Original Article
  • Analysis and Optimization of TRIS-Based Silicone Hydrogel Lens Materials
  • Jin-Wook Kim*, A-Young Sung*†

  • * Dept. of Optometry and Vision Science, Daegu Catholic University, Daegu 38430, Korea

  • This article is an open access article distributed under the terms of the Creative Commons Attribution Non-Commercial License (http://creativecommons.org/licenses/by-nc/4.0) which permits unrestricted non-commercial use, distribution, and reproduction in any medium, provided the original work is properly cited.

Abstract

This study investigated the use of functional additives to improve the surface wettability and mechanical strength of silicone hydrogel lenses. To confirm the functionality of the hydrogel lenses, a mixture of S4 formula with excellent oxygen permeability and wettability was selected as a standard, and it was found that the addition of ethoxylated perfluoropolyether improved wettability while maintaining the other physical properties of the lens material stably. Furthermore, it was determined that exceeding an additive amount of 0.5% led to a decrease in visible light transmittance, making 0.5% the optimal concentration. To enhance the mechanical properties, TESPI was added based on the SE_5 formulation, and it was confirmed that the tensile strength of the manufactured lenses increased by up to 96%. These results demonstrate that by using E10H and TESPI as additives simultaneously for the manufacturing of functional lenses, it is possible to improve various performances while maintaining the fundamental physical properties of the lenses, indicating the potential for application in the design of high-functionality silicone hydrogel lenses.


Keywords: Silicone hydrogel contact lenses, Oxygen permeability, Siloxane monomer, Copolymer composition, Functional monomer

1. introduction

Hydrogel contact lenses are widely used not only for vision correction but also for cosmetic purposes, since they offer a wider field of view than glasses and are convenient to wear in active situations [12]. However, conventional hydrogel lenses often have low oxygen permeability, which may cause corneal hypoxia during extended wear. This leads to user discomfort and increases the risk of ocular complications [1,2]. To address this limitation, silicone hydrogel lenses have been developed that offer significantly higher oxygen permeability, which helps maintain corneal health. The key to improved oxygen permeability lies in the incorporation of siloxane-based monomers. These monomers enhance oxygen transport within the lens material and are widely used in the development of advanced hydrogel lens formulations [3,4]. Oxygen permeability refers to the amount of external oxygen passing through the lens to reach the cornea, which is important in preventing corneal edema, inflammation, and other ocular disorders. Thus, high oxygen-permeable lenses are essential for maintaining both ocular health and wearing comfort, making this a central focus of lens material research [5]. Siloxane-based monomers contain siloxane groups, that form flexible Si-O chains with strong covalent bonds. Compared to typical carbon-based organic polymers, these chains have wider intermolecular spacing and create continuous diffusion pathways for oxygen molecules. Due to their hydrophobic nature, siloxane chains have low compatibility with hydrophilic monomers, leading to the formation of non-polar microdomains within the polymer matrix. These domains serve as effective channels for the physical diffusion of oxygen and significantly increase permeability [6,9]. Given the small size of oxygen molecules, they can readily diffuse through these siloxane-based structures, allowing lenses to supply adequate oxygen to the cornea even during prolonged wear. Among siloxane monomers, 3-[Tris(trimethylsilyloxy)silyl]propyl methacrylate (TRIS) has superior oxygen permeability compared to other analogs. Owing to its structural advantages, TRIS is considered a key component in silicone hydrogel lens research for improving both wearing comfort and corneal oxygen supply [8,10]. However, despite its high oxygen permeability, TRIS-based formulations tend to have low water content and poor surface hydrophilicity, which may cause dryness and friction during wear. To address these issues, hydrophilic monomers such as DMA, NVP, and HEMA, along with the fluorinated hydrophilic additive E10H, were incorporated in appropriate ratios to increase water content and optical transparency. E10H effectively improves surface wettability and reduces friction [5,7,11]. Additionally, 3-(Triethoxysilyl)propyl isocyanate (TESPI) was introduced as a reinforcing agent to improve the mechanical strength and structural stability of the lens during prolonged wear. TESPI contributes to tensile strength by increasing interfacial bonding within the lens material to enhance both durability and comfort [5,9].
In recent years, several studies have reported on the physical properties of commercially available silicone hydrogel contact lenses in Korea [13]. These findings suggest that domestically manufactured lenses tend to have lower oxygen permeability compared to imported products, which may increase the likelihood of discomfort and complications associated with corneal hypoxia during extended wear. To address these limitations, this study introduces a novel approach utilizing TRIS-based combined additives, aiming to simultaneously enhance surface wettability and mechanical strength.

2. materials and methods

2.1 Materials
N-vinyl-2-pyrrolidone (NVP), 2-hydroxyethyl methacrylate (HEMA), ethylene glycol dimethacrylate (EGDMA), and the surface property improving additives 3-(triethoxysilyl)propyl isocyanate (TESPI) and ethoxylated perfluoropolyether (E10H) were all purchased from Sigma-Aldrich (USA). 3-[Tris(trimethylsilyloxy)silyl]propyl methacrylate (TRIS) and N,N-dimethylacrylamide (DMA) were obtained from TCI (Japan), and azobisisobutyronitrile (AIBN) was purchased from Junsei (Japan). All reagents were of high-purity grade and used without further purification.
2.2 Preparation of Silicone Hydrogel Lenses
To fabricate silicone hydrogel contact lenses, DMA, NVP, HEMA, and TRIS were used as the base monomers. Azobisisobutyronitrile (AIBN) was added as a thermal initiator, and ethylene glycol dimethacrylate (EGDMA) was used as a crosslinking agent. The formulations were categorized as S1, S2, S3, and S4. Each mixture was stirred using a vortex mixer for 3 hours and then subjected to ultrasonic dispersion for 30 minutes. The dispersed mixture was poured into contact lens molds and thermally polymerized at 120°C for 2 hours. The detailed composition of each formulation is summarized in Table 1.
2.3 Preparation of Silicone Hydrogel Lenses with Improved Wettability
Based on the physical property evaluation of the previously fabricated S2 and S4 formulations, the S4 formulation confirmed its suitability as a base formulation with higher oxygen permeability and relatively better wettability (as indicated by contact angle measurements) compared to S2. Therefore, a new formulation was designed using S4 as the base to improve the surface properties of the lenses. In particular, the fluorinated functional additive ethoxylated perfluoropolyether (E10H) was incorporated to improve wettability by mitigating surface hydrophobicity and promoting hydrophilicity. E10H was added at concentrations ranging from 0 to 1.0 wt%, and the resulting formulations were designated as Ref_E, SE_3, SE_5, SE_7, and SE_10, respectively. The detailed compositions for each formulation used to prepare silicone hydrogel lenses with improved wettability are listed in Table 2.
2.4 Preparation of Silicone Hydrogel Contact Lenses with Improved Mechanical Properties
The SE_5 formulation was selected as the reference (Ref) because it showed visible light transmittance above 90% and good wettability based on spectral transmittance and contact angle measurements. However, SE_5, like S4, showed low tensile strength. To improve mechanical strength, the functional additive 3-(triethoxysilyl)propyl isocyanate (TESPI) was added to the existing silicone hydrogel formulation. The base monomer composition and the E10H concentration were maintained as before. TESPI was added at concentrations ranging from 0.5 to 5.0 wt%, and the formulations were named Ref, SI_0.5, SI_1, SI_3, and SI_5. The composition ratios of each formulation are summarized in Table 3.
2.5 Analysis
Before property evaluation, the fabricated hydrogel contact lenses were hydrated in 0.9% sodium chloride saline solution for 24 hours. Light transmittance was measured using a UV–vis spectrophotometer (Cary 60, Agilent, USA) in the ultraviolet and visible light regions. Transmittance at each wavelength was expressed as a percentage. The refractive index was measured using an ABBE refractometer (ATAGO NAR 1T, Japan) with hydrated samples. Water content was calculated by gravimetric method based on the mass difference before and after hydration. The hydrated lenses were dried using a microwave oven, and their mass was measured with an electronic balance (Ohaus PAG 214C, USA). Wettability was evaluated by measuring the contact angle between a water droplet and the lens surface using the sessile drop method with a contact angle analyzer (DSA30, Krüss GmbH, Germany). Mechanical strength was assessed using a tensile strength tester (AGS-X, Shimadzu, Japan). A constant load was applied until failure, and the maximum load at the breaking point was recorded. All analyses were performed at least five times, and all values were statistically significant.

Table 1

Percent compositions of silicone hydrogel samples (Unit : wt%)

Table 2

Percent compositions of E10H silicone hydrogel samples (Unit : wt%)

Table 3

Percent compositions of TESPI silicone hydrogel samples (Unit : wt%)

3. results

3.1 Evaluation of Basic Lens Formulations
3.1.1 Spectral Transmittance Measurement
The spectral transmittance of the fabricated lenses was measured. All samples showed transmittance above 90% in the visible light region. No significant differences were observed between the samples, indicating that all formulations had similar optical properties. The transmittance results for each sample are shown in Fig. 1.
3.1.2 Refractive Index and Water Content
The refractive index and water content of the fabricated lenses were evaluated for the S2 and S4 formulations. The refractive index was measured as 1.4371 for S2 and 1.4262 for S4. The water content was 32.19% for S2 and 41.69% for S4. These results indicate that the S4 formulation retains a relatively higher moisture content. This trend is consistent with the general observation that an increase in water content leads to a decrease in overall density and thus a lower refractive index. A comparison of the physical properties for each formulation is presented in Fig. 2.
3.1.3 Tensile Strength
The tensile strength of the fabricated lenses was measured. The S2 lens showed a value of 0.1034 kgf/mm², while S4 showed 0.08712 kgf/mm². Both values were lower than the average tensile strength of conventional hydrogel lenses, which is 0.13351 kgf/mm². This indicates that both formulations have relatively weak mechanical strength. The tensile strength results for each formulation are compared in Fig. 3.
3.1.4 Contact Angle
The contact angles of each sample were measured. The S2 formulation showed a contact angle of 111.67°, and the S4 formulation showed 104.83°. Both formulations had relatively high contact angles, indicating low surface wettability. The higher contact angle of the S2 formulation suggests a more hydrophobic surface characteristic compared to S4. The contact angle results for each sample are shown in Fig. 4.
3.1.5 Oxygen Permeability
The oxygen permeability (Dk) of each fabricated sample was measured. The S2 formulation showed a value of 23.23 × 10-¹¹ (cm²/s)·(mL O₂/mL·mmHg), and the S4 formulation showed 36.70 × 10-¹¹ (cm²/s)·(mL O₂/mL·mmHg). Both values were higher than that of conventional HEMA-based hydrogel lenses, which was 19.51 × 10-¹¹ (cm²/s)·(mL O₂/mL·mmHg). This result confirms that the inclusion of silicone-based monomers effectively increases oxygen permeability. However, the S2 formulation showed lower oxygen permeability than S4, despite containing a higher amount of TRIS. This may be due to poor compatibility between siloxane groups and hydrophilic monomers, resulting in non-uniform dispersion of the silicone phase. To maximize oxygen permeability, optimization of the formulation is required to improve interactions between siloxane and hydrophilic monomers. The oxygen permeability results for each sample are shown in Fig. 5.
3.2 Evaluation of Silicone Hydrogel Lenses with Improved Wettability
The tensile strength, refractive index, water content, and oxygen permeability of the lenses containing E10H were evaluated. Compared to the original S4 formulation, no significant changes were observed in any of these properties. Despite variations in the concentration of the additive, the mechanical, optical, and water-retention properties, as well as oxygen permeability, remained stable. The detailed results are presented in Table 4.
The contact angle of the hydrogel lenses decreased as the amount of E10H increased. The measured values were 104.83°, 99.25°, 74.91°, 61.56°, and 52.41°, showing a clear downward trend. This indicates that the additive effectively increased the surface hydrophilicity of the lenses, resulting in improved wettability. The sharp decrease in contact angle with higher E10H concentrations suggests that the additive was well-distributed on the lens surface and helped reduce hydrophobic characteristics. The changes in contact angle for each sample are shown as a graph in Fig. 6.
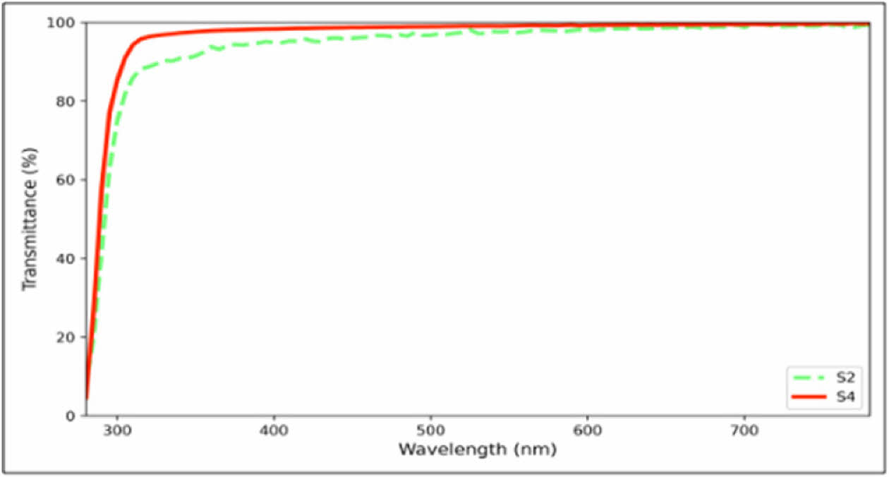
The spectral transmittance of the fabricated lenses was measured. The Ref_E, SE_3, and SE_5 formulations all showed high transmittance above 90% in the visible light region. In contrast, the SE_7 and SE_10 formulations exhibited transmittance below 90%. These results suggest that excessive addition of E10H can negatively affect the optical transparency usof the lenses. Based on these findings, the upper limit for E10H addition is estimated to be around 0.5%. The changes in transmittance for each formulation are shown in Fig. 7. All observed differences in contact angle and spectral transmittance were statistically significant, with p < 0.005.
3.3 Evaluation of Lens Formulations with Increased Mechanical Strength
The physical properties of the lenses with TESPI added were evaluated. Compared to the reference formulation (Ref), no significant differences were observed in refractive index, water content, spectral transmittance, contact angle, or oxygen permeability. The values for all formulations remained at levels similar to the reference, and no clear trend was observed with increasing TESPI concentration. The property changes for each sample are presented in Table 5.
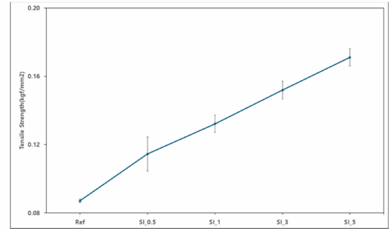
The tensile strength of the lenses was analyzed according to the TESPI content. As the concentration of TESPI increased, the mechanical strength showed a gradual improvement. The reference formulation (Ref) had a tensile strength of 0.08712 kgf/mm². For the formulations with TESPI added-SI_0.5, SI_1, SI_3, and SI_5, with TESPI concentrations of 0.5%, 1%, 3%, and 5%, respectively-the measured values were 0.1145, 0.1322, 0.15192, and 0.1711 kgf/mm². These results indicate that TESPI effectively improved the structural strength of the lenses by increasing chemical bonding and network density between polymer chains. In particular, the SI_5 formulation showed an approximately 96% improvement in tensile strength compared to the reference, suggesting high applicability in the design of specialty lenses where mechanical stability is critical. The tensile strength results are presented in Fig. 8~9. These differences in tensile strength were statistically significant, with p < 0.005.
3.4 Synergistic Effect and Future Work
E10H improved surface wettability by reducing the contact angle, while TESPI enhanced tensile strength through increased network bonding. Their combined use allowed simultaneous improvement of comfort and durability without compromising other lens properties. Future studies will focus on optimizing additive ratios and verifying the mechanism through surface and structural analyses.

Fig. 1

Spectral transmittance of silicone hydrogel samples

Fig. 2

Comparison of refractive index and water content of silicone hydrogel samples

Fig. 3

Comparison of tensile strength of silicone hydrogel samples

Fig. 4

Contact angle image of silicone hydrogel samples. ([A]: S2, [B]: S4)

Fig. 5

Current values for Oxygen permeability of silicone hydrogel samples. ([A]: S2, [B]: S4)

Fig. 6

Comparison of contact angle of E10H silicone hydrogel samples

Fig. 7

Spectral transmittance of E10H silicone hydrogel samples

Fig. 8

Comparison of tensile strength of TESPI silicone hydrogel samples

Fig. 9

Tensile strength image of TESPI silicone hydrogel samples. ([A]: SI_0.5, [B]: SI_1, [C]: SI_3, [D]: SI_5)

Table 4

Comparison of physical properties with E10H content

Table 5

Comparison of lens properties with TESPI content

4. conclusion

This study evaluated changes in the physical and optical properties of silicone hydrogel contact lenses by incorporating the functional additives E10H and TESPI to improve surface wettability and mechanical strength. Among silicone monomer-based formulations, S4 was selected as the base material for its superior oxygen permeability and wettability. Incorporating E10H into S4 significantly reduced the contact angle from 104.83° to 52.41°, demonstrating enhanced surface hydrophilicity, while tensile strength, refractive index, water content, and oxygen permeability remained unchanged. This indicated that E10H selectively improved wettability without affecting basic lens properties. However, when the concentration exceeded 0.5%, spectral transmittance fell below 90%, suggesting an optimal addition level of 0.5% or less.
Using the SE_5 formulation containing 0.5% E10H, TESPI was subsequently added to improve tensile strength. Mechanical testing showed a gradual increase in tensile strength with higher TESPI content, with the SI_5 formulation achieving a 96% improvement over the reference. Other optical and physical properties including refractive index, water content, spectral transmittance, contact angle, and oxygen permeability remained stable, which ensured optical clarity, water retention, and oxygen permeability.
Overall, stepwise incorporation of E10H and TESPI effectively enhanced specific functional properties, with E10H improving wettability through surface modification and TESPI increasing polymer network density to improve tensile strength. Both additives achieved their intended effects without compromising essential lens characteristics, supporting their potential as formulation components for high-performance silicone hydrogel lenses and providing useful reference data for future material optimization.

References
  • 1. Musgrave, C.S.A., and Fang, F., “Contact lens materials: a materials science perspective,” Materials, Vol. 12, No. 2, 2019, pp. 261.
  •  
  • 2. Lin, M.C., and Yeh, T.N., “Mechanical complications induced by silicone hydrogel contact lenses,” Eye & Contact Lens, Vol. 39, No. 1, 2013, pp. 115–124.
  •  
  • 3. Stone, R., “Silicone hydrogels: four decades of new chemistry in contact lenses,” Contact Lens Spectrum, Vol. 12, 2022, pp. 36–42.
  •  
  • 4. Wuchte, L., DiPasquale, S., Masterson, A., Vance, A., Goff, J., Arkles, B., Sulaiman, S., and Byrne, M., “Characterization and analysis of extended‐wear silicone hydrogel contact lenses utilizing novel silicone macromers,” Journal of Biomedical Materials Research Part A, Vol. 110, No. 8, 2022, pp. 1512–1523.
  •  
  • 5. Sun, Z., Zhang, R., Sun, Y., Wang, X., Duan, L., and Gao, G., “Methyl methacrylate rigid contact lenses doped with N-vinylpyrrolidone and 3-[Tris(trimethylsiloxy)silyl]propyl methacrylate for improved oxygen permeability,” Polymer, Vol. 309, 2024, pp. 127439.
  •  
  • 6. Muratore, L.M., Heuts, J.P.A., and Davis, T.P., “Synthesis of 3‐[tris(trimethylsilyloxy)silyl]propyl methacrylate macromers using catalytic chain transfer polymerization: a kinetic and mechanistic study,” Macromolecular Chemistry and Physics, Vol. 201, No. 9, 2000, pp. 985–994.
  •  
  • 7. Ishihara, K., Shi, X., Fukazawa, K., Yamaoka, T., Yao, G., and Wu, J.Y., “Biomimetic-engineered silicone hydrogel contact lens materials,” ACS Applied Bio Materials, Vol. 6, No. 9, 2023, pp. 3600–3616.
  •  
  • 8. Tighe, B.J., “A decade of silicone hydrogel development: surface properties, mechanical properties, and ocular compatibility,” Eye & Contact Lens, Vol. 39, No. 1, 2013, pp. 4–12.
  •  
  • 9. Tao, H., Zhang, X., Sun, Y., Yang, H., and Lin, B., “The influence of molecular weight of siloxane macromere on phase separation morphology, oxygen permeability, and mechanical properties in multicomponent silicone hydrogels,” Colloid and Polymer Science, Vol. 295, 2017, pp. 205–213.
  •  
  • 10. Lin, C.-H., Yeh, Y.-H., Lin, W.-C., and Yang, M.-C., “Novel silicone hydrogel based on PDMS and PEGMA for contact lens application,” Colloids and Surfaces B: Biointerfaces, Vol. 123, 2014, pp. 986–994.
  •  
  • 11. Qin, G., Zhu, Z., Li, S., McDermott, A. M., and Cai, C., “Development of ciprofloxacin-loaded contact lenses using fluorous chemistry,” Biomaterials, Vol. 124, 2017, pp. 55–64.
  •  
  • 12. Kim, J.-W., and Sung, A.-Y., “Fabrication and Ophthalmic Application of Hydrogel Polymer Containing Cerium (IV)-Zirconium (IV) Oxide Nano Particles,” The Korean Journal of Vision Science, Vol. 27, No. 1, 2025, pp. 41–51.
  •  
  • 13. Yeam, J.-R., and Kim, T.-H., “Analysis of Physical Properties of Silicone Hydrogel Contact Lenses in Korea,” The Korean Journal of Vision Science, Vol. 19, No. 1, 2017, pp. 1–8.
  •  

This Article

Correspondence to

  • A-Young Sung
  • Dept. of Optometry and Vision Science, Daegu Catholic University, Daegu 38430, Korea

  • E-mail: say123sg@naver.com