트는 에폭시 및 PU 기반 CFRP 기질에서 PSF 실란트에 비해 더 높은 접착일을 보였다. 이는 PU가 높은 극성 성분을 가지며, 피착재 표면에 존재하는 극성 작용기와 쌍극자–쌍극자 상호작용 또는 수소결합 형성이 용이하기 때문으로 해석된다. PSF 실란트는 화학적으로 비교적 비활성이며, 극성 작용기의 밀도가 낮아 극성 상호작용이 제한되며, 결과적으로 전체 접착일이 낮게 나타났다. Lewis acid–base 모델(Fig. 4b)은 표면 에너지를 전자공여 성분과 전자수용 성분으로 나누어 분석하는 접근 방식으로, 실란트 간의 화학적 상호작용 차이를 보다 명확히 드러낸다[27]. PU 실란트는 전자의 공유가 원활하게 일어나기 때문에 산화 표면 또는 하이드록실기 등을 포함하는 기질과의 산–염기적 상호작용이 활발히 일어날 수 있음을 의미한다. PSF 실란트는 전자의 전달이나 공유가 적기 때문에 산–염기적 접착이 어렵고, 접착력은 주로 비극성 분산 상호작용에 의존하는 것으로 판단된다. 이러한 결과를 바탕으로, PU 실란트는 극성 상호작용과 산–염기 반응이 활발한 기질, 특히 에폭시 및 PU 기반 CFRP와의 계면에서 보다 우수한 접착 강도를 발현할 수 있을 것으로 예측된다.
3.2 접착 강도 평가
접착 강도 측정 결과, 앞서 접착일을 기반으로 예측한 바와 같이 PU 실란트가 PSF 실란트보다 전반적으로 높은 접착 강도를 나타냈다. 기지재료별 차이를 비교하였을 때, PU 실란트는 동일 계열인 PU 기반 CFRP에서 가장 높은 접착 강도를 보였으며, 이는 화학적 상용성과 계면 적합성에 기인한 결과로 해석된다. PSF 실란트는 PU 및 에폭시 기반 CFRP 간의 접착 강도 차이는 상대적으로 크지 않았으나, 신율은 에폭시 기반 CFRP에서 더 높은 값을 나타냈다. 이러한 결과는 PSF 실란트의 경화 후 고무 탄성 특성과 우수한 내화학적 안정성에 기인하는 것으로 보인다. 특히 에폭시 기지와 같이 강성이 높은 피착재와 결합할 경우, PSF의 연성과 유연한 네트워크 구조는 계면 응력 집중을 효과적으로 완화시켜, 계면 파괴 대신 벌크 내부의 점진적 변형이 유도되는 경향을 보인다. 전단 하중 하에서도 높은 변형 흡수 능력이 발현되며, 실질적인 연신률 및 변형 저항성 향상으로 이어진다. PU 실란트는 평균 강도는 높지만 표준편차가 크게 나타난 반면, PSF 실란트는 접착 강도는 낮지만 상대적으로 편차가 작아 일정한 값을 보였다. PU 실란트는 높은 계면 접착력, PSF 실란트는 우수한 연성 및 응력 분산 능력이라는 상보적 특성을 나타낸다.
Fig. 6의 FT-IR 분석 결과에서도 PU 실란트는 –NH (3300 cm-1)와 –C=O (1700 cm-1) 결합에 의한 뚜렷한 흡수 피크가 나타나 수소결합과 극성 상호작용이 활발히 일어날 수 있음을 보여주며, 이는 실제로 높은 접착 강도로 이어진다. 반면, PSF 실란트는 –C–S–, –S–S– 및 –CH2– 진동과 같은 비극성 결합 특유의 피크가 주로 관찰되며, –NH 또는 –C=O와 같은 극성 작용기에 해당하는 뚜렷한 신호는 나타나지 않았다. 이러한 스펙트럼 특성은 PSF가 상대적으로 비극성적 분자 구조를 지니고 있어 계면에서 수소결합이나 강한 극성 상호작용을 형성하기 어렵다는 점을 뒷받침하며, 이는 낮은 계면 접착력으로 반영된 것으로 해석된다.
Fig. 7에서 파단면을 관찰한 결과, PU 실란트는 표면에서 물리적으로 뜯긴 듯한 파단 형상을 나타냈다. 이는 PU 실란트가 분자 내 수소결합을 형성할 수 있는 작용기를 포함하고 있으며, 일부 영역에서 국소적인 결정성이 발현될 수 있기 때문으로 해석된다. 이러한 미세한 상분리 및 결정화 현상은 파단 시 응력 집중이 발생하는 핵 역할을 하며, 이에 따라 미세한 void가 형성되고 파단의 확장 경로가 불규칙하게 발달하게 된다. 그 결과, PU 실란트는 계면에서 강한 부착과 함께 거친 파단면 및 섬유질 형태의 잔사를 동반하는 파괴 양상을 보인다[28]. PSF 실란트는 파단면이 상대적으로 매끄럽고 slip 형태의 파괴 거동을 나타냈다. 이는 PSF가 대칭적이고 유연한 사슬 구조를 가지며, 분자 간 극성 상호작용이 제한적이기 때문에 계면 결합력이 상대적으로 낮고, 전단 응력 하에서 계면을 따라 미끄러지듯 파괴되는 경향을 보인다[29]. 연성 고분자 재료 특성상 에너지 흡수보다는 국부적인 변형과 이동을 통해 파괴가 유도되며, 이로 인해 파단면에 뚜렷한 변형 흔적이나 void 형성 없이 단순한 계면 분리 형태를 보였다.
PU 실란트는 분자 구조 내에서 상대적으로 높은 대칭성을 가지며, 이에 따라 부분적인 결정성을 발현하는 특성을 지닌다. 이러한 결정성은 고분자의 기계적 안정성 및 계면 응력 전달에 기여할 뿐만 아니라, 같은 계열의 PU 기반 CFRP와의 화학적 유사성으로 인해 상용성이 향상되어 계면 접착력 또한 증진되는 것으로 해석된다. 또한 에폭시 기지와의 접합에 있어서도, PU 실란트는 수소결합 및 극성 반데르발스 상호작용을 형성할 수 있어, 에폭시 표면과의 높은 접착 강도가 발현된다. PSF 실란트는 대칭적이고 비극성적인 분자 구조를 지니며, 분자 간 극성 작용기 밀도가 낮고 수소결합 형성 능력도 제한적이다. 이에 따라 PSF 실란트는 극성 또는 수소결합 기반 상호작용이 주요한 표면과의 계면 접착에서 상대적으로 낮은 접착 성능을 보이는 경향이 있다. 고분자의 구조적 대칭성과 결정성, 그리고 극성 작용기의 분포는 실란트의 접착 거동에 중요한 인자로 작용하며, 이러한 구조적 특성 차이에 기인하여 PU 실란트가 전반적으로 더 우수한 접착 특성을 나타낸다고 할 수 있다. Fig. 8 Table 1
|
Fig. 1 Classification of sealants based on chemical composition and application method |
|
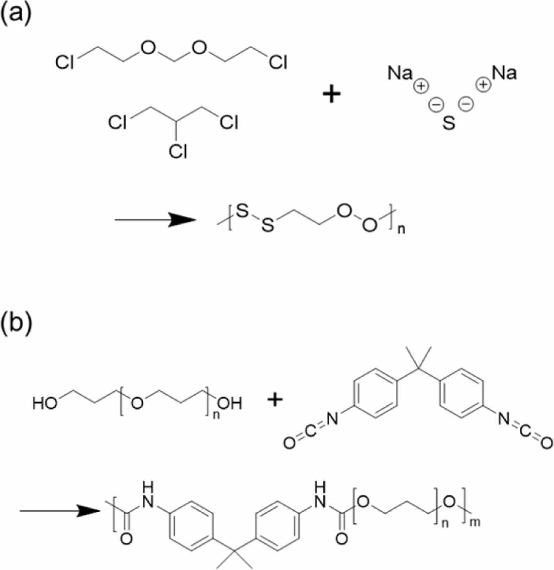
Fig. 2 Chemical structure of (a) polysulfide sealant and (b) polyurethane sealant |
|
Fig. 3 (a) Total surface energy, (b) polar surface energy, and (c) dispersion surface energy of sealants depends on a function of polymer structure |
|
Fig. 4 Work of adhesion calculated using (a) the Owens–Wendt model and (b) the Lewis acid–base model |
|
Fig. 5 (a) shear strength and (b) shear strain of sealants depending on the polymer structure and the substrate matrix |
|
Fig. 6 (a) shear strength and (b) shear strain of sealants depending on the polymer structure and the substrate matrix |
|
Fig. 7 Representative fracture surfaces observed after lap shear tests for each sealant–substrate combination |
|
Fig. 8 Schematic diagram of adhesion strength differences observed in each sealant-substrate: (a) PU-EP, (b) PSF-EP, (c) PU-PU, and (d) PSF-PU |
본 연구에서는 구조용으로 널리 사용되는 PU 및 PSF 실란트를 대상으로, PU 기반과 에폭시 기반 CFRP와의 계면 접착 특성을 비교 분석하였다. 접촉각 및 표면 에너지 분석을 통해 도출된 접착일은 PU 실란트가 PSF보다 높은 값을 나타났다. PU가 극성 작용기를 포함하고 있어 고분자 재료와 수소결합 등 극성 상호작용이 가능하기 때문으로 해석된다. 접착 강도에서도 PU 실란트는 PU 기반 CFRP에서 1.3 MPa, 에폭시 기반 CFRP에서 0.9 MPa의 높은 강도를 보였고, PSF 실란트는 두 경우 모두 0.1 MPa 수준으로 낮은 접착력을 나타냈다. 이러한 결과는 실란트의 화학 구조와 극성, 기지재와의 상용성이 계면 접착 성능에 영향을 미친다는 것을 보여주며, 실란트 적용 시에는 재료의 물성뿐만 아니라 계면 호환성까지 고려한 조합 설계가 중요함을 시사한다.
This paper was supported by Korea Institute for Advancement of Technology (KIAT) grant funded by the Korea Government (MOTIE) (RS-2024-00419236), and Research Resurgence under the Glocal University 30 project at Gyeongsang National University in 2024.
This Article2025; 38(4): 479-484
Published on Aug 31, 2025
Services
Correspondence to* Department of Materials Science and Convergence Technology
** Department of Polymer Science and Engineering, Gyeongsang National University