Gahyun Woo*, **, ***,#, Jaehoo Kim*,#, Jong Hyuk Park*, Hae-Seok Lee***, Ung Lee**, ***† , Jaewoo Kim*, ****†
* Convergence Research Center for Solutions to Electromagnetic Interference in Future-Mobility, Korea Institute of Science and Technology (KIST), Seoul 02792, Korea
** Korea Clean Energy Research Center, Korea Institute of Science and Technology (KIST), Seoul 02792, Korea
*** Department of Energy Environment Policy and Technology, Graduate School of Energy and Environment (Green School), Korea University, Seoul 02841, Korea
**** Institute of Advanced Composite Materials, Korea Institute of Science and Technology (KIST), Wanju 55324, Korea
우가현*, **, ***,# · 김재후*,# · 박종혁* · 이해석*** · 이웅**, ***† · 김재우*, ****†
This article is an open access article distributed under the terms of the Creative Commons Attribution Non-Commercial License (http://creativecommons.org/licenses/by-nc/4.0) which permits unrestricted non-commercial use, distribution, and reproduction in any medium, provided the original work is properly cited.
The rapid advancement of high-frequency communication technologies and the miniaturization of electronic devices have exacerbated electromagnetic interference (EMI) issues, reducing system reliability and performance. Conductive thermoplastic composites with low weight and excellent processability have emerged as promising candidates for next-generation EMI shielding materials. In this study, with a focus on environmental sustainability, recycled carbon fiber (rCF) was used as a conductive filler and polyamide 6 (PA6) as the matrix to fabricate rCF/PA6 composites via compression molding. As the rCF content increased from 10 to 30 wt%, electrical conductivity and EMI shielding effectiveness (SE) improved by approximately 46-fold and 4.9-fold, respectively. At 30 wt% rCF, the composite achieved a maximum SE of 43 dB in the X-band, far exceeding the commercial standard of 20 dB. Analysis of the shielding mechanism revealed that both SEA and SER improved with increasing filler content, confirming a reflection-dominant shielding mechanism. Further analyses of permittivity, loss tangent, skin depth, and impedance matching provided comprehensive insight into the electromagnetic shielding mechanism. These results demonstrate that rCF/PA6 composites offer excellent EMI shielding performance under high-frequency conditions while maintaining low weight, high reliability, and environmental sustainability, providing promising solutions for future mobility applications.
고주파 통신 기술의 급속한 발전과 전자기기 소형화는 전자기파 간섭(EMI) 문제를 심화시키며, 시스템의 신뢰성과 성능 저하를 초래하고 있다. 이에 경량성과 가공성이 우수한 열가소성 수지 기반의 전도성 복합소재가 차세대 EMI 차폐소재로 주목받고 있다. 본 연구에서는 환경적 지속가능성을 고려하여 재활용 탄소섬유(rCF)를 전도성 첨가제로, 폴리아미드 6(PA6)를 매트릭스로 활용한 rCF/PA6 복합소재를 압축성형 공정을 통해 제조하였다. rCF 함량이 10, 20, 30 wt%로 증가함에 따라 전기전도도는 약 46배, 전자파 차폐 효율(SE)는 약 4.9배 향상되었으며, 30 wt% 시편은 X-band에서 최대 43 dB의 차폐효과를 나타내어 상업용 기준(20 dB)을 초과하였다. 차폐 메커니즘을 분석 결과 흡수(SEA) 및 반사(SER) 성능 모두 첨가제 함량 증가에 따라 향상되었고 주된 차폐 메커니즘은 반사에 기반함을 확인하였다. 나아가, 복소 유전율, 손실 탄젠트, 표면 깊이, 및 임피던스 정합 분석을 통해 복합소재의 전자기파 차폐 거동을 심층적으로 고찰하였다. 본 연구 결과는 rCF/PA6 복합소재가 고주파 환경에서 우수한 EMI 차폐 성능과 경량화, 고신뢰성, 친환경성을 갖추어 미래 모빌리티 분야에 활용 가능함을 제시한다.
Keywords: 재활용 탄소섬유(Recycled carbon fiber), 탄소섬유 강화 열가소성 수지 복합재(Carbon fiber reinforced thermoplastic composites), 전자기파 차폐(Electromagnetic interference shielding), 지속가능성(Sustainability)
초고속 통신 인프라의 발전과 디지털 기술의 고도화는 다수의 전자기기가 실시간으로 데이터를 송수신하는 환경을 가능하게 했으며, 이는 다양한 산업 전반에 걸쳐 빠르게 확산되었다. 하지만 전자기기의 밀집 사용은 전자기파 간섭(electromagnetic interference, EMI) 문제를 수반하며 시스템의 신뢰성과 직결되는 핵심 문제로 부각되고 있다. 특히 자율주행 차량, 드론, 도심항공모빌리티(UAM)와 같은 미래 모빌리티 시스템은 라이다(LiDAR), 레이더(Radar), 초음파 센서 등 수백 개의 전자 장치가 동시 작동하므로, EMI에 매우 취약하며, 이로 인한 시스템 오작동은 치명적인 안전 문제로 이어질 수 있다. 이에 따라 경량 및 고성능 EMI 차폐 소재에 대한 수요는 전례 없이 증가하고 있다[1,2].
EMI 차폐 기술은 오랫동안 Faraday cage 원리에 기반한 금속 소재(구리, 알루미늄, 스테인리스강 등)에 의존해 왔다. 이러한 금속은 높은 전기전도도로 인해 광범위한 주파수 대역에서 우수한 차폐 성능을 제공하지만, 높은 밀도, 부식 취약성, 복잡한 가공 공정으로 인해 경량화와 설계 유연성이 요구되는 최신 산업 환경에서는 제약이 따른다. 이러한 한계를 극복하기 위해 전도성 첨가제를 고분자와 결합한 복합소재가 금속을 대체할 차세대 EMI 차폐 소재로 주목받고 있다[3,4]. 특히, 탄소섬유 강화 복합소재(carbon fiber reinforced polymer, CFRP)는 전기전도도와 기계적 강도가 우수하면서도 가벼워, 차폐 성능과 구조적 요구를 동시에 만족시킬 수 있다.
그러나 현재 산업에서 널리 사용되는 CFRPs는 epoxy와 같은 열경화성 수지를 매트릭스로 사용하고 있어 재활용이 어렵고, 폐기 시 환경에 부담이 크다. 이에 비해 열가소성 수지를 매트릭스로 적용하면 가공성과 재활용성이 향상된다. 여기에 전도성 첨가제로 재활용 탄소섬유(recycled carbon fiber, rCF)를 활용하면 자원 순환과 폐기물 저감 측면에서 ESG 경영 및 전 생애주기 평가 요구에 부합한다[5,6]. 따라서 열가소성 수지와 rCF의 조합은 성능과 지속가능성을 동시에 충족할 수 있는 유망한 대안이다.
본 연구에서는 rCF와 열가소성 폴리아미드 6(PA6)를 활용한 복합소재를 제조하고, rCF 함량에 따른 EMI 차폐 성능과 메커니즘을 체계적으로 분석하였다. 이를 위해 차폐 효율(shielding effectiveness, SE)과 파워 계수(power coefficient)에 더불어 복소 유전율(complex permittivity), 손실 탄젠트(loss tangent), 표면 깊이(skin depth), 그리고 임피던스 정합(impedance matching) 등 핵심 전자기 파라미터를 도출하였고 차폐 메커니즘을 정밀하게 고찰하였다. 본 연구 결과는 rCF 기반 복합소재가 우수한 EMI 차폐 성능과 지속가능성을 동시에 달성할 수 있음을 입증하며, 환경 친화적 차폐 기술의 실용화 가능성을 제시한다.
2.1 재료
본 연구에서는 복합소재의 매트릭스로 PA6(TOPLON 1011BRT, Hyosung Co., KOR), 첨가제로는 rCF(carboNXT milled, Mitsubishi Chemical Advanced Materials GmbH., DEU)를 사용하였다. PA6의 밀도는 1.14 g/cm3, 용융 온도는 220oC이다. rCF는 평균 직경 8 μm, 길이 80-100 μm, 밀도는 1.8 g/cm3의 물성을 가진다.
2.2 rCF/PA6 복합소재 시편 제조
rCF/PA6 복합소재의 제조 공정은 Fig. 1a에 제시되어 있다. 먼저, PA6 펠렛을 80oC에서 24시간 이상 건조한 후 믹서기를 사용하여 파우더 형태로 분쇄하였다. 이후, 분쇄된 PA6 파우더와 rCF의 총 질량이 2 g이 되도록 혼합하였으며, rCF 함량은 10, 20, 30 wt%(0.2, 0.4, 0.6 g)로 조절하였다. 각 조성은 rCF-10, rCF-20, 및 rCF-30으로 명명하였다. 계량된 rCF/PA6 파우더는 vortex mixer (VM30, Daihan Scientific Co., KOR)를 이용해 약 1분간 균일하게 혼합되었으며, 이후 열압착 성형 장비(COAD 1006, Ocean Science Co., KOR)를 통해 판상형 시편으로 제조되었다. 이때, 성형은 온도 230oC, 압력 10 MPa 조건에서 10분간 수행하였다.
2.3 구조·열적·전기적 특성 분석
rCF 함량에 따른 복합소재의 파단면 형상은 전계방출 주사현미경(FE-SEM, Inspect F50, FEI Co., USA)을 이용해 관찰하였으며, 이때 작동 거리(working distance)는 10mm, 가속 전압(accelerating voltage)는 10 kV로 설정하였다. 복합소재 내 rCF 함량을 정량적으로 확인하기 위해 열중량분석기(TGA, Q50, TA instruments, USA)를 사용하였다. 분석은 40–600oC의 온도 범위에서 질소 분위기 하에 수행되었으며, 승온 속도는 10oC/min으로 설정하였다. 또한, 복합소재의 전기전도도는 4단자 저항 측정기(Loresta-GP, MCP-T610, Mitsubishi Chemical Analytech Co., Ltd., JPN)를 사용하여 10 V 조건에서 측정하였다.
2.4 전자기파 차폐 성능 분석
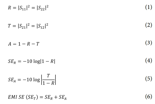
rCF/PA6 복합소재의 EMI 차폐 성능은 vector network analyzer(VNA, N5290A, Keysight Technologies, USA)를 이용하여 측정되었다. 측정은 X-band (8.2–12.4 GHz), Ka-band (26.5–40 GHz), V-band (50–75 GHz), 및 W-band (75–110 GHz)에서 수행되었으며, 각 주파수 대역에 적합한 직사각형 도파관(WR90, WR28, WR15, and WR10)를 사용하였다. VNA를 통해 산란 파라미터(scattering parameter)인 S11, S12, S21, 및 S22를 측정하였으며, 다음 식들을 기반으로 복합소재의 파워 계수(power coefficients)와 SE를 계산하였다[7,8]:

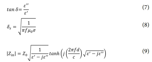
여기서 R, T, A는 각각 반사율(reflection), 투과율(transmission), 및 흡수율(absorption)을 의미한다. SET, SER, 및 SEA은 각각 전체 차폐 성능, 반사 성능 및 흡수 성능을 나타낸다. 복합소재의 유전특성은 Nicolson-Ross-Weir 방법을 적용하여 산란 파라미터로부터 복소 유전율을 추출하였다. 이를 바탕으로 복합소재의 손실 탄젠트, 표면 깊이, 및 임피던스 정합(|Zin/Zo|)은 다음 식에 따라 계산하였다[9-11]:

여기서 ε'와 ε"는 각각 복소 유전율의 실수부와 허수부로, 무차원수인 상대 유전율(relative permittivity)을 의미한다. f는 주파수(Hz), μ0는 자유 공간(free space)의 투자율(4π∙10-7 H/m), σ는 전기전도도(S/m), Z0는 자유 공간의 임피던스(377 Ω)를 나타낸다.
|
Fig. 1 (a) Schematic of the fabrication process of rCF/PA6 composite. (b) photographic images, (c) FE-SEM cross-sectional images and (d) TGA thermograms of rCF/PA6 composites as a function of rCF content |
3.1 rCF 함량에 따른 rCF/PA6 복합소재의 내부구조 및 열분해 특성
제조된 rCF/PA6 복합소재 시편의 크기는 40×40×1 mm3 이며, 각 시편의 외관은 Fig. 1b에 제시되어 있다. Fig. 1c는 rCF 함량에 따른 rCF/PA6 복합소재의 파단면을 보여준다. rCF 함량이 증가함에 따라, 파단면에서 더 많은 수의 rCF가 관찰되었고, 특정 방향으로 정렬되지 않고 무작위로 분포하는 특성을 보였다. Fig. 1d는 rCF 함량에 따른 rCF/PA6 복합소재의 TGA 결과를 보여준다.
모든 시편에서 약 400oC 부근에서 주요 열분해가 시작되며, 이로 인해 급격한 중량 감소가 나타났다. 열분해 이후 rCF-10, rCF-20, 및 rCF-30 시편의 잔류 무게는 각각 약 9%, 21%, 및 30%로, 이는 복합소재가 목표한 조성비에 따라 정밀하게 제조되었음을 의미한다.
3.2 rCF 함량에 따른 rCF/PA6 복합소재의 전기적 및 EMI 차폐 특성
Fig. 2a는 rCF 함량 증가에 따른 rCF/PA6 복합소재의 전기전도도 변화를 나타낸다. rCF 함량이 10 wt%에서 30 wt%로 증가함에 따라 전기전도는 3.1×10-3 S/cm에서 1.4×10-1 S/cm로 약 46배 향상되었다. 이는 rCF의 함량 증가에 따라 첨가제 간의 접촉 확률이 증가하고, 이에 따라 전도 경로가 효과적으로 형성되었기 때문으로 해석된다. Fig. 2b는 X-band (8.2–12.4 GHz) 대역에서 rCF 함량에 따른 복합소재의 EMI SE의 변화를 보여주며, X-band 에서의 평균 EMI SE는 Fig. 2c에 제시되어 있다. rCF 함량이 증가함에 따라 X-band에서의 평균 EMI SE는 7.8 dB에서 38 dB까지 점진적으로 증가하는 경향을 나타냈다. 특히 rCF-30은 X-band에서 최대 43 dB의 EMI SE를 기록하였으며, 이는 상업적 전자파 차폐 요구 기준인 20 dB를 크게 초과하는 수준이다[12,13]. 이러한 결과는 전기전도도와 EMI SE 간의 유사한 경향성을 보여주며, rCF/PA6 복합소재의 EMI 차폐 성능이 전기적 특성에 크게 의존함을 시사한다.
차폐 성능 변화에 대한 보다 심층적인 분석을 위해, 전체 차폐 성능(SET)을 SEA와 SER로 분리하여 Fig. 3a에 제시하였다. rCF 함량이 증가함에 따라 SEA와 SER은 모두 향상되었으며, 특히 10 wt%에서 30 wt%로 증가할 때 SEA는 4 dB에서 30 dB로 약 7.5배, SER은 4 dB에서 8 dB로 약 2배 증가하여 SEA의 상승폭이 더욱 두드러졌다. 이에 따라, 차폐 성능 향상의 근본적인 원인을 규명하기 위해 rCF/PA6 복합소재의 복소 유전율을 측정하였으며, 그 결과는 Fig. 3b에, X-band 전 구간에서 평균 복소 유전율은 Fig. 3c에 각각 제시하였다. ε', ε" 값은 모두 rCF 함량이 증가함에 따라 뚜렷한 상승 경향을 나타냈다. 구체적으로, ε'는 10 wt%에서 16, 30 wt%에서 168로 약 10.5배 증가하였으며, ε"는 10 wt%에서 3, 30 wt%에서 156으로 약 52배 상승하였다.
측정된 복소 유전율을 바탕으로 rCF 함량 증가에 따른 EMI 차폐 성능의 향상 메커니즘을 정량적으로 분석하기 위해, 복합소재의 손실 탄젠트, 표면 깊이 및 임피던스 정합을 계산하였으며, 그 결과는 Fig. 4a-f에 제시되어 있다. Fig. 4a 및 Fig. 4d에 따르면, 손실 탄젠트는 rCF 함량이 10 wt%에서 30 wt%로 증가함에 따라 약 5.2배 향상되었다. 이는 복합소재 내 유전 손실(dielectric loss)이 크게 증가하였음을 의미하며, 전자기파 에너지가 복합소재 내부에서 더욱 효과적으로 소산될 수 있는 조건을 제공한다[14,15]. Fig. 4b 및 Fig. 4e는 전자기파가 전도성 매질 내에서 감쇠 되는 깊이를 나타내는 표면 깊이의 변화를 보여준다. 표면 깊이는 전자기파가 재료 내부로 침투할 때 에너지가 1/e(약 37%) 수준으로 감소하는 깊이로, 값이 작을수록 전자기파가 표면 근처에서 급격히 감쇠됨을 의미한다 [7,16]. rCF 함량이 증가함에 따라 표면 깊이는 4 mm에서 0.5 mm로 감소하였고, 특히 rCF-10에서 rCF-20 구간에서 약 79% 감소하는 급격한 변화를 보였다. 이는 전도성 경로의 발달과 유전 손실 증가로 인해 입사 전자기파가 복합소재의 표면 근처에서 급속히 감쇠됨을 의미하며, SEA 향상에 기여한다. Fig. 4c에 제시된 임피던스 정합(|Zin/Zo|)은 식 (9)을 통해 계산되었으며, (|Zin/Zo|) 값이 1에 가까울수록 임피던스 정합이 우수함을 의미한다[17,18]. 분석 결과, rCF 함량이 증가함에 따라 임피던스 정합은 0.56에서 0.05로 대폭 감소하였다. 이는 전도성 향상으로 인해 임피던스 불일치(impedance mismatch)가 심화되었음을 의미하며, 그 결과 SER이 증가하는 요인으로 작용한다[19].
전자기파 차폐 메커니즘을 보다 명확히 이해하기 위해 rCF/PA6 복합소재의 파워 계수인 반사율(R), 흡수율(A), 그리고 투과율(T)을 분석하였으며, 이를 백분율로 변환하여 Fig. 5a에 제시하였다. 모든 시편에서 R 값이 60% 이상으로 나타나, rCF/PA6 복합소재는 반사 지배적 특성을 갖는 것으로 확인되었다. 특히, rCF 함량이 증가함에 따라 R은 60%에서 84%로 상승하고, A는 23%에서 16%로 감소하여 반사의 상대적 비중이 더욱 커졌다. 또한 rCF-10 시편에서는 T 값이 16%로, 전자기파 일부가 복합소재를 관통하는 현상이 관찰되었으나, rCF-20 및 rCF-30 시편에서는 T가 0에 수렴하여, 99.98% 이상의 차폐 효율을 달성하였다. 한편, 앞서 Fig. 3a에 제시된 결과에서 SEA가 SER보다 현저히 높은 값을 보였음에도 불구하고, Fig. 5a의 파워 계수 분석에서는 R이 A보다 큰 값으로 나타났다. 이는 전자기파 차폐 메커니즘이 단순히 SER, SEA값만으로는 해석될 수 없음을 의미하며, 전자기파 차폐가 반사에 이어 흡수가 순차적으로 발생한다는 점을 고려해야 한다[15,20]. 이러한 전자기파 차폐 메커니즘을 보다 직관적으로 설명하기 위해, rCF/PA6 복합소재에서의 반사, 흡수, 그리고 투과 과정을 Fig. 5b에 도식화하였다. 전자기파가 자유 공간에서 복합소재 표면에 도달하면, 임피던스 불일치에 의해 일부는 반사되고, 나머지는 소재 내부로 침투하게 된다. 내부에 진입한 전자기파는 전도 손실(conduction loss), 계면 분극(interfacial polarization) 등의 복합적 손실 메커니즘을 통해 흡수되며, 극히 일부가 투과된다. 결과적으로, rCF/PA6 복합소재는 rCF 함량이 10 wt%에서 30 wt%로 증가함에 따라 투과율은 거의 사라지며 반사 지배적인 EMI 차폐 특성이 강화되는 것을 확인하였다.
Fig. 6a-c는 5G·6G 무선통신, 사물인터넷(IoT), 레이더 시스템 및 미래 모빌리티 등 고주파 응용 분야에서 사용되는 Ka-band (26.5–40 GHz), V-band (50–75 GHz), 및 W-band (75–110 GHz)에서 rCF 함량에 따른 rCF/PA6 복합소재의 EMI SE 측정 결과를 나타낸다. rCF 함량에 상관없이 주파수가 증가함에 따라 EMI 차폐 성능은 향상되는 경향을 보였으며, 특히 rCF 함량이 높을수록 EMI 차폐 성능이 더욱 빠르게 향상되었다. 예를 들어, rCF-10 시편의 경우 W-band에서 33 dB의 차폐 성능을 보여 Ka-band 대비 약 3.4배 증가하였으며, rCF-20은 74dB로 약 2배 향상되었다. rCF-30은 W-band에서 장비의 측정 한계를 초과하여 요동(fluctuation)이 발생한 것으로 관찰되었다. 이러한 EMI 차폐 성능 향상의 주된 원인 중 하나는, 고주파로 갈수록 전자기파의 파장이 수 cm에서 수 mm 수준으로 짧아지고, 짧아진 파장은 필러(rCF)의 표면 및 계면에서 전도 손실 및 계면 분극과 같은 복합적인 내부 손실을 더욱 활성화시키기 때문이다. 또한, 식(8)에 나타난 바와 같이 주파수 증가에 따라 표면 깊이가 급격히 감소하여, 전자기파 에너지가 복합소재의 표면 근처에서 집중적으로 흡수하게 된다. 결과적으로, rCF/PA6 복합소재가 고주파 환경에서도 우수한 차폐 특성을 유지함을 보여주며, 이는 전자기기 및 고주파 통신 시스템의 신뢰성 확보를 위한 실질적인 차폐 소재로 활용될 수 있음을 보여준다.
|
Fig. 2 (a) Electrical conductivity, (b) EMI SE, and (c) average EMI SE in the X-band of rCF/PA6 composites as a function of rCF content |
|
Fig. 3 (a) SET, SER, and SEA, (b) real (filled symbols) and imaginary (open symbols) parts of the complex permittivity, and (c) average complex permittivity of rCF/PA6 composites as a function of rCF content in the X-band |
|
Fig. 4 (a) Loss tangent, (b) skin depth, and (c) impedance matching in the X-band, and the corresponding average values of (d) loss tangent, (e) skin depth, and (f) impedance matching of rCF/PA6 composites as a function of rCF content |
|
Fig. 5 (a) T, A, and R of rCF/PA6 composites as a function of rCF content in the X-band and (b) schematic illustration of the EMI shielding mechanism |
|
Fig. 6 EMI SE of rCF/PA6 composites as a function of rCF content in the (a) Ka-band, (b) V-band, and (c) W-band |
본 연구에서는 다양한 rCF 함량(10–30 wt%)에 따른 rCF/PA6 복합소재의 열적, 전기적, 전자기파 차폐 특성을 체계적으로 분석하였다. TGA 결과, 잔류 무게는 목표한 rCF 함량과 5% 이내의 오차율을 보이며 복합소재의 정밀한 조성 제어가 확인되었다. 전기전도도는 rCF 함량 증가에 따라 약 46배 향상되었고, 이에 따라 EMI 차폐 성능 또한 X-band에서 최대 43 dB까지 증가하여 상업적 기준(20 dB)을 초과하였다. 차폐 성능의 증가는 SEA와 SER의 증가에 기인하며, 특히 SEA는 약 7.5배 증가한 4 dB에서 30 dB로 크게 향상되었다. 파워 계수 분석 결과, 모든 시편에서 반사 지배적 특성이 우세하였으며, 이는 입사 전자기파가 우선적으로 표면에서 반사되고 남은 전자기파가 흡수되는 순차적 차폐 메커니즘에 기인한다. 또한, 고주파 대역(Ka–, V-, W-band)에서 첨가제 함량 및 주파수 증가에 따른 차폐 성능이 크게 향상되었으며, 고주파 환경에서도 우수한 EMI 차폐 특성을 유지함을 입증하였다. 이러한 결과는 rCF/PA6 복합소재가 차세대 전자파 차폐 응용 분야에서 실질적인 대안이 될 수 있음을 시사한다.
본 연구는 과학기술정보통신부의 국가과학기술연구회 (과제번호: CRC22034–000)와 산업통상자원부의 기술혁신사업(과제번호: RS-2025-25447226), 그리고 산업통상자원부 한국산업기술진흥원(과제번호: RS-2025-19002973)의 지원으로 수행되었습니다.
This Article2025; 38(5): 562-568
Published on Oct 31, 2025
Services
Correspondence to* Convergence Research Center for Solutions to Electromagnetic Interference in Future-Mobility, Korea Institute of Science and Technology (KIST), Seoul 02792, Korea
** Korea Clean Energy Research Center, Korea Institute of Science and Technology (KIST), Seoul 02792, Korea
*** Department of Energy Environment Policy and Technology, Graduate School of Energy and Environment (Green School), Korea University, Seoul 02841, Korea
**** Institute of Advanced Composite Materials, Korea Institute of Science and Technology (KIST), Wanju 55324, Korea